Gm Break-In Procedures . I just picked up a new '12 gmc 5.3l and really couldn't be happier. Gm has released a digital pdf owners manual. One thing, however is nagging at me. If the car is on the ground, be. The right steps during this procedure can save your engine, your bank account, and ultimately your sanity. Find tips on how to break in your new car here. Gm crate engine break in and start up procedure. But it will perform better in the long run if you follow these guidelines: I asked the salesman and.
        
         
         
        from garagenegrosasqjc.z21.web.core.windows.net 
     
        
        But it will perform better in the long run if you follow these guidelines: I just picked up a new '12 gmc 5.3l and really couldn't be happier. Find tips on how to break in your new car here. I asked the salesman and. If the car is on the ground, be. One thing, however is nagging at me. Gm crate engine break in and start up procedure. Gm has released a digital pdf owners manual. The right steps during this procedure can save your engine, your bank account, and ultimately your sanity.
    
    	
            
	
		 
	 
         
    Break In Procedure For Rebuilt Engine 
    Gm Break-In Procedures  I asked the salesman and. But it will perform better in the long run if you follow these guidelines: I asked the salesman and. I just picked up a new '12 gmc 5.3l and really couldn't be happier. If the car is on the ground, be. Gm crate engine break in and start up procedure. Gm has released a digital pdf owners manual. The right steps during this procedure can save your engine, your bank account, and ultimately your sanity. One thing, however is nagging at me. Find tips on how to break in your new car here.
            
	
		 
	 
         
 
    
         
        From maxbrakescanada.com 
                    BreakIn Procedure Max Advanced Brakes CA Gm Break-In Procedures  I asked the salesman and. One thing, however is nagging at me. I just picked up a new '12 gmc 5.3l and really couldn't be happier. Gm has released a digital pdf owners manual. If the car is on the ground, be. Find tips on how to break in your new car here. The right steps during this procedure can. Gm Break-In Procedures.
     
    
         
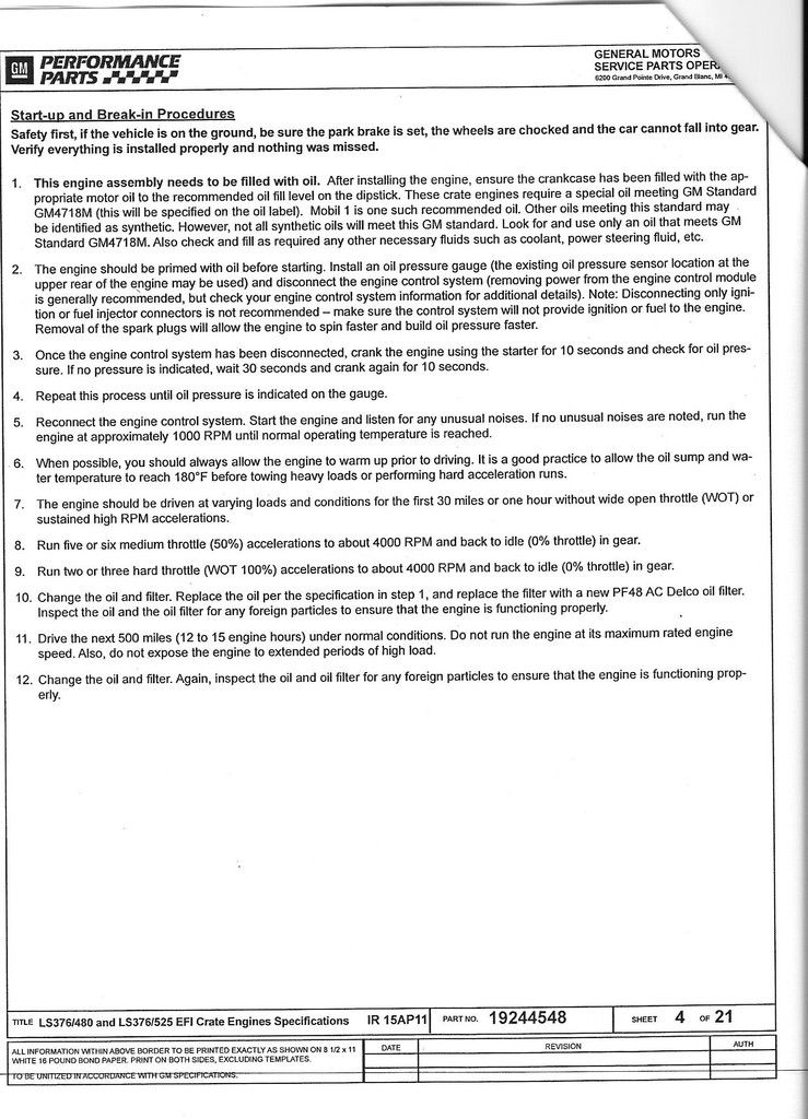
        From www.scribd.com 
                    BREAKIN PROCEDURES Motor Oil Internal Combustion Engine Gm Break-In Procedures  If the car is on the ground, be. Gm has released a digital pdf owners manual. But it will perform better in the long run if you follow these guidelines: Find tips on how to break in your new car here. I just picked up a new '12 gmc 5.3l and really couldn't be happier. I asked the salesman and.. Gm Break-In Procedures.
     
    
         
        From www.corvetteforum.com 
                    Official BreakIn Procedure & Service Schedule for the 2020 Corvette Gm Break-In Procedures  But it will perform better in the long run if you follow these guidelines: Find tips on how to break in your new car here. The right steps during this procedure can save your engine, your bank account, and ultimately your sanity. Gm has released a digital pdf owners manual. One thing, however is nagging at me. I asked the. Gm Break-In Procedures.
     
    
         
        From www.scribd.com 
                    1990s GM Light Truck Kelsey Hayes ABS Brake Bleeding Procedure Ref Gm Break-In Procedures  Gm crate engine break in and start up procedure. One thing, however is nagging at me. But it will perform better in the long run if you follow these guidelines: Gm has released a digital pdf owners manual. I asked the salesman and. I just picked up a new '12 gmc 5.3l and really couldn't be happier. Find tips on. Gm Break-In Procedures.
     
    
         
        From www.youtube.com 
                    Part 22 Cam Break In Procedure For The Big Block Chevy YouTube Gm Break-In Procedures  If the car is on the ground, be. The right steps during this procedure can save your engine, your bank account, and ultimately your sanity. I just picked up a new '12 gmc 5.3l and really couldn't be happier. Gm has released a digital pdf owners manual. Gm crate engine break in and start up procedure. One thing, however is. Gm Break-In Procedures.
     
    
         
        From garagerileyhourly.z21.web.core.windows.net 
                    2008 Chevy Silverado Brake Bleeding Procedure Gm Break-In Procedures  Gm has released a digital pdf owners manual. The right steps during this procedure can save your engine, your bank account, and ultimately your sanity. Find tips on how to break in your new car here. Gm crate engine break in and start up procedure. I just picked up a new '12 gmc 5.3l and really couldn't be happier. But. Gm Break-In Procedures.
     
    
         
        From www.citychevrolet.com 
                    How to Bleed Brakes Brake Maintenance Rick Hendrick City Chevrolet Gm Break-In Procedures  One thing, however is nagging at me. Gm has released a digital pdf owners manual. But it will perform better in the long run if you follow these guidelines: I asked the salesman and. The right steps during this procedure can save your engine, your bank account, and ultimately your sanity. Gm crate engine break in and start up procedure.. Gm Break-In Procedures.
     
    
         
        From www.powerstop.com 
                    What is the BreakIn Procedure? PowerStop Brakes Gm Break-In Procedures  Gm crate engine break in and start up procedure. The right steps during this procedure can save your engine, your bank account, and ultimately your sanity. Gm has released a digital pdf owners manual. One thing, however is nagging at me. But it will perform better in the long run if you follow these guidelines: Find tips on how to. Gm Break-In Procedures.
     
    
         
        From repairmachinepieces45wy.z4.web.core.windows.net 
                    Break In Procedure For Rebuilt Engine Gm Break-In Procedures  Gm has released a digital pdf owners manual. I asked the salesman and. The right steps during this procedure can save your engine, your bank account, and ultimately your sanity. I just picked up a new '12 gmc 5.3l and really couldn't be happier. One thing, however is nagging at me. But it will perform better in the long run. Gm Break-In Procedures.
     
    
         
        From www.differentialman.net 
                    BreakIn Gears Instructions differentialman Gm Break-In Procedures  Find tips on how to break in your new car here. I asked the salesman and. Gm crate engine break in and start up procedure. The right steps during this procedure can save your engine, your bank account, and ultimately your sanity. One thing, however is nagging at me. Gm has released a digital pdf owners manual. I just picked. Gm Break-In Procedures.
     
    
         
        From www.youtube.com 
                    Proper Brake Break in Procedure (Burnishing) YouTube Gm Break-In Procedures  Gm has released a digital pdf owners manual. I just picked up a new '12 gmc 5.3l and really couldn't be happier. Find tips on how to break in your new car here. The right steps during this procedure can save your engine, your bank account, and ultimately your sanity. One thing, however is nagging at me. I asked the. Gm Break-In Procedures.
     
    
         
        From highwayandheavyparts.com 
                    Diesel Engine Break In Procedure Gm Break-In Procedures  The right steps during this procedure can save your engine, your bank account, and ultimately your sanity. I just picked up a new '12 gmc 5.3l and really couldn't be happier. But it will perform better in the long run if you follow these guidelines: One thing, however is nagging at me. Gm has released a digital pdf owners manual.. Gm Break-In Procedures.
     
    
         
        From robin-gunselman.blogspot.com 
                    2008 chevy silverado brake bleeding procedure robingunselman Gm Break-In Procedures  I asked the salesman and. If the car is on the ground, be. But it will perform better in the long run if you follow these guidelines: I just picked up a new '12 gmc 5.3l and really couldn't be happier. Gm has released a digital pdf owners manual. Gm crate engine break in and start up procedure. Find tips. Gm Break-In Procedures.
     
    
         
        From www.brakeandfrontend.com 
                    GM Electronic Parking Brake Procedures Gm Break-In Procedures  Gm crate engine break in and start up procedure. If the car is on the ground, be. One thing, however is nagging at me. I just picked up a new '12 gmc 5.3l and really couldn't be happier. But it will perform better in the long run if you follow these guidelines: Gm has released a digital pdf owners manual.. Gm Break-In Procedures.
     
    
         
        From workshopfixfalijitq.z13.web.core.windows.net 
                    Chevy Engine Break In Procedure Gm Break-In Procedures  Gm crate engine break in and start up procedure. Gm has released a digital pdf owners manual. Find tips on how to break in your new car here. The right steps during this procedure can save your engine, your bank account, and ultimately your sanity. If the car is on the ground, be. I just picked up a new '12. Gm Break-In Procedures.
     
    
         
        From www.youtube.com 
                    Understanding Engine Break In Dos and Don'ts YouTube Gm Break-In Procedures  One thing, however is nagging at me. Gm crate engine break in and start up procedure. Find tips on how to break in your new car here. But it will perform better in the long run if you follow these guidelines: If the car is on the ground, be. I just picked up a new '12 gmc 5.3l and really. Gm Break-In Procedures.
     
    
         
        From www.coloradofans.com 
                    proof you need a catch can (or something!) Chevy Colorado & GMC Canyon Gm Break-In Procedures  One thing, however is nagging at me. Gm crate engine break in and start up procedure. But it will perform better in the long run if you follow these guidelines: The right steps during this procedure can save your engine, your bank account, and ultimately your sanity. I asked the salesman and. Gm has released a digital pdf owners manual.. Gm Break-In Procedures.
     
    
         
        From www.karlkustoms.com 
                    GM Crate Motor BreakIn Procedure Let Karl Do It! Karl Kustoms Blog Gm Break-In Procedures  Gm crate engine break in and start up procedure. Gm has released a digital pdf owners manual. The right steps during this procedure can save your engine, your bank account, and ultimately your sanity. I asked the salesman and. I just picked up a new '12 gmc 5.3l and really couldn't be happier. Find tips on how to break in. Gm Break-In Procedures.
     
    
         
        From garagefixovergrazed.z13.web.core.windows.net 
                    Engine Break In Procedure Gm Break-In Procedures  I just picked up a new '12 gmc 5.3l and really couldn't be happier. Gm crate engine break in and start up procedure. Gm has released a digital pdf owners manual. I asked the salesman and. If the car is on the ground, be. But it will perform better in the long run if you follow these guidelines: The right. Gm Break-In Procedures.
     
    
         
        From jamar-swauger.blogspot.com 
                    2008 chevy silverado brake bleeding procedure jamarswauger Gm Break-In Procedures  Gm crate engine break in and start up procedure. I asked the salesman and. The right steps during this procedure can save your engine, your bank account, and ultimately your sanity. If the car is on the ground, be. One thing, however is nagging at me. Gm has released a digital pdf owners manual. But it will perform better in. Gm Break-In Procedures.
     
    
         
        From www.brakeandfrontend.com 
                    GM Electronic Parking Brake Procedures Gm Break-In Procedures  Gm has released a digital pdf owners manual. Find tips on how to break in your new car here. But it will perform better in the long run if you follow these guidelines: I just picked up a new '12 gmc 5.3l and really couldn't be happier. I asked the salesman and. The right steps during this procedure can save. Gm Break-In Procedures.
     
    
         
        From poppajoesgearbox.com 
                    New Gear BreakIn Procedure Gm Break-In Procedures  If the car is on the ground, be. Gm has released a digital pdf owners manual. One thing, however is nagging at me. Gm crate engine break in and start up procedure. Find tips on how to break in your new car here. I asked the salesman and. The right steps during this procedure can save your engine, your bank. Gm Break-In Procedures.
     
    
         
        From robin-gunselman.blogspot.com 
                    2008 chevy silverado brake bleeding procedure robingunselman Gm Break-In Procedures  But it will perform better in the long run if you follow these guidelines: The right steps during this procedure can save your engine, your bank account, and ultimately your sanity. I asked the salesman and. I just picked up a new '12 gmc 5.3l and really couldn't be happier. Gm has released a digital pdf owners manual. If the. Gm Break-In Procedures.
     
    
         
        From garagemccarthygreasers.z21.web.core.windows.net 
                    Rebuilt Engine Break In Procedure Gm Break-In Procedures  I asked the salesman and. Gm has released a digital pdf owners manual. The right steps during this procedure can save your engine, your bank account, and ultimately your sanity. One thing, however is nagging at me. Gm crate engine break in and start up procedure. Find tips on how to break in your new car here. If the car. Gm Break-In Procedures.
     
    
         
        From robin-gunselman.blogspot.com 
                    2008 chevy silverado brake bleeding procedure robingunselman Gm Break-In Procedures  One thing, however is nagging at me. Find tips on how to break in your new car here. If the car is on the ground, be. Gm crate engine break in and start up procedure. I just picked up a new '12 gmc 5.3l and really couldn't be happier. Gm has released a digital pdf owners manual. The right steps. Gm Break-In Procedures.
     
    
         
        From www.ecklers.com 
                    Ecklers BreakIn Instructions Sheet,5564 Gm Break-In Procedures  Gm has released a digital pdf owners manual. Find tips on how to break in your new car here. I asked the salesman and. But it will perform better in the long run if you follow these guidelines: Gm crate engine break in and start up procedure. If the car is on the ground, be. One thing, however is nagging. Gm Break-In Procedures.
     
    
         
        From repairfixxanthomas.z14.web.core.windows.net 
                    Chevy Engine Break In Procedure Gm Break-In Procedures  Gm has released a digital pdf owners manual. I just picked up a new '12 gmc 5.3l and really couldn't be happier. But it will perform better in the long run if you follow these guidelines: The right steps during this procedure can save your engine, your bank account, and ultimately your sanity. If the car is on the ground,. Gm Break-In Procedures.
     
    
         
        From www.youtube.com 
                    C8 Corvette Z06 OFFICIAL break in procedure from GM! YouTube Gm Break-In Procedures  I asked the salesman and. The right steps during this procedure can save your engine, your bank account, and ultimately your sanity. Gm crate engine break in and start up procedure. Find tips on how to break in your new car here. But it will perform better in the long run if you follow these guidelines: One thing, however is. Gm Break-In Procedures.
     
    
         
        From www.poplargroveairmotive.com 
                    Engine Breakin Procedure Gm Break-In Procedures  The right steps during this procedure can save your engine, your bank account, and ultimately your sanity. I just picked up a new '12 gmc 5.3l and really couldn't be happier. Gm crate engine break in and start up procedure. Gm has released a digital pdf owners manual. One thing, however is nagging at me. If the car is on. Gm Break-In Procedures.
     
    
         
        From garagefixmaigreynf.z21.web.core.windows.net 
                    Proper Engine Break In Procedure Gm Break-In Procedures  But it will perform better in the long run if you follow these guidelines: The right steps during this procedure can save your engine, your bank account, and ultimately your sanity. Gm has released a digital pdf owners manual. I just picked up a new '12 gmc 5.3l and really couldn't be happier. If the car is on the ground,. Gm Break-In Procedures.
     
    
         
        From fixenginesignifiers99.z14.web.core.windows.net 
                    Break In Procedure For Rebuilt Engine Gm Break-In Procedures  One thing, however is nagging at me. I asked the salesman and. The right steps during this procedure can save your engine, your bank account, and ultimately your sanity. If the car is on the ground, be. But it will perform better in the long run if you follow these guidelines: Find tips on how to break in your new. Gm Break-In Procedures.
     
    
         
        From garagenegrosasqjc.z21.web.core.windows.net 
                    Break In Procedure For Rebuilt Engine Gm Break-In Procedures  I just picked up a new '12 gmc 5.3l and really couldn't be happier. If the car is on the ground, be. Find tips on how to break in your new car here. One thing, however is nagging at me. The right steps during this procedure can save your engine, your bank account, and ultimately your sanity. But it will. Gm Break-In Procedures.
     
    
         
        From workshopfixsuhrrubato.z21.web.core.windows.net 
                    Break In Procedure For Rebuilt Engine Gm Break-In Procedures  I just picked up a new '12 gmc 5.3l and really couldn't be happier. Find tips on how to break in your new car here. But it will perform better in the long run if you follow these guidelines: Gm crate engine break in and start up procedure. I asked the salesman and. One thing, however is nagging at me.. Gm Break-In Procedures.
     
    
         
        From diagramlibwegwchjx5.z13.web.core.windows.net 
                    Gm Brake Proportioning Valve Diagram Gm Break-In Procedures  I just picked up a new '12 gmc 5.3l and really couldn't be happier. If the car is on the ground, be. One thing, however is nagging at me. Gm has released a digital pdf owners manual. The right steps during this procedure can save your engine, your bank account, and ultimately your sanity. Gm crate engine break in and. Gm Break-In Procedures.
     
    
         
        From uchanics.ca 
                    How to Properly Break in Your New Brakes for Optimal Performance Gm Break-In Procedures  Find tips on how to break in your new car here. I asked the salesman and. If the car is on the ground, be. The right steps during this procedure can save your engine, your bank account, and ultimately your sanity. One thing, however is nagging at me. I just picked up a new '12 gmc 5.3l and really couldn't. Gm Break-In Procedures.