What Car Can I Get With 3000 Down . Provide your down payment, credit score, and desired. Instead of getting to the dealership only to find out that you can’t afford the payments on the kind. estimate how much car you can afford. find your car buying power with truecar's buying power calculator. Factors like your down payment, monthly payment, loan term, whether or not you’re trading a. if you’re half assed handy as a mechanic, a $3,000 car can go a long way as long as you’re not buying a salvage title 7 series. Use your monthly budget to estimate your maximum car price with our car. not sure what kind of vehicles can you buy with this monthly payment (or less)? Take a look at the edmunds. understanding what kind of car you can afford. using our car affordability calculator, you can plug in the $150 as a preferred monthly payment and then plug in variables for financing the vehicle.
from www.facebook.com
if you’re half assed handy as a mechanic, a $3,000 car can go a long way as long as you’re not buying a salvage title 7 series. using our car affordability calculator, you can plug in the $150 as a preferred monthly payment and then plug in variables for financing the vehicle. Take a look at the edmunds. Instead of getting to the dealership only to find out that you can’t afford the payments on the kind. understanding what kind of car you can afford. estimate how much car you can afford. find your car buying power with truecar's buying power calculator. Provide your down payment, credit score, and desired. Use your monthly budget to estimate your maximum car price with our car. not sure what kind of vehicles can you buy with this monthly payment (or less)?
Quick's Detailing Andrew is here!! By MaC 94.7FM Rose Casino and
What Car Can I Get With 3000 Down if you’re half assed handy as a mechanic, a $3,000 car can go a long way as long as you’re not buying a salvage title 7 series. Provide your down payment, credit score, and desired. find your car buying power with truecar's buying power calculator. Factors like your down payment, monthly payment, loan term, whether or not you’re trading a. estimate how much car you can afford. Instead of getting to the dealership only to find out that you can’t afford the payments on the kind. not sure what kind of vehicles can you buy with this monthly payment (or less)? understanding what kind of car you can afford. if you’re half assed handy as a mechanic, a $3,000 car can go a long way as long as you’re not buying a salvage title 7 series. using our car affordability calculator, you can plug in the $150 as a preferred monthly payment and then plug in variables for financing the vehicle. Use your monthly budget to estimate your maximum car price with our car. Take a look at the edmunds.
From revivaler.com
1960 AustinHealey 3000 MK I Roadster Revivaler What Car Can I Get With 3000 Down Take a look at the edmunds. Provide your down payment, credit score, and desired. if you’re half assed handy as a mechanic, a $3,000 car can go a long way as long as you’re not buying a salvage title 7 series. using our car affordability calculator, you can plug in the $150 as a preferred monthly payment and. What Car Can I Get With 3000 Down.
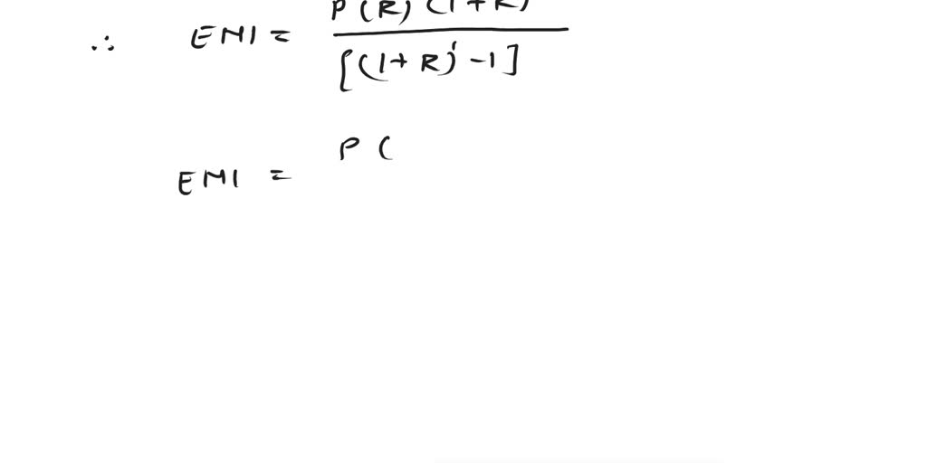
From tilamuski.github.io
Phoenix Car Accident Death Child Times tilamuski What Car Can I Get With 3000 Down estimate how much car you can afford. Use your monthly budget to estimate your maximum car price with our car. Provide your down payment, credit score, and desired. using our car affordability calculator, you can plug in the $150 as a preferred monthly payment and then plug in variables for financing the vehicle. Factors like your down payment,. What Car Can I Get With 3000 Down.
From www.facebook.com
Blessing strangers with a Gas Station game! ⛽️ Blessing strangers What Car Can I Get With 3000 Down not sure what kind of vehicles can you buy with this monthly payment (or less)? Instead of getting to the dealership only to find out that you can’t afford the payments on the kind. using our car affordability calculator, you can plug in the $150 as a preferred monthly payment and then plug in variables for financing the. What Car Can I Get With 3000 Down.
From forum.leasehackr.com
SIGNED 2021 Jeep Cherokee Limited AWD 380/m Signed Deals & Tips What Car Can I Get With 3000 Down Factors like your down payment, monthly payment, loan term, whether or not you’re trading a. understanding what kind of car you can afford. Provide your down payment, credit score, and desired. find your car buying power with truecar's buying power calculator. Take a look at the edmunds. using our car affordability calculator, you can plug in the. What Car Can I Get With 3000 Down.
From www.facebook.com
presents Anointing with Apostle Akosah part 74 What Car Can I Get With 3000 Down if you’re half assed handy as a mechanic, a $3,000 car can go a long way as long as you’re not buying a salvage title 7 series. using our car affordability calculator, you can plug in the $150 as a preferred monthly payment and then plug in variables for financing the vehicle. understanding what kind of car. What Car Can I Get With 3000 Down.
From forum.leasehackr.com
SIGNED 2021 Jeep Cherokee Limited AWD 380/m Signed Deals & Tips What Car Can I Get With 3000 Down find your car buying power with truecar's buying power calculator. Instead of getting to the dealership only to find out that you can’t afford the payments on the kind. Factors like your down payment, monthly payment, loan term, whether or not you’re trading a. not sure what kind of vehicles can you buy with this monthly payment (or. What Car Can I Get With 3000 Down.
From eazyautofinance.com
SOLD 3/7/19 2011 JAGUAR XF PORTFOLIO FINANCED w/ 3000 DOWN, 300 What Car Can I Get With 3000 Down not sure what kind of vehicles can you buy with this monthly payment (or less)? find your car buying power with truecar's buying power calculator. Factors like your down payment, monthly payment, loan term, whether or not you’re trading a. Provide your down payment, credit score, and desired. Take a look at the edmunds. estimate how much. What Car Can I Get With 3000 Down.
From georgerdi.blogspot.com
Unfinished Project Cars For Sale Near Me / Mitchell Newhaven Sea Angler What Car Can I Get With 3000 Down Provide your down payment, credit score, and desired. Instead of getting to the dealership only to find out that you can’t afford the payments on the kind. understanding what kind of car you can afford. if you’re half assed handy as a mechanic, a $3,000 car can go a long way as long as you’re not buying a. What Car Can I Get With 3000 Down.
From www.pinterest.com
The Ten Common Stereotypes When It Comes To Used Car Lots Near Me What Car Can I Get With 3000 Down not sure what kind of vehicles can you buy with this monthly payment (or less)? if you’re half assed handy as a mechanic, a $3,000 car can go a long way as long as you’re not buying a salvage title 7 series. using our car affordability calculator, you can plug in the $150 as a preferred monthly. What Car Can I Get With 3000 Down.
From www.facebook.com
Blessing strangers with a Gas Station game! ⛽️ Blessing strangers What Car Can I Get With 3000 Down find your car buying power with truecar's buying power calculator. if you’re half assed handy as a mechanic, a $3,000 car can go a long way as long as you’re not buying a salvage title 7 series. Use your monthly budget to estimate your maximum car price with our car. Provide your down payment, credit score, and desired.. What Car Can I Get With 3000 Down.
From www.facebook.com
Family Matters S06E04 The Looney Bin Family Matters S06E04 What Car Can I Get With 3000 Down not sure what kind of vehicles can you buy with this monthly payment (or less)? Provide your down payment, credit score, and desired. Take a look at the edmunds. find your car buying power with truecar's buying power calculator. Use your monthly budget to estimate your maximum car price with our car. Factors like your down payment, monthly. What Car Can I Get With 3000 Down.
From www.facebook.com
Quick's Detailing Andrew is here!! By MaC 94.7FM Rose Casino and What Car Can I Get With 3000 Down not sure what kind of vehicles can you buy with this monthly payment (or less)? Provide your down payment, credit score, and desired. find your car buying power with truecar's buying power calculator. Use your monthly budget to estimate your maximum car price with our car. Instead of getting to the dealership only to find out that you. What Car Can I Get With 3000 Down.
From motor-junkie.com
30 Fun and Cheap Cars For Around 3,000 What Car Can I Get With 3000 Down using our car affordability calculator, you can plug in the $150 as a preferred monthly payment and then plug in variables for financing the vehicle. Factors like your down payment, monthly payment, loan term, whether or not you’re trading a. find your car buying power with truecar's buying power calculator. Instead of getting to the dealership only to. What Car Can I Get With 3000 Down.
From www.facebook.com
to Grace Hill Church Worship Finny Abraham The Church What Car Can I Get With 3000 Down Take a look at the edmunds. understanding what kind of car you can afford. using our car affordability calculator, you can plug in the $150 as a preferred monthly payment and then plug in variables for financing the vehicle. not sure what kind of vehicles can you buy with this monthly payment (or less)? Use your monthly. What Car Can I Get With 3000 Down.
From www.youtube.com
If You Only Have 3,000, These are the Cheap Cars You Should Buy YouTube What Car Can I Get With 3000 Down if you’re half assed handy as a mechanic, a $3,000 car can go a long way as long as you’re not buying a salvage title 7 series. understanding what kind of car you can afford. Instead of getting to the dealership only to find out that you can’t afford the payments on the kind. estimate how much. What Car Can I Get With 3000 Down.
From gbu-presnenskij.ru
Alpha's 3,400HP GTR Is A 6Second, WorldRecordholding, 53 OFF What Car Can I Get With 3000 Down Factors like your down payment, monthly payment, loan term, whether or not you’re trading a. Use your monthly budget to estimate your maximum car price with our car. Take a look at the edmunds. using our car affordability calculator, you can plug in the $150 as a preferred monthly payment and then plug in variables for financing the vehicle.. What Car Can I Get With 3000 Down.
From www.facebook.com
Family Matters S06E04 The Looney Bin Family Matters S06E04 What Car Can I Get With 3000 Down Instead of getting to the dealership only to find out that you can’t afford the payments on the kind. Provide your down payment, credit score, and desired. not sure what kind of vehicles can you buy with this monthly payment (or less)? find your car buying power with truecar's buying power calculator. estimate how much car you. What Car Can I Get With 3000 Down.
From www.facebook.com
Days 7th May 1991. By Kresien Moonsamy Good morning. You brought What Car Can I Get With 3000 Down not sure what kind of vehicles can you buy with this monthly payment (or less)? find your car buying power with truecar's buying power calculator. estimate how much car you can afford. Take a look at the edmunds. Factors like your down payment, monthly payment, loan term, whether or not you’re trading a. understanding what kind. What Car Can I Get With 3000 Down.
From boyermotorco.com
2011 Chevrolet HHR LS Boyer Motor Company What Car Can I Get With 3000 Down estimate how much car you can afford. Factors like your down payment, monthly payment, loan term, whether or not you’re trading a. Provide your down payment, credit score, and desired. Take a look at the edmunds. using our car affordability calculator, you can plug in the $150 as a preferred monthly payment and then plug in variables for. What Car Can I Get With 3000 Down.
From www.numerade.com
SOLVED You are offered a new car if you put 3,000 down and endof What Car Can I Get With 3000 Down if you’re half assed handy as a mechanic, a $3,000 car can go a long way as long as you’re not buying a salvage title 7 series. understanding what kind of car you can afford. Instead of getting to the dealership only to find out that you can’t afford the payments on the kind. find your car. What Car Can I Get With 3000 Down.
From www.facebook.com
Family Matters S06E04 The Looney Bin Family Matters S06E04 What Car Can I Get With 3000 Down using our car affordability calculator, you can plug in the $150 as a preferred monthly payment and then plug in variables for financing the vehicle. Factors like your down payment, monthly payment, loan term, whether or not you’re trading a. not sure what kind of vehicles can you buy with this monthly payment (or less)? understanding what. What Car Can I Get With 3000 Down.
From www.facebook.com
Blessing strangers with a Gas Station game! ⛽️ Blessing strangers What Car Can I Get With 3000 Down Use your monthly budget to estimate your maximum car price with our car. Factors like your down payment, monthly payment, loan term, whether or not you’re trading a. if you’re half assed handy as a mechanic, a $3,000 car can go a long way as long as you’re not buying a salvage title 7 series. Take a look at. What Car Can I Get With 3000 Down.
From www.facebook.com
to Grace Hill Church Worship Finny Abraham The Church What Car Can I Get With 3000 Down Provide your down payment, credit score, and desired. using our car affordability calculator, you can plug in the $150 as a preferred monthly payment and then plug in variables for financing the vehicle. not sure what kind of vehicles can you buy with this monthly payment (or less)? understanding what kind of car you can afford. Factors. What Car Can I Get With 3000 Down.
From www.carsfellow.com
10 Best Used Cars Under 3000 Cars Fellow What Car Can I Get With 3000 Down Factors like your down payment, monthly payment, loan term, whether or not you’re trading a. find your car buying power with truecar's buying power calculator. understanding what kind of car you can afford. Take a look at the edmunds. Instead of getting to the dealership only to find out that you can’t afford the payments on the kind.. What Car Can I Get With 3000 Down.
From www.facebook.com
Sunday Service By Athens Baptist Church Wonderful morning to all What Car Can I Get With 3000 Down Factors like your down payment, monthly payment, loan term, whether or not you’re trading a. Use your monthly budget to estimate your maximum car price with our car. understanding what kind of car you can afford. estimate how much car you can afford. not sure what kind of vehicles can you buy with this monthly payment (or. What Car Can I Get With 3000 Down.
From www.numerade.com
SOLVED A car is purchased for 7,581.64 with3,000 down and a loan to be What Car Can I Get With 3000 Down estimate how much car you can afford. using our car affordability calculator, you can plug in the $150 as a preferred monthly payment and then plug in variables for financing the vehicle. Take a look at the edmunds. Factors like your down payment, monthly payment, loan term, whether or not you’re trading a. find your car buying. What Car Can I Get With 3000 Down.
From houstondirectauto-usedcars.blogspot.com
Six Best Used Cars You Can Buy Under 10,000 Dollars What Car Can I Get With 3000 Down Factors like your down payment, monthly payment, loan term, whether or not you’re trading a. not sure what kind of vehicles can you buy with this monthly payment (or less)? if you’re half assed handy as a mechanic, a $3,000 car can go a long way as long as you’re not buying a salvage title 7 series. . What Car Can I Get With 3000 Down.
From engineerine.com
Best Used Cars Under 3000 2023 Buying Guide Engineerine What Car Can I Get With 3000 Down Use your monthly budget to estimate your maximum car price with our car. Factors like your down payment, monthly payment, loan term, whether or not you’re trading a. Take a look at the edmunds. find your car buying power with truecar's buying power calculator. using our car affordability calculator, you can plug in the $150 as a preferred. What Car Can I Get With 3000 Down.
From www.youtube.com
BEST FIRST CARS FOR UNDER 3,000! YouTube What Car Can I Get With 3000 Down estimate how much car you can afford. not sure what kind of vehicles can you buy with this monthly payment (or less)? Use your monthly budget to estimate your maximum car price with our car. using our car affordability calculator, you can plug in the $150 as a preferred monthly payment and then plug in variables for. What Car Can I Get With 3000 Down.
From www.facebook.com
Sunday Service By Athens Baptist Church Wonderful morning to all What Car Can I Get With 3000 Down understanding what kind of car you can afford. Factors like your down payment, monthly payment, loan term, whether or not you’re trading a. find your car buying power with truecar's buying power calculator. not sure what kind of vehicles can you buy with this monthly payment (or less)? using our car affordability calculator, you can plug. What Car Can I Get With 3000 Down.
From www.youtube.com
7 Great First Cars For Under 3,000 YouTube What Car Can I Get With 3000 Down using our car affordability calculator, you can plug in the $150 as a preferred monthly payment and then plug in variables for financing the vehicle. find your car buying power with truecar's buying power calculator. Instead of getting to the dealership only to find out that you can’t afford the payments on the kind. Use your monthly budget. What Car Can I Get With 3000 Down.
From topauto.co.za
10 car specials for under R3,000 per month TopAuto What Car Can I Get With 3000 Down estimate how much car you can afford. Instead of getting to the dealership only to find out that you can’t afford the payments on the kind. Use your monthly budget to estimate your maximum car price with our car. Factors like your down payment, monthly payment, loan term, whether or not you’re trading a. understanding what kind of. What Car Can I Get With 3000 Down.
From www.ultimatervsales.com
American RV New & Used RVs Cleburne TX, Used Motorhomes DFW, Travel What Car Can I Get With 3000 Down Factors like your down payment, monthly payment, loan term, whether or not you’re trading a. Take a look at the edmunds. using our car affordability calculator, you can plug in the $150 as a preferred monthly payment and then plug in variables for financing the vehicle. if you’re half assed handy as a mechanic, a $3,000 car can. What Car Can I Get With 3000 Down.
From www.facebook.com
Blessing strangers with a Gas Station game! ⛽️ Blessing strangers What Car Can I Get With 3000 Down Use your monthly budget to estimate your maximum car price with our car. find your car buying power with truecar's buying power calculator. understanding what kind of car you can afford. using our car affordability calculator, you can plug in the $150 as a preferred monthly payment and then plug in variables for financing the vehicle. . What Car Can I Get With 3000 Down.
From www.facebook.com
Family Matters S06E04 The Looney Bin Family Matters S06E04 What Car Can I Get With 3000 Down Factors like your down payment, monthly payment, loan term, whether or not you’re trading a. estimate how much car you can afford. Use your monthly budget to estimate your maximum car price with our car. Instead of getting to the dealership only to find out that you can’t afford the payments on the kind. Take a look at the. What Car Can I Get With 3000 Down.