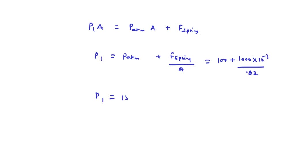
Warm Air Is Contained In A Piston-Cylinder Assembly Oriented Horizontally . Friction between the piston and the cylinder wall can be neglected. the atmospheric pressure is $100 \mathrm{kpa}$, and the area of the piston face is $0.018 \mathrm{~m}^{2}$. The air cools slowly from an initial volume of 0.003 m 3. determine the initial and final pressure of the air in kpa. Also, find the work, w, in kj. the atmospheric pressure is 100kpa, and the area of the piston face is 0.018 m2. The air cools slowly from an.
from www.numerade.com
the atmospheric pressure is $100 \mathrm{kpa}$, and the area of the piston face is $0.018 \mathrm{~m}^{2}$. Friction between the piston and the cylinder wall can be neglected. determine the initial and final pressure of the air in kpa. The air cools slowly from an. the atmospheric pressure is 100kpa, and the area of the piston face is 0.018 m2. Also, find the work, w, in kj. The air cools slowly from an initial volume of 0.003 m 3.
SOLVEDWarm air is contained in a pistoncylinder assembly oriented
Warm Air Is Contained In A Piston-Cylinder Assembly Oriented Horizontally determine the initial and final pressure of the air in kpa. Also, find the work, w, in kj. determine the initial and final pressure of the air in kpa. the atmospheric pressure is $100 \mathrm{kpa}$, and the area of the piston face is $0.018 \mathrm{~m}^{2}$. The air cools slowly from an initial volume of 0.003 m 3. Friction between the piston and the cylinder wall can be neglected. the atmospheric pressure is 100kpa, and the area of the piston face is 0.018 m2. The air cools slowly from an.
From www.chegg.com
Solved Warm air is contained in a pistoncylinder assembly Warm Air Is Contained In A Piston-Cylinder Assembly Oriented Horizontally The air cools slowly from an initial volume of 0.003 m 3. Friction between the piston and the cylinder wall can be neglected. determine the initial and final pressure of the air in kpa. Also, find the work, w, in kj. The air cools slowly from an. the atmospheric pressure is $100 \mathrm{kpa}$, and the area of the. Warm Air Is Contained In A Piston-Cylinder Assembly Oriented Horizontally.
From www.chegg.com
Solved Air is contained in a pistoncylinder assembly as Warm Air Is Contained In A Piston-Cylinder Assembly Oriented Horizontally Friction between the piston and the cylinder wall can be neglected. The air cools slowly from an initial volume of 0.003 m 3. The air cools slowly from an. the atmospheric pressure is 100kpa, and the area of the piston face is 0.018 m2. determine the initial and final pressure of the air in kpa. the atmospheric. Warm Air Is Contained In A Piston-Cylinder Assembly Oriented Horizontally.
From www.chegg.com
Solved Warm air is contained in a pistoncylinder Warm Air Is Contained In A Piston-Cylinder Assembly Oriented Horizontally the atmospheric pressure is 100kpa, and the area of the piston face is 0.018 m2. Friction between the piston and the cylinder wall can be neglected. The air cools slowly from an. Also, find the work, w, in kj. the atmospheric pressure is $100 \mathrm{kpa}$, and the area of the piston face is $0.018 \mathrm{~m}^{2}$. The air cools. Warm Air Is Contained In A Piston-Cylinder Assembly Oriented Horizontally.
From www.chegg.com
Solved Air contained in a pistoncylinder assembly undergoes Warm Air Is Contained In A Piston-Cylinder Assembly Oriented Horizontally The air cools slowly from an initial volume of 0.003 m 3. the atmospheric pressure is $100 \mathrm{kpa}$, and the area of the piston face is $0.018 \mathrm{~m}^{2}$. Also, find the work, w, in kj. the atmospheric pressure is 100kpa, and the area of the piston face is 0.018 m2. The air cools slowly from an. determine. Warm Air Is Contained In A Piston-Cylinder Assembly Oriented Horizontally.
From www.chegg.com
Solved Air contained in a pistoncylinder assembly undergoes Warm Air Is Contained In A Piston-Cylinder Assembly Oriented Horizontally The air cools slowly from an. Also, find the work, w, in kj. The air cools slowly from an initial volume of 0.003 m 3. Friction between the piston and the cylinder wall can be neglected. the atmospheric pressure is $100 \mathrm{kpa}$, and the area of the piston face is $0.018 \mathrm{~m}^{2}$. the atmospheric pressure is 100kpa, and. Warm Air Is Contained In A Piston-Cylinder Assembly Oriented Horizontally.
From www.chegg.com
Solved 2.22 Warm air is contained in a pistoncylinder Warm Air Is Contained In A Piston-Cylinder Assembly Oriented Horizontally the atmospheric pressure is 100kpa, and the area of the piston face is 0.018 m2. Also, find the work, w, in kj. the atmospheric pressure is $100 \mathrm{kpa}$, and the area of the piston face is $0.018 \mathrm{~m}^{2}$. The air cools slowly from an. The air cools slowly from an initial volume of 0.003 m 3. Friction between. Warm Air Is Contained In A Piston-Cylinder Assembly Oriented Horizontally.
From www.chegg.com
Solved 1. As Shown In Fig Below, A Pistoncylinder Assemb... Warm Air Is Contained In A Piston-Cylinder Assembly Oriented Horizontally The air cools slowly from an initial volume of 0.003 m 3. The air cools slowly from an. the atmospheric pressure is $100 \mathrm{kpa}$, and the area of the piston face is $0.018 \mathrm{~m}^{2}$. Also, find the work, w, in kj. the atmospheric pressure is 100kpa, and the area of the piston face is 0.018 m2. Friction between. Warm Air Is Contained In A Piston-Cylinder Assembly Oriented Horizontally.
From www.chegg.com
Air contained within a pistoncylinder assembly is Warm Air Is Contained In A Piston-Cylinder Assembly Oriented Horizontally The air cools slowly from an. determine the initial and final pressure of the air in kpa. the atmospheric pressure is $100 \mathrm{kpa}$, and the area of the piston face is $0.018 \mathrm{~m}^{2}$. the atmospheric pressure is 100kpa, and the area of the piston face is 0.018 m2. Friction between the piston and the cylinder wall can. Warm Air Is Contained In A Piston-Cylinder Assembly Oriented Horizontally.
From www.chegg.com
Solved 3. As shown below, a pistoncylinder assembly fitted Warm Air Is Contained In A Piston-Cylinder Assembly Oriented Horizontally Friction between the piston and the cylinder wall can be neglected. Also, find the work, w, in kj. the atmospheric pressure is $100 \mathrm{kpa}$, and the area of the piston face is $0.018 \mathrm{~m}^{2}$. determine the initial and final pressure of the air in kpa. The air cools slowly from an initial volume of 0.003 m 3. The. Warm Air Is Contained In A Piston-Cylinder Assembly Oriented Horizontally.
From www.chegg.com
Solved Air is contained in a pistoncylinder assembly, which Warm Air Is Contained In A Piston-Cylinder Assembly Oriented Horizontally the atmospheric pressure is $100 \mathrm{kpa}$, and the area of the piston face is $0.018 \mathrm{~m}^{2}$. the atmospheric pressure is 100kpa, and the area of the piston face is 0.018 m2. The air cools slowly from an initial volume of 0.003 m 3. The air cools slowly from an. determine the initial and final pressure of the. Warm Air Is Contained In A Piston-Cylinder Assembly Oriented Horizontally.
From www.chegg.com
Solved Air contained within a pistoncylinder assembly is Warm Air Is Contained In A Piston-Cylinder Assembly Oriented Horizontally The air cools slowly from an. the atmospheric pressure is $100 \mathrm{kpa}$, and the area of the piston face is $0.018 \mathrm{~m}^{2}$. Also, find the work, w, in kj. Friction between the piston and the cylinder wall can be neglected. The air cools slowly from an initial volume of 0.003 m 3. determine the initial and final pressure. Warm Air Is Contained In A Piston-Cylinder Assembly Oriented Horizontally.
From www.numerade.com
SOLVED Using Energy Concepts and the Ideal Gas Model Air contained in Warm Air Is Contained In A Piston-Cylinder Assembly Oriented Horizontally determine the initial and final pressure of the air in kpa. the atmospheric pressure is $100 \mathrm{kpa}$, and the area of the piston face is $0.018 \mathrm{~m}^{2}$. The air cools slowly from an initial volume of 0.003 m 3. The air cools slowly from an. Friction between the piston and the cylinder wall can be neglected. Also, find. Warm Air Is Contained In A Piston-Cylinder Assembly Oriented Horizontally.
From www.numerade.com
SOLVED Q2/ Warm air (ideal gas at 105°C) is contained in a piston Warm Air Is Contained In A Piston-Cylinder Assembly Oriented Horizontally The air cools slowly from an initial volume of 0.003 m 3. The air cools slowly from an. determine the initial and final pressure of the air in kpa. the atmospheric pressure is $100 \mathrm{kpa}$, and the area of the piston face is $0.018 \mathrm{~m}^{2}$. the atmospheric pressure is 100kpa, and the area of the piston face. Warm Air Is Contained In A Piston-Cylinder Assembly Oriented Horizontally.
From www.numerade.com
SOLVED Warm air is contained in a pistoncylinder assembly oriented Warm Air Is Contained In A Piston-Cylinder Assembly Oriented Horizontally Also, find the work, w, in kj. The air cools slowly from an. the atmospheric pressure is $100 \mathrm{kpa}$, and the area of the piston face is $0.018 \mathrm{~m}^{2}$. The air cools slowly from an initial volume of 0.003 m 3. the atmospheric pressure is 100kpa, and the area of the piston face is 0.018 m2. determine. Warm Air Is Contained In A Piston-Cylinder Assembly Oriented Horizontally.
From www.chegg.com
Solved Air contained in a pistoncylinder assembly undergoes Warm Air Is Contained In A Piston-Cylinder Assembly Oriented Horizontally The air cools slowly from an. the atmospheric pressure is 100kpa, and the area of the piston face is 0.018 m2. the atmospheric pressure is $100 \mathrm{kpa}$, and the area of the piston face is $0.018 \mathrm{~m}^{2}$. The air cools slowly from an initial volume of 0.003 m 3. determine the initial and final pressure of the. Warm Air Is Contained In A Piston-Cylinder Assembly Oriented Horizontally.
From www.chegg.com
Solved Air contained in a pistoncylinder assembly undergoes Warm Air Is Contained In A Piston-Cylinder Assembly Oriented Horizontally The air cools slowly from an. The air cools slowly from an initial volume of 0.003 m 3. Friction between the piston and the cylinder wall can be neglected. the atmospheric pressure is $100 \mathrm{kpa}$, and the area of the piston face is $0.018 \mathrm{~m}^{2}$. determine the initial and final pressure of the air in kpa. the. Warm Air Is Contained In A Piston-Cylinder Assembly Oriented Horizontally.
From www.numerade.com
SOLVEDWarm air is contained in a pistoncylinder assembly oriented Warm Air Is Contained In A Piston-Cylinder Assembly Oriented Horizontally The air cools slowly from an. the atmospheric pressure is 100kpa, and the area of the piston face is 0.018 m2. The air cools slowly from an initial volume of 0.003 m 3. Also, find the work, w, in kj. determine the initial and final pressure of the air in kpa. the atmospheric pressure is $100 \mathrm{kpa}$,. Warm Air Is Contained In A Piston-Cylinder Assembly Oriented Horizontally.
From www.chegg.com
Solved Problem 2. Air contained in the pistoncylinder Warm Air Is Contained In A Piston-Cylinder Assembly Oriented Horizontally The air cools slowly from an. Also, find the work, w, in kj. the atmospheric pressure is 100kpa, and the area of the piston face is 0.018 m2. determine the initial and final pressure of the air in kpa. the atmospheric pressure is $100 \mathrm{kpa}$, and the area of the piston face is $0.018 \mathrm{~m}^{2}$. Friction between. Warm Air Is Contained In A Piston-Cylinder Assembly Oriented Horizontally.
From www.chegg.com
Solved Problem 2. Air contained in the pistoncylinder Warm Air Is Contained In A Piston-Cylinder Assembly Oriented Horizontally determine the initial and final pressure of the air in kpa. the atmospheric pressure is 100kpa, and the area of the piston face is 0.018 m2. The air cools slowly from an initial volume of 0.003 m 3. Also, find the work, w, in kj. the atmospheric pressure is $100 \mathrm{kpa}$, and the area of the piston. Warm Air Is Contained In A Piston-Cylinder Assembly Oriented Horizontally.
From www.chegg.com
Solved Air contained in a pistoncylinder assembly undergoes Warm Air Is Contained In A Piston-Cylinder Assembly Oriented Horizontally determine the initial and final pressure of the air in kpa. Friction between the piston and the cylinder wall can be neglected. Also, find the work, w, in kj. The air cools slowly from an initial volume of 0.003 m 3. The air cools slowly from an. the atmospheric pressure is 100kpa, and the area of the piston. Warm Air Is Contained In A Piston-Cylinder Assembly Oriented Horizontally.
From www.chegg.com
Solved Air contained in a pistoncylinder assembly undergoes Warm Air Is Contained In A Piston-Cylinder Assembly Oriented Horizontally Friction between the piston and the cylinder wall can be neglected. the atmospheric pressure is 100kpa, and the area of the piston face is 0.018 m2. The air cools slowly from an initial volume of 0.003 m 3. the atmospheric pressure is $100 \mathrm{kpa}$, and the area of the piston face is $0.018 \mathrm{~m}^{2}$. Also, find the work,. Warm Air Is Contained In A Piston-Cylinder Assembly Oriented Horizontally.
From www.chegg.com
Solved Air contained in a pistoncylinder assembly undergoes Warm Air Is Contained In A Piston-Cylinder Assembly Oriented Horizontally Friction between the piston and the cylinder wall can be neglected. the atmospheric pressure is $100 \mathrm{kpa}$, and the area of the piston face is $0.018 \mathrm{~m}^{2}$. determine the initial and final pressure of the air in kpa. the atmospheric pressure is 100kpa, and the area of the piston face is 0.018 m2. Also, find the work,. Warm Air Is Contained In A Piston-Cylinder Assembly Oriented Horizontally.
From www.chegg.com
Solved Warm air is contained in a pistoncylinder assembly Warm Air Is Contained In A Piston-Cylinder Assembly Oriented Horizontally the atmospheric pressure is $100 \mathrm{kpa}$, and the area of the piston face is $0.018 \mathrm{~m}^{2}$. Friction between the piston and the cylinder wall can be neglected. Also, find the work, w, in kj. determine the initial and final pressure of the air in kpa. The air cools slowly from an. the atmospheric pressure is 100kpa, and. Warm Air Is Contained In A Piston-Cylinder Assembly Oriented Horizontally.
From www.chegg.com
Solved Air contained in a pistoncylinder assembly undergoes Warm Air Is Contained In A Piston-Cylinder Assembly Oriented Horizontally The air cools slowly from an initial volume of 0.003 m 3. The air cools slowly from an. the atmospheric pressure is $100 \mathrm{kpa}$, and the area of the piston face is $0.018 \mathrm{~m}^{2}$. Friction between the piston and the cylinder wall can be neglected. determine the initial and final pressure of the air in kpa. the. Warm Air Is Contained In A Piston-Cylinder Assembly Oriented Horizontally.
From www.chegg.com
Solved Air contained in a pistoncylinder assembly, Warm Air Is Contained In A Piston-Cylinder Assembly Oriented Horizontally Also, find the work, w, in kj. the atmospheric pressure is $100 \mathrm{kpa}$, and the area of the piston face is $0.018 \mathrm{~m}^{2}$. The air cools slowly from an initial volume of 0.003 m 3. Friction between the piston and the cylinder wall can be neglected. determine the initial and final pressure of the air in kpa. . Warm Air Is Contained In A Piston-Cylinder Assembly Oriented Horizontally.
From www.chegg.com
Solved 8. Warm air is contained in a pistoncylinder Warm Air Is Contained In A Piston-Cylinder Assembly Oriented Horizontally The air cools slowly from an initial volume of 0.003 m 3. the atmospheric pressure is 100kpa, and the area of the piston face is 0.018 m2. Also, find the work, w, in kj. The air cools slowly from an. Friction between the piston and the cylinder wall can be neglected. determine the initial and final pressure of. Warm Air Is Contained In A Piston-Cylinder Assembly Oriented Horizontally.
From www.chegg.com
Solved 2.22 Warm air is contained in a pistoncylinder Warm Air Is Contained In A Piston-Cylinder Assembly Oriented Horizontally the atmospheric pressure is 100kpa, and the area of the piston face is 0.018 m2. the atmospheric pressure is $100 \mathrm{kpa}$, and the area of the piston face is $0.018 \mathrm{~m}^{2}$. Friction between the piston and the cylinder wall can be neglected. The air cools slowly from an. Also, find the work, w, in kj. determine the. Warm Air Is Contained In A Piston-Cylinder Assembly Oriented Horizontally.
From www.chegg.com
Solved 1. Air is contained in a pistoncylinder assembly Warm Air Is Contained In A Piston-Cylinder Assembly Oriented Horizontally The air cools slowly from an. The air cools slowly from an initial volume of 0.003 m 3. the atmospheric pressure is $100 \mathrm{kpa}$, and the area of the piston face is $0.018 \mathrm{~m}^{2}$. Also, find the work, w, in kj. Friction between the piston and the cylinder wall can be neglected. the atmospheric pressure is 100kpa, and. Warm Air Is Contained In A Piston-Cylinder Assembly Oriented Horizontally.
From www.chegg.com
Solved Air is contained in a wellinsulated pistoncylinder Warm Air Is Contained In A Piston-Cylinder Assembly Oriented Horizontally Friction between the piston and the cylinder wall can be neglected. The air cools slowly from an. The air cools slowly from an initial volume of 0.003 m 3. determine the initial and final pressure of the air in kpa. the atmospheric pressure is $100 \mathrm{kpa}$, and the area of the piston face is $0.018 \mathrm{~m}^{2}$. the. Warm Air Is Contained In A Piston-Cylinder Assembly Oriented Horizontally.
From www.chegg.com
Solved Air contained in a pistoncylinder assembly undergoes Warm Air Is Contained In A Piston-Cylinder Assembly Oriented Horizontally the atmospheric pressure is $100 \mathrm{kpa}$, and the area of the piston face is $0.018 \mathrm{~m}^{2}$. The air cools slowly from an initial volume of 0.003 m 3. Friction between the piston and the cylinder wall can be neglected. the atmospheric pressure is 100kpa, and the area of the piston face is 0.018 m2. determine the initial. Warm Air Is Contained In A Piston-Cylinder Assembly Oriented Horizontally.
From www.chegg.com
Solved Air contained in a pistoncylinder assembly undergoes Warm Air Is Contained In A Piston-Cylinder Assembly Oriented Horizontally The air cools slowly from an. determine the initial and final pressure of the air in kpa. the atmospheric pressure is 100kpa, and the area of the piston face is 0.018 m2. the atmospheric pressure is $100 \mathrm{kpa}$, and the area of the piston face is $0.018 \mathrm{~m}^{2}$. Also, find the work, w, in kj. The air. Warm Air Is Contained In A Piston-Cylinder Assembly Oriented Horizontally.
From www.chegg.com
Solved Air contained in a pistoncylinder assembly undergoes Warm Air Is Contained In A Piston-Cylinder Assembly Oriented Horizontally Friction between the piston and the cylinder wall can be neglected. the atmospheric pressure is $100 \mathrm{kpa}$, and the area of the piston face is $0.018 \mathrm{~m}^{2}$. determine the initial and final pressure of the air in kpa. Also, find the work, w, in kj. The air cools slowly from an. the atmospheric pressure is 100kpa, and. Warm Air Is Contained In A Piston-Cylinder Assembly Oriented Horizontally.
From www.chegg.com
Solved Air contained in a pistoncylinder assembly undergoes Warm Air Is Contained In A Piston-Cylinder Assembly Oriented Horizontally Friction between the piston and the cylinder wall can be neglected. The air cools slowly from an. Also, find the work, w, in kj. determine the initial and final pressure of the air in kpa. the atmospheric pressure is 100kpa, and the area of the piston face is 0.018 m2. The air cools slowly from an initial volume. Warm Air Is Contained In A Piston-Cylinder Assembly Oriented Horizontally.
From www.chegg.com
Solved Air contained in a pistoncylinder assembly undergoes Warm Air Is Contained In A Piston-Cylinder Assembly Oriented Horizontally The air cools slowly from an initial volume of 0.003 m 3. Also, find the work, w, in kj. the atmospheric pressure is 100kpa, and the area of the piston face is 0.018 m2. Friction between the piston and the cylinder wall can be neglected. The air cools slowly from an. determine the initial and final pressure of. Warm Air Is Contained In A Piston-Cylinder Assembly Oriented Horizontally.
From www.solutionspile.com
[Solved] 22. AIR contained in a pistoncylinder assembly Warm Air Is Contained In A Piston-Cylinder Assembly Oriented Horizontally the atmospheric pressure is $100 \mathrm{kpa}$, and the area of the piston face is $0.018 \mathrm{~m}^{2}$. the atmospheric pressure is 100kpa, and the area of the piston face is 0.018 m2. The air cools slowly from an. Friction between the piston and the cylinder wall can be neglected. The air cools slowly from an initial volume of 0.003. Warm Air Is Contained In A Piston-Cylinder Assembly Oriented Horizontally.