Social Studies Paper 2 2023

T > 'rest cope 01243020 FORM TP 2023124 MAY/JUNE 2023 CARIBBEAN EXAMINATIONS COUNCIL CARIBBEAN SECONDARY EDUCATION CERTIFICATE® EXAMINATION) SOCIAL STUDIES Paper 02 - General Proficiency 2 hours 30 minutes READ THE FOLLOWING INSTRUCTIONS CAREFULLY. 1. This paper consists of TWO sections, A and B.

Social Studies Paper 2 Grade 6 2023 and answer key | TPT
www.teacherspayteachers.com

2. Section A consists of FOUR questions. CSEC Social Studies January P2 2023 - Free download as PDF File (.pdf), Text File (.txt) or read online for free.

Social Studies Paper 2 Grade 6 2023 and answer key | TPT
www.teacherspayteachers.com

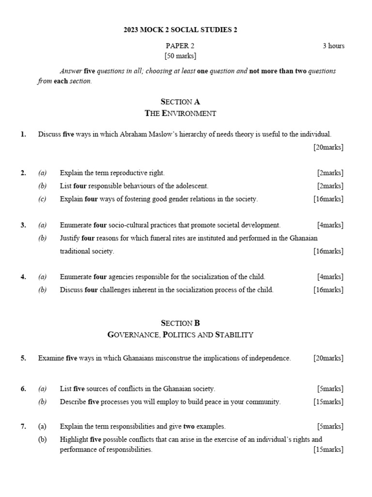
2023 Mock 2 Social Studies Paper 2 | PDF | Socialization | Liberal Arts ...

The goal of social studies is to help students understand their role in society, develop critical thinking skills, and appreciate diverse cultures and perspectives. By examining past and present social issues, social studies encourages informed citizenship and active participation in community and global affairs. View Social Studies CSEC PAPER 2 2023 (2).pdf from ECON MISC at Manchester High School, Manchester.

2023 Mock 2 Social Studies Paper 2 | PDF | Socialization | Liberal Arts ...
www.scribd.com

[CARIBBEAN EXAMINATIONS COUNCIL 1 CARIBBEAN SECONDARY EDUCATION CERTIFICATE® EXAMINATION (31 MAY. (a) SUSTAINABLE DEVELOPMENT AND USE OF RE PART I - Development and Use Of Resou Define the term 'population density'. ec (2 marks) population density Of a country.

Social Studies Paper 2 Grade 6 2023 and answer key | TPT

(4 marks) Explanation I GO ON TO THE NEXT PAGE 01243020,'J/CSEC 2023 Practice 2 Explanation 2 Practice 3 Explanation 3 Total 20 marks GO ON TO THE NEXT PAGE 01243020/J/CSEC 2023. Document SOCIAL STUDIES PAPER 02 JAN 2023 CSEC_230322_181901 (2).pdf, Subject Communications, from Elisa R. Ochoa Memorial Northern Mindanao School of Midwifery, Length: 28 pages, Preview: [CARIBBEAN EXAMINATIONS 1 COUNCIL CARIBBEAN SECONDARY EDUCATION CERTIFICATE® EXAMINATION (20 JANUARY 2023 (a.m) A J 230) 2 4 3 2) FILL IN ALL THE INFORMATION REQUESTED CLEARLY IN.

Social Studies Paper 2 Grade 6 2023 and answer key | TPT
www.teacherspayteachers.com

CSEC Physical Education and Sport Paper 1 Review 2018 Social Studies 100% (5) 20. NGSA 2023 - Social-Studies paper 1and 2 Popular Published on 15 September 2023 17874 downloads Download (pdf, 829 KB) grade 6 social studies p1 & 2. 2023.pdf.

WASSCE 2023 SOCIAL STUDIES PAPER 2 PAST QUESTIONS AND ANSWERS - YouTube
www.youtube.com

CSEC Social Studies Paper 2 Booklet (2016 - 2023) | PDF | Barcode

CSEC 230322 Social Studies Paper 02 - January 2023 Exam Subject: social studies 5 documents School: Dinthill Technical High School. NGSA 2023 - Social-Studies paper 1and 2 Popular Published on 15 September 2023 By Tashiera Layne 17849 downloads Download (pdf, 829 KB) grade 6 social studies p1 & 2. 2023.pdf.

CSEC Social Studies Paper 2 Booklet (2016 - 2023) | PDF | Barcode
www.scribd.com
TS Tenth Class 2023 Social Studies (EM) Model Question Paper 2 | Sakshi ...
education.sakshi.com
PSTET Paper 2 SOCIAL STUDIES 2023 | Paper Discussion Part 1 ...
www.youtube.com
8th class FA-2 social exam paper 2023-2024 /8th class FA-2 social ...
www.youtube.com
Social Studies (Paper 2) - GLOBE - Latitudes and Longitudes | TSTET ...
www.youtube.com
Social Studies II 2023 Model Paper II Question Paper Pattern II - YouTube
www.youtube.com
10th class FA-2 (2023-2024) Social studies V.V. important question ...
www.youtube.com
Load Site Average 0,422 sec