An Electric Train Is Moving North At 100Kph . electric trains do not produce smoke like traditional diesel trains, so there would be no smoke blowing in any. an electric train is going 60 km/h north, the wind is blowing 40 km/h from the south. The air speed is 200 mph and the speed of air is from west to east at 20 mph, but we have to find a direction. the question asks which way smoke blows from an electric train moving north at 100mph with wind blowing west. your solution’s ready to go! Which way does the smoke blow? an electric train is moving north at 100mph and a wind is blowing to the west at 10mph. Which way is the train's smoke blowing? If an electric train is moving north at 100mph and the wind is blowing to the west at 10mph,.
from www.youtube.com
Which way is the train's smoke blowing? electric trains do not produce smoke like traditional diesel trains, so there would be no smoke blowing in any. Which way does the smoke blow? an electric train is going 60 km/h north, the wind is blowing 40 km/h from the south. an electric train is moving north at 100mph and a wind is blowing to the west at 10mph. The air speed is 200 mph and the speed of air is from west to east at 20 mph, but we have to find a direction. the question asks which way smoke blows from an electric train moving north at 100mph with wind blowing west. If an electric train is moving north at 100mph and the wind is blowing to the west at 10mph,. your solution’s ready to go!
Two trains on separate tracks move toward each other. Train 1 has a
An Electric Train Is Moving North At 100Kph Which way is the train's smoke blowing? electric trains do not produce smoke like traditional diesel trains, so there would be no smoke blowing in any. Which way does the smoke blow? If an electric train is moving north at 100mph and the wind is blowing to the west at 10mph,. your solution’s ready to go! The air speed is 200 mph and the speed of air is from west to east at 20 mph, but we have to find a direction. an electric train is moving north at 100mph and a wind is blowing to the west at 10mph. the question asks which way smoke blows from an electric train moving north at 100mph with wind blowing west. an electric train is going 60 km/h north, the wind is blowing 40 km/h from the south. Which way is the train's smoke blowing?
From estudyassistant.com
If an electric train is moving north at 100mph and a wind is blowing to An Electric Train Is Moving North At 100Kph your solution’s ready to go! an electric train is moving north at 100mph and a wind is blowing to the west at 10mph. If an electric train is moving north at 100mph and the wind is blowing to the west at 10mph,. Which way is the train's smoke blowing? an electric train is going 60 km/h north,. An Electric Train Is Moving North At 100Kph.
From www.numerade.com
SOLVED An electric train is moving with a velocity of 120km/hr. How An Electric Train Is Moving North At 100Kph Which way does the smoke blow? an electric train is going 60 km/h north, the wind is blowing 40 km/h from the south. electric trains do not produce smoke like traditional diesel trains, so there would be no smoke blowing in any. your solution’s ready to go! The air speed is 200 mph and the speed of. An Electric Train Is Moving North At 100Kph.
From brainly.in
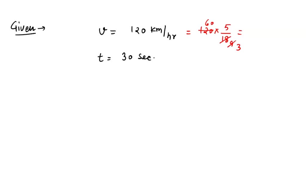
3.An electric train is moving with a velocity of 120km/hr. How much An Electric Train Is Moving North At 100Kph electric trains do not produce smoke like traditional diesel trains, so there would be no smoke blowing in any. an electric train is moving north at 100mph and a wind is blowing to the west at 10mph. Which way does the smoke blow? If an electric train is moving north at 100mph and the wind is blowing to. An Electric Train Is Moving North At 100Kph.
From brainly.in
an electric train is moving with the velocity of 30m/s.how much An Electric Train Is Moving North At 100Kph The air speed is 200 mph and the speed of air is from west to east at 20 mph, but we have to find a direction. Which way does the smoke blow? If an electric train is moving north at 100mph and the wind is blowing to the west at 10mph,. the question asks which way smoke blows from. An Electric Train Is Moving North At 100Kph.
From www.toppr.com
A train is moving with avelocity of 100 km/hr in the north east An Electric Train Is Moving North At 100Kph If an electric train is moving north at 100mph and the wind is blowing to the west at 10mph,. Which way is the train's smoke blowing? The air speed is 200 mph and the speed of air is from west to east at 20 mph, but we have to find a direction. electric trains do not produce smoke like. An Electric Train Is Moving North At 100Kph.
From www.youtube.com
Two trains on separate tracks move toward each other. Train 1 has a An Electric Train Is Moving North At 100Kph your solution’s ready to go! an electric train is moving north at 100mph and a wind is blowing to the west at 10mph. the question asks which way smoke blows from an electric train moving north at 100mph with wind blowing west. If an electric train is moving north at 100mph and the wind is blowing to. An Electric Train Is Moving North At 100Kph.
From www.coursehero.com
[Solved] A train leaves the station at 1000 p.m. and travels due north An Electric Train Is Moving North At 100Kph Which way is the train's smoke blowing? If an electric train is moving north at 100mph and the wind is blowing to the west at 10mph,. electric trains do not produce smoke like traditional diesel trains, so there would be no smoke blowing in any. Which way does the smoke blow? your solution’s ready to go! the. An Electric Train Is Moving North At 100Kph.
From civengtech.com
Railway overhead electrification system design Civil Engineering Tech An Electric Train Is Moving North At 100Kph If an electric train is moving north at 100mph and the wind is blowing to the west at 10mph,. an electric train is moving north at 100mph and a wind is blowing to the west at 10mph. Which way does the smoke blow? The air speed is 200 mph and the speed of air is from west to east. An Electric Train Is Moving North At 100Kph.
From www.greencarreports.com
All Dutch electric trains now running on 100percent renewable energy An Electric Train Is Moving North At 100Kph an electric train is moving north at 100mph and a wind is blowing to the west at 10mph. Which way does the smoke blow? your solution’s ready to go! The air speed is 200 mph and the speed of air is from west to east at 20 mph, but we have to find a direction. If an electric. An Electric Train Is Moving North At 100Kph.
From www.riddles.com
What Direction. Riddle And Answer An Electric Train Is Moving North At 100Kph Which way is the train's smoke blowing? an electric train is moving north at 100mph and a wind is blowing to the west at 10mph. the question asks which way smoke blows from an electric train moving north at 100mph with wind blowing west. If an electric train is moving north at 100mph and the wind is blowing. An Electric Train Is Moving North At 100Kph.
From www.youtube.com
An electric train is moving north at 100 mph. Which way does the smoke An Electric Train Is Moving North At 100Kph Which way does the smoke blow? electric trains do not produce smoke like traditional diesel trains, so there would be no smoke blowing in any. an electric train is going 60 km/h north, the wind is blowing 40 km/h from the south. an electric train is moving north at 100mph and a wind is blowing to the. An Electric Train Is Moving North At 100Kph.
From www.caltrain.com
Caltrain Debuts its New Electric Trains Caltrain An Electric Train Is Moving North At 100Kph the question asks which way smoke blows from an electric train moving north at 100mph with wind blowing west. an electric train is moving north at 100mph and a wind is blowing to the west at 10mph. an electric train is going 60 km/h north, the wind is blowing 40 km/h from the south. If an electric. An Electric Train Is Moving North At 100Kph.
From cityvision.org.nz
First electric train for Auckland revealed City Vision An Electric Train Is Moving North At 100Kph If an electric train is moving north at 100mph and the wind is blowing to the west at 10mph,. your solution’s ready to go! Which way does the smoke blow? The air speed is 200 mph and the speed of air is from west to east at 20 mph, but we have to find a direction. the question. An Electric Train Is Moving North At 100Kph.
From brainly.in
Q1An electric train is moving with a velocityof 30 m/s how much An Electric Train Is Moving North At 100Kph The air speed is 200 mph and the speed of air is from west to east at 20 mph, but we have to find a direction. your solution’s ready to go! Which way is the train's smoke blowing? electric trains do not produce smoke like traditional diesel trains, so there would be no smoke blowing in any. . An Electric Train Is Moving North At 100Kph.
From www.dreamstime.com
An Electric Train is Moving Slowly Along the Railway Tracks through the An Electric Train Is Moving North At 100Kph an electric train is moving north at 100mph and a wind is blowing to the west at 10mph. your solution’s ready to go! electric trains do not produce smoke like traditional diesel trains, so there would be no smoke blowing in any. Which way does the smoke blow? If an electric train is moving north at 100mph. An Electric Train Is Moving North At 100Kph.
From planetradio.co.uk
First new electric trains start operating on flagship rail route News An Electric Train Is Moving North At 100Kph your solution’s ready to go! the question asks which way smoke blows from an electric train moving north at 100mph with wind blowing west. an electric train is moving north at 100mph and a wind is blowing to the west at 10mph. electric trains do not produce smoke like traditional diesel trains, so there would be. An Electric Train Is Moving North At 100Kph.
From panafricanvisions.com
Tanzania to test its first electric train in Nov this year. PAN An Electric Train Is Moving North At 100Kph The air speed is 200 mph and the speed of air is from west to east at 20 mph, but we have to find a direction. Which way is the train's smoke blowing? your solution’s ready to go! Which way does the smoke blow? the question asks which way smoke blows from an electric train moving north at. An Electric Train Is Moving North At 100Kph.
From www.numerade.com
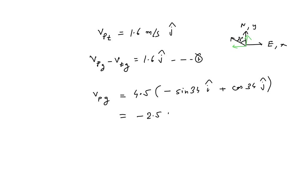
SOLVED A passenger on a moving train walks at a speed of 1.60 m/s due An Electric Train Is Moving North At 100Kph Which way is the train's smoke blowing? Which way does the smoke blow? an electric train is moving north at 100mph and a wind is blowing to the west at 10mph. electric trains do not produce smoke like traditional diesel trains, so there would be no smoke blowing in any. If an electric train is moving north at. An Electric Train Is Moving North At 100Kph.
From rollingstockworld.com
Caltrain introduces the KISS doubledeck EMUs by Stadler for California An Electric Train Is Moving North At 100Kph your solution’s ready to go! an electric train is moving north at 100mph and a wind is blowing to the west at 10mph. electric trains do not produce smoke like traditional diesel trains, so there would be no smoke blowing in any. the question asks which way smoke blows from an electric train moving north at. An Electric Train Is Moving North At 100Kph.
From www.indiedb.com
Electric Trains Windows, Mac, , iOS, Android game IndieDB An Electric Train Is Moving North At 100Kph If an electric train is moving north at 100mph and the wind is blowing to the west at 10mph,. your solution’s ready to go! Which way is the train's smoke blowing? an electric train is moving north at 100mph and a wind is blowing to the west at 10mph. the question asks which way smoke blows from. An Electric Train Is Moving North At 100Kph.
From lemonbin.com
Types of Electric Trains Lemon Bin Vehicle Guides An Electric Train Is Moving North At 100Kph an electric train is moving north at 100mph and a wind is blowing to the west at 10mph. Which way does the smoke blow? If an electric train is moving north at 100mph and the wind is blowing to the west at 10mph,. the question asks which way smoke blows from an electric train moving north at 100mph. An Electric Train Is Moving North At 100Kph.
From www.shine.cn
World's first 600 km/h highspeed maglev train rolls off assembly line An Electric Train Is Moving North At 100Kph an electric train is moving north at 100mph and a wind is blowing to the west at 10mph. your solution’s ready to go! an electric train is going 60 km/h north, the wind is blowing 40 km/h from the south. The air speed is 200 mph and the speed of air is from west to east at. An Electric Train Is Moving North At 100Kph.
From www.leeds-live.co.uk
First two Northern Rail trains from £500m fleet arrive in UK Leeds Live An Electric Train Is Moving North At 100Kph Which way does the smoke blow? an electric train is moving north at 100mph and a wind is blowing to the west at 10mph. the question asks which way smoke blows from an electric train moving north at 100mph with wind blowing west. an electric train is going 60 km/h north, the wind is blowing 40 km/h. An Electric Train Is Moving North At 100Kph.
From speedy-freaks.blogspot.com
Speedy Freaks New project could see UK electric trains powered by off An Electric Train Is Moving North At 100Kph the question asks which way smoke blows from an electric train moving north at 100mph with wind blowing west. Which way is the train's smoke blowing? an electric train is going 60 km/h north, the wind is blowing 40 km/h from the south. electric trains do not produce smoke like traditional diesel trains, so there would be. An Electric Train Is Moving North At 100Kph.
From www.vrogue.co
1 The Motion Of A Train Is Described By The Velocity vrogue.co An Electric Train Is Moving North At 100Kph an electric train is moving north at 100mph and a wind is blowing to the west at 10mph. Which way does the smoke blow? your solution’s ready to go! The air speed is 200 mph and the speed of air is from west to east at 20 mph, but we have to find a direction. Which way is. An Electric Train Is Moving North At 100Kph.
From seekingalpha.com
Marketplace Success Tips Jumping On A Moving Train Onboarding New An Electric Train Is Moving North At 100Kph the question asks which way smoke blows from an electric train moving north at 100mph with wind blowing west. Which way does the smoke blow? electric trains do not produce smoke like traditional diesel trains, so there would be no smoke blowing in any. an electric train is going 60 km/h north, the wind is blowing 40. An Electric Train Is Moving North At 100Kph.
From www.reddit.com
Great Northern W1 Class electric 5019. One of two built by An Electric Train Is Moving North At 100Kph The air speed is 200 mph and the speed of air is from west to east at 20 mph, but we have to find a direction. If an electric train is moving north at 100mph and the wind is blowing to the west at 10mph,. Which way is the train's smoke blowing? Which way does the smoke blow? an. An Electric Train Is Moving North At 100Kph.
From mentalfloss.com
How America's HighSpeed Trains Stack Up Against the World's Mental Floss An Electric Train Is Moving North At 100Kph an electric train is moving north at 100mph and a wind is blowing to the west at 10mph. If an electric train is moving north at 100mph and the wind is blowing to the west at 10mph,. an electric train is going 60 km/h north, the wind is blowing 40 km/h from the south. your solution’s ready. An Electric Train Is Moving North At 100Kph.
From cleanmalaysia.com
All Dutch electric Trains now run on Wind Power Clean Malaysia An Electric Train Is Moving North At 100Kph an electric train is moving north at 100mph and a wind is blowing to the west at 10mph. your solution’s ready to go! electric trains do not produce smoke like traditional diesel trains, so there would be no smoke blowing in any. the question asks which way smoke blows from an electric train moving north at. An Electric Train Is Moving North At 100Kph.
From bromsgrovestandard.co.uk
Historic moment as first electric train in 178 years pulls into An Electric Train Is Moving North At 100Kph an electric train is moving north at 100mph and a wind is blowing to the west at 10mph. Which way is the train's smoke blowing? the question asks which way smoke blows from an electric train moving north at 100mph with wind blowing west. your solution’s ready to go! electric trains do not produce smoke like. An Electric Train Is Moving North At 100Kph.
From brainly.in
An electric train is moving with a velocity of 120km/hr.How much An Electric Train Is Moving North At 100Kph an electric train is going 60 km/h north, the wind is blowing 40 km/h from the south. your solution’s ready to go! electric trains do not produce smoke like traditional diesel trains, so there would be no smoke blowing in any. the question asks which way smoke blows from an electric train moving north at 100mph. An Electric Train Is Moving North At 100Kph.
From railway-news.com
US Caltrain Unveils New Electric Trains RailwayNews An Electric Train Is Moving North At 100Kph The air speed is 200 mph and the speed of air is from west to east at 20 mph, but we have to find a direction. your solution’s ready to go! electric trains do not produce smoke like traditional diesel trains, so there would be no smoke blowing in any. If an electric train is moving north at. An Electric Train Is Moving North At 100Kph.
From medium.com
If An Electric Train Is Moving North..?? Mr. John Medium An Electric Train Is Moving North At 100Kph Which way does the smoke blow? The air speed is 200 mph and the speed of air is from west to east at 20 mph, but we have to find a direction. the question asks which way smoke blows from an electric train moving north at 100mph with wind blowing west. an electric train is going 60 km/h. An Electric Train Is Moving North At 100Kph.
From www.dreamstime.com
Modern Electric Passenger Train Moving on Full Speed Stock Photo An Electric Train Is Moving North At 100Kph If an electric train is moving north at 100mph and the wind is blowing to the west at 10mph,. the question asks which way smoke blows from an electric train moving north at 100mph with wind blowing west. electric trains do not produce smoke like traditional diesel trains, so there would be no smoke blowing in any. . An Electric Train Is Moving North At 100Kph.
From www.bigstockphoto.com
Moving Train On Image & Photo (Free Trial) Bigstock An Electric Train Is Moving North At 100Kph the question asks which way smoke blows from an electric train moving north at 100mph with wind blowing west. an electric train is going 60 km/h north, the wind is blowing 40 km/h from the south. Which way does the smoke blow? The air speed is 200 mph and the speed of air is from west to east. An Electric Train Is Moving North At 100Kph.