Beaker Meaning In Bengali . The word or phrase beaker refers to a cup (usually without a handle), or a flatbottomed jar made. Separation beaker ↔ পৃথকীকরণ বিকার beaker noun grammar what is beaker meaning in bengali? meaning of beaker in bengali language with definitions, examples, antonym, synonym. ই র জ এ beaker এর অন ব দ নম ন অন ব দ ত ব ক য: Beaker শব দ র ব ল অর থ ক ? beaker meaning in bengali. beaker volume_up noun পানপাত্র; ব ক র is the translation of beaker into bangla. meaning of beaker in english a large drinking cup, with a wide mouth, supported on a foot or standard. English to bangla online dictionary. ব ল য অর থ পড ন.
from www.doubtnut.com
ব ল য অর থ পড ন. Beaker শব দ র ব ল অর থ ক ? ব ক র is the translation of beaker into bangla. Separation beaker ↔ পৃথকীকরণ বিকার beaker noun grammar The word or phrase beaker refers to a cup (usually without a handle), or a flatbottomed jar made. ই র জ এ beaker এর অন ব দ নম ন অন ব দ ত ব ক য: meaning of beaker in english a large drinking cup, with a wide mouth, supported on a foot or standard. beaker volume_up noun পানপাত্র; meaning of beaker in bengali language with definitions, examples, antonym, synonym. beaker meaning in bengali.
[Bengali] In a beaker partly filled with water, the depth of water see
Beaker Meaning In Bengali beaker volume_up noun পানপাত্র; meaning of beaker in english a large drinking cup, with a wide mouth, supported on a foot or standard. ব ল য অর থ পড ন. meaning of beaker in bengali language with definitions, examples, antonym, synonym. English to bangla online dictionary. beaker volume_up noun পানপাত্র; beaker meaning in bengali. ব ক র is the translation of beaker into bangla. The word or phrase beaker refers to a cup (usually without a handle), or a flatbottomed jar made. Separation beaker ↔ পৃথকীকরণ বিকার beaker noun grammar Beaker শব দ র ব ল অর থ ক ? what is beaker meaning in bengali? ই র জ এ beaker এর অন ব দ নম ন অন ব দ ত ব ক য:
From www.doubtnut.com
[Bengali] A beaker is filled to the brim with water at 4^()C. What wi Beaker Meaning In Bengali meaning of beaker in english a large drinking cup, with a wide mouth, supported on a foot or standard. ব ক র is the translation of beaker into bangla. ই র জ এ beaker এর অন ব দ নম ন অন ব দ ত ব ক য: The word or phrase beaker refers to a cup (usually. Beaker Meaning In Bengali.
From slidetodoc.com
Lab Equipment Introduction Beaker Function Provides an approximate Beaker Meaning In Bengali beaker meaning in bengali. ই র জ এ beaker এর অন ব দ নম ন অন ব দ ত ব ক য: meaning of beaker in english a large drinking cup, with a wide mouth, supported on a foot or standard. Beaker শব দ র ব ল অর থ ক ? The word or phrase beaker refers. Beaker Meaning In Bengali.
From exovpggtq.blob.core.windows.net
What Is A Beaker For at Jennifer Forbes blog Beaker Meaning In Bengali beaker volume_up noun পানপাত্র; what is beaker meaning in bengali? ব ল য অর থ পড ন. beaker meaning in bengali. English to bangla online dictionary. Beaker শব দ র ব ল অর থ ক ? meaning of beaker in english a large drinking cup, with a wide mouth, supported on a foot or standard. . Beaker Meaning In Bengali.
From englishbengali.com
50 Words with Bengali Meaning English Words Beaker Meaning In Bengali ই র জ এ beaker এর অন ব দ নম ন অন ব দ ত ব ক য: Separation beaker ↔ পৃথকীকরণ বিকার beaker noun grammar The word or phrase beaker refers to a cup (usually without a handle), or a flatbottomed jar made. meaning of beaker in bengali language with definitions, examples, antonym, synonym. ব ল য. Beaker Meaning In Bengali.
From exooyjlyu.blob.core.windows.net
Beaker Meaning In Kannada at Ernesto Amore blog Beaker Meaning In Bengali what is beaker meaning in bengali? meaning of beaker in english a large drinking cup, with a wide mouth, supported on a foot or standard. beaker meaning in bengali. ব ল য অর থ পড ন. English to bangla online dictionary. ই র জ এ beaker এর অন ব দ নম ন অন ব দ ত. Beaker Meaning In Bengali.
From fity.club
Beaker Meaning Beaker Meaning In Bengali Beaker শব দ র ব ল অর থ ক ? what is beaker meaning in bengali? The word or phrase beaker refers to a cup (usually without a handle), or a flatbottomed jar made. English to bangla online dictionary. ব ল য অর থ পড ন. meaning of beaker in bengali language with definitions, examples, antonym, synonym. . Beaker Meaning In Bengali.
From www.indiamart.com
Beaker at best price in Ambala by Mahavir Scientific & Allied Works Beaker Meaning In Bengali ব ক র is the translation of beaker into bangla. The word or phrase beaker refers to a cup (usually without a handle), or a flatbottomed jar made. ব ল য অর থ পড ন. beaker volume_up noun পানপাত্র; Beaker শব দ র ব ল অর থ ক ? what is beaker meaning in bengali? beaker. Beaker Meaning In Bengali.
From www.indiamart.com
500ml at Rs 85/piece Gandhi Nagar Bengaluru ID 6751264297 Beaker Meaning In Bengali meaning of beaker in bengali language with definitions, examples, antonym, synonym. The word or phrase beaker refers to a cup (usually without a handle), or a flatbottomed jar made. English to bangla online dictionary. what is beaker meaning in bengali? ব ল য অর থ পড ন. ই র জ এ beaker এর অন ব দ নম. Beaker Meaning In Bengali.
From www.sunsigns.org
Significance Of A Beaker Dream Meaning, Interpretation and Symbolism Beaker Meaning In Bengali ব ল য অর থ পড ন. ই র জ এ beaker এর অন ব দ নম ন অন ব দ ত ব ক য: Beaker শব দ র ব ল অর থ ক ? beaker meaning in bengali. The word or phrase beaker refers to a cup (usually without a handle), or a flatbottomed jar made. . Beaker Meaning In Bengali.
From mavink.com
Different Types Of Beakers And Their Names Beaker Meaning In Bengali Beaker শব দ র ব ল অর থ ক ? meaning of beaker in bengali language with definitions, examples, antonym, synonym. ই র জ এ beaker এর অন ব দ নম ন অন ব দ ত ব ক য: what is beaker meaning in bengali? Separation beaker ↔ পৃথকীকরণ বিকার beaker noun grammar ব ক র. Beaker Meaning In Bengali.
From mungfali.com
Beaker Use Beaker Meaning In Bengali meaning of beaker in english a large drinking cup, with a wide mouth, supported on a foot or standard. ই র জ এ beaker এর অন ব দ নম ন অন ব দ ত ব ক য: Beaker শব দ র ব ল অর থ ক ? The word or phrase beaker refers to a cup (usually without. Beaker Meaning In Bengali.
From cass.mecconline.org
Beaker Meaning, Exploring the Essential Labware Cass Beaker Meaning In Bengali Separation beaker ↔ পৃথকীকরণ বিকার beaker noun grammar English to bangla online dictionary. Beaker শব দ র ব ল অর থ ক ? beaker meaning in bengali. meaning of beaker in bengali language with definitions, examples, antonym, synonym. what is beaker meaning in bengali? ব ক র is the translation of beaker into bangla. ই. Beaker Meaning In Bengali.
From www.karinokada.com
Cholar Dal (Bengali Chana Dal) Karinokada Beaker Meaning In Bengali ব ক র is the translation of beaker into bangla. meaning of beaker in english a large drinking cup, with a wide mouth, supported on a foot or standard. ই র জ এ beaker এর অন ব দ নম ন অন ব দ ত ব ক য: English to bangla online dictionary. meaning of beaker in. Beaker Meaning In Bengali.
From www.youtube.com
What's the meaning of "beaker", How to pronounce beaker? YouTube Beaker Meaning In Bengali beaker meaning in bengali. ব ক র is the translation of beaker into bangla. ব ল য অর থ পড ন. ই র জ এ beaker এর অন ব দ নম ন অন ব দ ত ব ক য: meaning of beaker in english a large drinking cup, with a wide mouth, supported on a foot. Beaker Meaning In Bengali.
From www.youtube.com
Beaker Meaning in Gujarati Beaker નો અર્થ શું છે Beaker in Gujarati Beaker Meaning In Bengali The word or phrase beaker refers to a cup (usually without a handle), or a flatbottomed jar made. Beaker শব দ র ব ল অর থ ক ? ব ল য অর থ পড ন. meaning of beaker in bengali language with definitions, examples, antonym, synonym. ই র জ এ beaker এর অন ব দ নম ন অন. Beaker Meaning In Bengali.
From exoavyrkz.blob.core.windows.net
What Is A Beaker Used For In Chemistry at Kimberly Hickman blog Beaker Meaning In Bengali ব ক র is the translation of beaker into bangla. what is beaker meaning in bengali? meaning of beaker in english a large drinking cup, with a wide mouth, supported on a foot or standard. ব ল য অর থ পড ন. Separation beaker ↔ পৃথকীকরণ বিকার beaker noun grammar beaker volume_up noun পানপাত্র; beaker. Beaker Meaning In Bengali.
From www.doubtnut.com
[Bengali Solution] Level of solution remins unaffected in beaker Beaker Meaning In Bengali Separation beaker ↔ পৃথকীকরণ বিকার beaker noun grammar what is beaker meaning in bengali? beaker volume_up noun পানপাত্র; ব ক র is the translation of beaker into bangla. beaker meaning in bengali. ই র জ এ beaker এর অন ব দ নম ন অন ব দ ত ব ক য: Beaker শব দ র ব. Beaker Meaning In Bengali.
From www.studysolves.com
Taste Of Bengal Bengali Meaning Class 4Lesson 3English Butterfly IV Beaker Meaning In Bengali ব ল য অর থ পড ন. Separation beaker ↔ পৃথকীকরণ বিকার beaker noun grammar ই র জ এ beaker এর অন ব দ নম ন অন ব দ ত ব ক য: meaning of beaker in bengali language with definitions, examples, antonym, synonym. what is beaker meaning in bengali? ব ক র is the translation. Beaker Meaning In Bengali.
From englishbengali.com
100 Most Common English Words Bengali to English Beaker Meaning In Bengali meaning of beaker in bengali language with definitions, examples, antonym, synonym. beaker volume_up noun পানপাত্র; ব ক র is the translation of beaker into bangla. ই র জ এ beaker এর অন ব দ নম ন অন ব দ ত ব ক য: ব ল য অর থ পড ন. beaker meaning in bengali. . Beaker Meaning In Bengali.
From exooyjlyu.blob.core.windows.net
Beaker Meaning In Kannada at Ernesto Amore blog Beaker Meaning In Bengali meaning of beaker in bengali language with definitions, examples, antonym, synonym. Beaker শব দ র ব ল অর থ ক ? ব ক র is the translation of beaker into bangla. ই র জ এ beaker এর অন ব দ নম ন অন ব দ ত ব ক য: beaker volume_up noun পানপাত্র; meaning of. Beaker Meaning In Bengali.
From taketex.com.bd
Laboratory Beaker in Bangladesh Beaker Meaning In Bengali ব ক র is the translation of beaker into bangla. The word or phrase beaker refers to a cup (usually without a handle), or a flatbottomed jar made. ব ল য অর থ পড ন. English to bangla online dictionary. beaker meaning in bengali. beaker volume_up noun পানপাত্র; meaning of beaker in bengali language with definitions,. Beaker Meaning In Bengali.
From www.cheimika.it
Beakers low form Beaker Meaning In Bengali ব ল য অর থ পড ন. meaning of beaker in bengali language with definitions, examples, antonym, synonym. what is beaker meaning in bengali? Separation beaker ↔ পৃথকীকরণ বিকার beaker noun grammar beaker volume_up noun পানপাত্র; meaning of beaker in english a large drinking cup, with a wide mouth, supported on a foot or standard. The. Beaker Meaning In Bengali.
From dictionary.langeek.co
Definition & Meaning of "Beaker" LanGeek Beaker Meaning In Bengali ব ল য অর থ পড ন. beaker volume_up noun পানপাত্র; ই র জ এ beaker এর অন ব দ নম ন অন ব দ ত ব ক য: The word or phrase beaker refers to a cup (usually without a handle), or a flatbottomed jar made. meaning of beaker in bengali language with definitions, examples, antonym,. Beaker Meaning In Bengali.
From exooyjlyu.blob.core.windows.net
Beaker Meaning In Kannada at Ernesto Amore blog Beaker Meaning In Bengali ই র জ এ beaker এর অন ব দ নম ন অন ব দ ত ব ক য: ব ক র is the translation of beaker into bangla. beaker meaning in bengali. meaning of beaker in bengali language with definitions, examples, antonym, synonym. what is beaker meaning in bengali? ব ল য অর থ পড. Beaker Meaning In Bengali.
From fity.club
Beaker Meaning Beaker Meaning In Bengali meaning of beaker in english a large drinking cup, with a wide mouth, supported on a foot or standard. what is beaker meaning in bengali? The word or phrase beaker refers to a cup (usually without a handle), or a flatbottomed jar made. English to bangla online dictionary. beaker meaning in bengali. Separation beaker ↔ পৃথকীকরণ বিকার. Beaker Meaning In Bengali.
From fity.club
Beaker Meaning Beaker Meaning In Bengali meaning of beaker in english a large drinking cup, with a wide mouth, supported on a foot or standard. ব ক র is the translation of beaker into bangla. beaker volume_up noun পানপাত্র; Separation beaker ↔ পৃথকীকরণ বিকার beaker noun grammar beaker meaning in bengali. ই র জ এ beaker এর অন ব দ নম. Beaker Meaning In Bengali.
From www.doubtnut.com
[Bengali] In a beaker partly filled with water, the depth of water see Beaker Meaning In Bengali beaker meaning in bengali. what is beaker meaning in bengali? ই র জ এ beaker এর অন ব দ নম ন অন ব দ ত ব ক য: beaker volume_up noun পানপাত্র; ব ক র is the translation of beaker into bangla. meaning of beaker in bengali language with definitions, examples, antonym, synonym. . Beaker Meaning In Bengali.
From exozmnyfo.blob.core.windows.net
Meaning Of Beaker In French at Helen Rudolph blog Beaker Meaning In Bengali ব ক র is the translation of beaker into bangla. Beaker শব দ র ব ল অর থ ক ? beaker volume_up noun পানপাত্র; English to bangla online dictionary. meaning of beaker in english a large drinking cup, with a wide mouth, supported on a foot or standard. what is beaker meaning in bengali? Separation beaker. Beaker Meaning In Bengali.
From www.ebay.com
100mL Glass Beaker,Low Form,Lab Beakers With Spout Mouth,Laboratory Beaker Meaning In Bengali what is beaker meaning in bengali? beaker volume_up noun পানপাত্র; meaning of beaker in bengali language with definitions, examples, antonym, synonym. The word or phrase beaker refers to a cup (usually without a handle), or a flatbottomed jar made. Beaker শব দ র ব ল অর থ ক ? meaning of beaker in english a large. Beaker Meaning In Bengali.
From www.slideserve.com
PPT Science equipment and meaning. PowerPoint Presentation ID2212329 Beaker Meaning In Bengali Separation beaker ↔ পৃথকীকরণ বিকার beaker noun grammar ই র জ এ beaker এর অন ব দ নম ন অন ব দ ত ব ক য: Beaker শব দ র ব ল অর থ ক ? The word or phrase beaker refers to a cup (usually without a handle), or a flatbottomed jar made. ব ক র is. Beaker Meaning In Bengali.
From www.slideshare.net
Science equipment Beaker Meaning In Bengali meaning of beaker in english a large drinking cup, with a wide mouth, supported on a foot or standard. ব ক র is the translation of beaker into bangla. Beaker শব দ র ব ল অর থ ক ? The word or phrase beaker refers to a cup (usually without a handle), or a flatbottomed jar made. English. Beaker Meaning In Bengali.
From vegetablestar.com
Vegetable names in Bengali and English with Pictures Beaker Meaning In Bengali Separation beaker ↔ পৃথকীকরণ বিকার beaker noun grammar beaker volume_up noun পানপাত্র; meaning of beaker in english a large drinking cup, with a wide mouth, supported on a foot or standard. beaker meaning in bengali. The word or phrase beaker refers to a cup (usually without a handle), or a flatbottomed jar made. ব ক র. Beaker Meaning In Bengali.
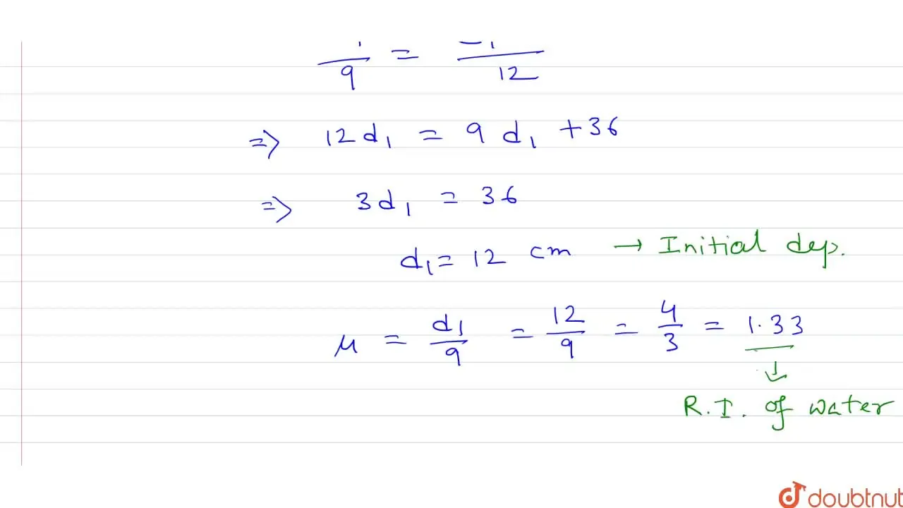
From www.doubtnut.com
[Bengali] There is a mark at the bottom of a beaker. A liquid of refra Beaker Meaning In Bengali Separation beaker ↔ পৃথকীকরণ বিকার beaker noun grammar ব ক র is the translation of beaker into bangla. ব ল য অর থ পড ন. what is beaker meaning in bengali? meaning of beaker in bengali language with definitions, examples, antonym, synonym. meaning of beaker in english a large drinking cup, with a wide mouth, supported. Beaker Meaning In Bengali.
From exooyjlyu.blob.core.windows.net
Beaker Meaning In Kannada at Ernesto Amore blog Beaker Meaning In Bengali Beaker শব দ র ব ল অর থ ক ? ই র জ এ beaker এর অন ব দ নম ন অন ব দ ত ব ক য: meaning of beaker in bengali language with definitions, examples, antonym, synonym. English to bangla online dictionary. The word or phrase beaker refers to a cup (usually without a handle), or. Beaker Meaning In Bengali.
From www.doubtnut.com
[Bengali] A beaker is completely filled with water at 4^C. It will ov Beaker Meaning In Bengali meaning of beaker in bengali language with definitions, examples, antonym, synonym. Separation beaker ↔ পৃথকীকরণ বিকার beaker noun grammar beaker meaning in bengali. ব ল য অর থ পড ন. meaning of beaker in english a large drinking cup, with a wide mouth, supported on a foot or standard. beaker volume_up noun পানপাত্র; ব ক. Beaker Meaning In Bengali.