How Much Heat Does A 100W Light Bulb Give Off . However, the amount of heat it generates depends on the bulb type and the room size. Led light bulbs do get warm, but not as hot as traditional incandescent bulbs. yes, a light bulb generates heat in a room. Fluorescent light bulbs emit about 25% of the heat that an incandescent light bulb emits. incandescent light bulbs produce the most heat, using only 5% of the energy they receive for lighting. the light bulb that generates the most amount of heat is by far the halogen bulb which reaches temperatures. Various light bulbs emit different levels of heat. The heat energy produced by led lights depends on the energy efficiency of its different. most light bulbs and lamps give off more heat than light, and depending on the season, knowing when to use a lamp or the sun.
from www.flickr.com
yes, a light bulb generates heat in a room. most light bulbs and lamps give off more heat than light, and depending on the season, knowing when to use a lamp or the sun. incandescent light bulbs produce the most heat, using only 5% of the energy they receive for lighting. Led light bulbs do get warm, but not as hot as traditional incandescent bulbs. Various light bulbs emit different levels of heat. the light bulb that generates the most amount of heat is by far the halogen bulb which reaches temperatures. Fluorescent light bulbs emit about 25% of the heat that an incandescent light bulb emits. However, the amount of heat it generates depends on the bulb type and the room size. The heat energy produced by led lights depends on the energy efficiency of its different.
“Most people give off as much heat as a 100 watt bulb, but… Flickr
How Much Heat Does A 100W Light Bulb Give Off yes, a light bulb generates heat in a room. most light bulbs and lamps give off more heat than light, and depending on the season, knowing when to use a lamp or the sun. yes, a light bulb generates heat in a room. Various light bulbs emit different levels of heat. However, the amount of heat it generates depends on the bulb type and the room size. Fluorescent light bulbs emit about 25% of the heat that an incandescent light bulb emits. incandescent light bulbs produce the most heat, using only 5% of the energy they receive for lighting. The heat energy produced by led lights depends on the energy efficiency of its different. the light bulb that generates the most amount of heat is by far the halogen bulb which reaches temperatures. Led light bulbs do get warm, but not as hot as traditional incandescent bulbs.
From mungfali.com
LED Lumens Watts Conversion Chart How Much Heat Does A 100W Light Bulb Give Off the light bulb that generates the most amount of heat is by far the halogen bulb which reaches temperatures. The heat energy produced by led lights depends on the energy efficiency of its different. Fluorescent light bulbs emit about 25% of the heat that an incandescent light bulb emits. yes, a light bulb generates heat in a room.. How Much Heat Does A 100W Light Bulb Give Off.
From www.standardpro.com
LED lights an economical and longlasting solution Stanpro How Much Heat Does A 100W Light Bulb Give Off However, the amount of heat it generates depends on the bulb type and the room size. The heat energy produced by led lights depends on the energy efficiency of its different. Led light bulbs do get warm, but not as hot as traditional incandescent bulbs. Various light bulbs emit different levels of heat. most light bulbs and lamps give. How Much Heat Does A 100W Light Bulb Give Off.
From www.ebay.co.uk
2x 100W R80 Reflector Incandescent Spot Light Bulb ES E27 Edison Screw How Much Heat Does A 100W Light Bulb Give Off However, the amount of heat it generates depends on the bulb type and the room size. most light bulbs and lamps give off more heat than light, and depending on the season, knowing when to use a lamp or the sun. Fluorescent light bulbs emit about 25% of the heat that an incandescent light bulb emits. incandescent light. How Much Heat Does A 100W Light Bulb Give Off.
From americanwarmoms.org
100 Watt Light Bulb Is How Many Lumens How Much Heat Does A 100W Light Bulb Give Off The heat energy produced by led lights depends on the energy efficiency of its different. Led light bulbs do get warm, but not as hot as traditional incandescent bulbs. yes, a light bulb generates heat in a room. the light bulb that generates the most amount of heat is by far the halogen bulb which reaches temperatures. . How Much Heat Does A 100W Light Bulb Give Off.
From orlandokiza.weebly.com
Led brightness chart orlandokiza How Much Heat Does A 100W Light Bulb Give Off Various light bulbs emit different levels of heat. Fluorescent light bulbs emit about 25% of the heat that an incandescent light bulb emits. most light bulbs and lamps give off more heat than light, and depending on the season, knowing when to use a lamp or the sun. incandescent light bulbs produce the most heat, using only 5%. How Much Heat Does A 100W Light Bulb Give Off.
From emmy-bloggrant.blogspot.com
How Much Heat Does a 100 Watt Bulb Give Off How Much Heat Does A 100W Light Bulb Give Off most light bulbs and lamps give off more heat than light, and depending on the season, knowing when to use a lamp or the sun. incandescent light bulbs produce the most heat, using only 5% of the energy they receive for lighting. Fluorescent light bulbs emit about 25% of the heat that an incandescent light bulb emits. However,. How Much Heat Does A 100W Light Bulb Give Off.
From cetnnqwg.blob.core.windows.net
How Many Watts Of Light In A Room at Jasper Fogleman blog How Much Heat Does A 100W Light Bulb Give Off the light bulb that generates the most amount of heat is by far the halogen bulb which reaches temperatures. However, the amount of heat it generates depends on the bulb type and the room size. Various light bulbs emit different levels of heat. most light bulbs and lamps give off more heat than light, and depending on the. How Much Heat Does A 100W Light Bulb Give Off.
From www.homedepot.com
GE Reveal 100Watt Incandescent A19 Reveal Clear Light Bulb (2Pack How Much Heat Does A 100W Light Bulb Give Off most light bulbs and lamps give off more heat than light, and depending on the season, knowing when to use a lamp or the sun. yes, a light bulb generates heat in a room. The heat energy produced by led lights depends on the energy efficiency of its different. However, the amount of heat it generates depends on. How Much Heat Does A 100W Light Bulb Give Off.
From exooohixl.blob.core.windows.net
Can Fluorescent Bulbs Give Off Heat at Maggie Maguire blog How Much Heat Does A 100W Light Bulb Give Off most light bulbs and lamps give off more heat than light, and depending on the season, knowing when to use a lamp or the sun. Various light bulbs emit different levels of heat. However, the amount of heat it generates depends on the bulb type and the room size. The heat energy produced by led lights depends on the. How Much Heat Does A 100W Light Bulb Give Off.
From emmy-bloggrant.blogspot.com
How Much Heat Does a 100 Watt Bulb Give Off How Much Heat Does A 100W Light Bulb Give Off Fluorescent light bulbs emit about 25% of the heat that an incandescent light bulb emits. The heat energy produced by led lights depends on the energy efficiency of its different. the light bulb that generates the most amount of heat is by far the halogen bulb which reaches temperatures. incandescent light bulbs produce the most heat, using only. How Much Heat Does A 100W Light Bulb Give Off.
From americanwarmoms.org
100 Watt Light Bulb Is How Many Lumens How Much Heat Does A 100W Light Bulb Give Off incandescent light bulbs produce the most heat, using only 5% of the energy they receive for lighting. Various light bulbs emit different levels of heat. the light bulb that generates the most amount of heat is by far the halogen bulb which reaches temperatures. The heat energy produced by led lights depends on the energy efficiency of its. How Much Heat Does A 100W Light Bulb Give Off.
From www.wikihow.com
How to Calculate Kilowatts Used by Light Bulbs 7 Steps How Much Heat Does A 100W Light Bulb Give Off Various light bulbs emit different levels of heat. However, the amount of heat it generates depends on the bulb type and the room size. Led light bulbs do get warm, but not as hot as traditional incandescent bulbs. the light bulb that generates the most amount of heat is by far the halogen bulb which reaches temperatures. Fluorescent light. How Much Heat Does A 100W Light Bulb Give Off.
From www.youtube.com
Which has more resistance 100 W bulb or 60 W bulb Electricity How Much Heat Does A 100W Light Bulb Give Off incandescent light bulbs produce the most heat, using only 5% of the energy they receive for lighting. Various light bulbs emit different levels of heat. Led light bulbs do get warm, but not as hot as traditional incandescent bulbs. most light bulbs and lamps give off more heat than light, and depending on the season, knowing when to. How Much Heat Does A 100W Light Bulb Give Off.
From www.napower.com
How Much Heat Does a Lamp or a Light Bulb Give Off? How Much Heat Does A 100W Light Bulb Give Off most light bulbs and lamps give off more heat than light, and depending on the season, knowing when to use a lamp or the sun. Fluorescent light bulbs emit about 25% of the heat that an incandescent light bulb emits. However, the amount of heat it generates depends on the bulb type and the room size. the light. How Much Heat Does A 100W Light Bulb Give Off.
From keonferslambert.blogspot.com
How Much Work Does a 100watt Light Bulb Do How Much Heat Does A 100W Light Bulb Give Off However, the amount of heat it generates depends on the bulb type and the room size. Fluorescent light bulbs emit about 25% of the heat that an incandescent light bulb emits. Led light bulbs do get warm, but not as hot as traditional incandescent bulbs. incandescent light bulbs produce the most heat, using only 5% of the energy they. How Much Heat Does A 100W Light Bulb Give Off.
From blog.1000bulbs.com
Can I Use a 100W Equal LED Bulb in a 60W Socket? — Blog How Much Heat Does A 100W Light Bulb Give Off Led light bulbs do get warm, but not as hot as traditional incandescent bulbs. The heat energy produced by led lights depends on the energy efficiency of its different. most light bulbs and lamps give off more heat than light, and depending on the season, knowing when to use a lamp or the sun. Various light bulbs emit different. How Much Heat Does A 100W Light Bulb Give Off.
From emmy-bloggrant.blogspot.com
How Much Heat Does a 100 Watt Bulb Give Off How Much Heat Does A 100W Light Bulb Give Off However, the amount of heat it generates depends on the bulb type and the room size. most light bulbs and lamps give off more heat than light, and depending on the season, knowing when to use a lamp or the sun. The heat energy produced by led lights depends on the energy efficiency of its different. yes, a. How Much Heat Does A 100W Light Bulb Give Off.
From www.dreamstime.com
Most People Give Off As Much Heat As a 100 Watt Bulb Stock Vector How Much Heat Does A 100W Light Bulb Give Off yes, a light bulb generates heat in a room. incandescent light bulbs produce the most heat, using only 5% of the energy they receive for lighting. The heat energy produced by led lights depends on the energy efficiency of its different. most light bulbs and lamps give off more heat than light, and depending on the season,. How Much Heat Does A 100W Light Bulb Give Off.
From www.alamy.com
Four different wattage light bulbs 40w 60w 100w 150w Stock Photo How Much Heat Does A 100W Light Bulb Give Off the light bulb that generates the most amount of heat is by far the halogen bulb which reaches temperatures. The heat energy produced by led lights depends on the energy efficiency of its different. yes, a light bulb generates heat in a room. most light bulbs and lamps give off more heat than light, and depending on. How Much Heat Does A 100W Light Bulb Give Off.
From americanwarmoms.org
What Does 100 Watt Light Bulb Mean How Much Heat Does A 100W Light Bulb Give Off most light bulbs and lamps give off more heat than light, and depending on the season, knowing when to use a lamp or the sun. the light bulb that generates the most amount of heat is by far the halogen bulb which reaches temperatures. Various light bulbs emit different levels of heat. yes, a light bulb generates. How Much Heat Does A 100W Light Bulb Give Off.
From chiangmaiplaces.net
How Much Heat Does A 100 Watt Bulb Produce? The 18 Detailed Answer How Much Heat Does A 100W Light Bulb Give Off incandescent light bulbs produce the most heat, using only 5% of the energy they receive for lighting. However, the amount of heat it generates depends on the bulb type and the room size. most light bulbs and lamps give off more heat than light, and depending on the season, knowing when to use a lamp or the sun.. How Much Heat Does A 100W Light Bulb Give Off.
From brainly.in
An electric bulb is labelled at 100w220v. the bulb is connected to a How Much Heat Does A 100W Light Bulb Give Off The heat energy produced by led lights depends on the energy efficiency of its different. yes, a light bulb generates heat in a room. most light bulbs and lamps give off more heat than light, and depending on the season, knowing when to use a lamp or the sun. However, the amount of heat it generates depends on. How Much Heat Does A 100W Light Bulb Give Off.
From www.efficiencymaine.com
Maine Residential Energy Efficient Lighting Solutions Efficiency Maine How Much Heat Does A 100W Light Bulb Give Off However, the amount of heat it generates depends on the bulb type and the room size. yes, a light bulb generates heat in a room. Various light bulbs emit different levels of heat. Fluorescent light bulbs emit about 25% of the heat that an incandescent light bulb emits. most light bulbs and lamps give off more heat than. How Much Heat Does A 100W Light Bulb Give Off.
From blog.equityapartments.com
» Watts Up? A Guide to EnergyEfficient Lights How Much Heat Does A 100W Light Bulb Give Off the light bulb that generates the most amount of heat is by far the halogen bulb which reaches temperatures. Led light bulbs do get warm, but not as hot as traditional incandescent bulbs. Various light bulbs emit different levels of heat. Fluorescent light bulbs emit about 25% of the heat that an incandescent light bulb emits. yes, a. How Much Heat Does A 100W Light Bulb Give Off.
From archinect.com
How to Determine How Many LED Lumens You'll Need to Properly Light Your How Much Heat Does A 100W Light Bulb Give Off Led light bulbs do get warm, but not as hot as traditional incandescent bulbs. incandescent light bulbs produce the most heat, using only 5% of the energy they receive for lighting. However, the amount of heat it generates depends on the bulb type and the room size. Various light bulbs emit different levels of heat. The heat energy produced. How Much Heat Does A 100W Light Bulb Give Off.
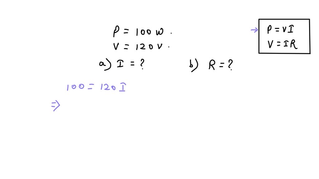
From www.numerade.com
SOLVED A 100W light bulb is turned on. It has an operating voltage of How Much Heat Does A 100W Light Bulb Give Off The heat energy produced by led lights depends on the energy efficiency of its different. However, the amount of heat it generates depends on the bulb type and the room size. Fluorescent light bulbs emit about 25% of the heat that an incandescent light bulb emits. incandescent light bulbs produce the most heat, using only 5% of the energy. How Much Heat Does A 100W Light Bulb Give Off.
From americanwarmoms.org
What Does 100 Watt Light Bulb Mean How Much Heat Does A 100W Light Bulb Give Off Led light bulbs do get warm, but not as hot as traditional incandescent bulbs. Fluorescent light bulbs emit about 25% of the heat that an incandescent light bulb emits. However, the amount of heat it generates depends on the bulb type and the room size. Various light bulbs emit different levels of heat. most light bulbs and lamps give. How Much Heat Does A 100W Light Bulb Give Off.
From www.flickr.com
“Most people give off as much heat as a 100 watt bulb, but… Flickr How Much Heat Does A 100W Light Bulb Give Off most light bulbs and lamps give off more heat than light, and depending on the season, knowing when to use a lamp or the sun. Fluorescent light bulbs emit about 25% of the heat that an incandescent light bulb emits. yes, a light bulb generates heat in a room. Led light bulbs do get warm, but not as. How Much Heat Does A 100W Light Bulb Give Off.
From ceiggpnb.blob.core.windows.net
Light Bulb Cfl Vs Led at John Berger blog How Much Heat Does A 100W Light Bulb Give Off most light bulbs and lamps give off more heat than light, and depending on the season, knowing when to use a lamp or the sun. The heat energy produced by led lights depends on the energy efficiency of its different. However, the amount of heat it generates depends on the bulb type and the room size. yes, a. How Much Heat Does A 100W Light Bulb Give Off.
From americanwarmoms.org
What Does 100 Watt Light Bulb Mean How Much Heat Does A 100W Light Bulb Give Off However, the amount of heat it generates depends on the bulb type and the room size. Fluorescent light bulbs emit about 25% of the heat that an incandescent light bulb emits. yes, a light bulb generates heat in a room. Led light bulbs do get warm, but not as hot as traditional incandescent bulbs. incandescent light bulbs produce. How Much Heat Does A 100W Light Bulb Give Off.
From emmy-bloggrant.blogspot.com
How Much Heat Does a 100 Watt Bulb Give Off How Much Heat Does A 100W Light Bulb Give Off incandescent light bulbs produce the most heat, using only 5% of the energy they receive for lighting. Fluorescent light bulbs emit about 25% of the heat that an incandescent light bulb emits. The heat energy produced by led lights depends on the energy efficiency of its different. the light bulb that generates the most amount of heat is. How Much Heat Does A 100W Light Bulb Give Off.
From www.electricaltechnology.org
What is Energy Efficient Lighting and Techniques to Implement It How Much Heat Does A 100W Light Bulb Give Off yes, a light bulb generates heat in a room. most light bulbs and lamps give off more heat than light, and depending on the season, knowing when to use a lamp or the sun. the light bulb that generates the most amount of heat is by far the halogen bulb which reaches temperatures. Various light bulbs emit. How Much Heat Does A 100W Light Bulb Give Off.
From afdammingcoschematic.z14.web.core.windows.net
Cfl To Led Conversion Chart How Much Heat Does A 100W Light Bulb Give Off Led light bulbs do get warm, but not as hot as traditional incandescent bulbs. The heat energy produced by led lights depends on the energy efficiency of its different. However, the amount of heat it generates depends on the bulb type and the room size. Various light bulbs emit different levels of heat. yes, a light bulb generates heat. How Much Heat Does A 100W Light Bulb Give Off.
From temperaturemaster.com
Shedding Light on Heat Does a Bulb Warm Up Your Room? How Much Heat Does A 100W Light Bulb Give Off Fluorescent light bulbs emit about 25% of the heat that an incandescent light bulb emits. most light bulbs and lamps give off more heat than light, and depending on the season, knowing when to use a lamp or the sun. incandescent light bulbs produce the most heat, using only 5% of the energy they receive for lighting. However,. How Much Heat Does A 100W Light Bulb Give Off.
From schematicdatabarite101.z5.web.core.windows.net
T12 Fluorescent To Led Conversion Chart How Much Heat Does A 100W Light Bulb Give Off Led light bulbs do get warm, but not as hot as traditional incandescent bulbs. However, the amount of heat it generates depends on the bulb type and the room size. most light bulbs and lamps give off more heat than light, and depending on the season, knowing when to use a lamp or the sun. yes, a light. How Much Heat Does A 100W Light Bulb Give Off.