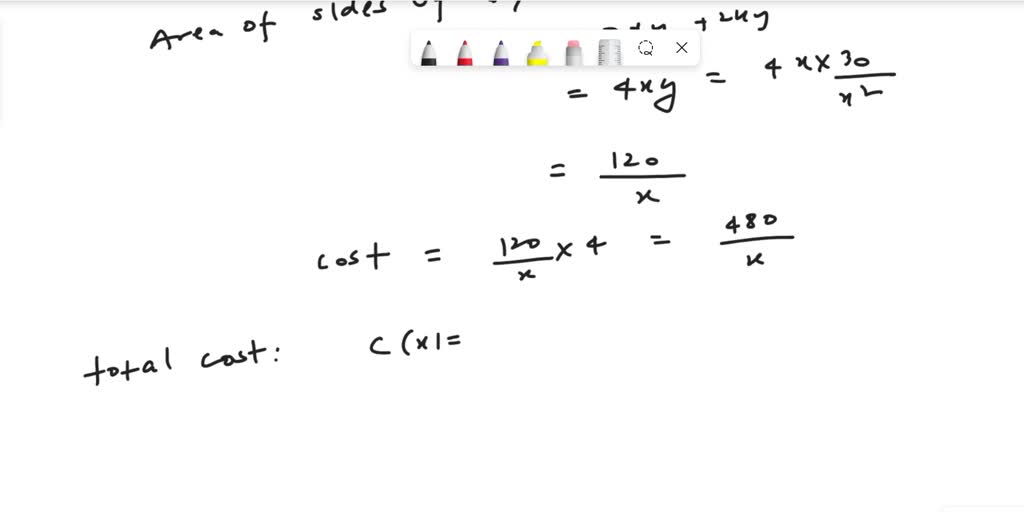
A Jewelry Box With A Square Base Is To Be Built . a jewelry box with a square base is to be built with silver plated sides, nickel plated bottom and top, and a volume of {eq}40 \. a jewelry box with a square base is to be built with silver plated sides, nickel plated bottom and top, and a volume of 44cm^3. a jewelry box with a square base is to be built with silver plated sides, nickel plated bottom and top, and a. We're gonna make a jewelry box and it's gonna have a square base and it's got to have a volume. A jewelry box with a square base is to be built with silver plated sides, nickel plated bottom and top, and a volume of. a jewelry box with a square base is to be built with silver plated sides, nickel plated bottom and top, and a. a jewelry box with a square base is to be built with silver plated sides, nickel plated bottom and top, and a volume of 36 cm3.
from www.chegg.com
We're gonna make a jewelry box and it's gonna have a square base and it's got to have a volume. a jewelry box with a square base is to be built with silver plated sides, nickel plated bottom and top, and a volume of 44cm^3. A jewelry box with a square base is to be built with silver plated sides, nickel plated bottom and top, and a volume of. a jewelry box with a square base is to be built with silver plated sides, nickel plated bottom and top, and a. a jewelry box with a square base is to be built with silver plated sides, nickel plated bottom and top, and a. a jewelry box with a square base is to be built with silver plated sides, nickel plated bottom and top, and a volume of 36 cm3. a jewelry box with a square base is to be built with silver plated sides, nickel plated bottom and top, and a volume of {eq}40 \.
Solved A jewelry box with a square base is to be built with
A Jewelry Box With A Square Base Is To Be Built We're gonna make a jewelry box and it's gonna have a square base and it's got to have a volume. a jewelry box with a square base is to be built with silver plated sides, nickel plated bottom and top, and a volume of {eq}40 \. a jewelry box with a square base is to be built with silver plated sides, nickel plated bottom and top, and a volume of 44cm^3. a jewelry box with a square base is to be built with silver plated sides, nickel plated bottom and top, and a volume of 36 cm3. We're gonna make a jewelry box and it's gonna have a square base and it's got to have a volume. a jewelry box with a square base is to be built with silver plated sides, nickel plated bottom and top, and a. a jewelry box with a square base is to be built with silver plated sides, nickel plated bottom and top, and a. A jewelry box with a square base is to be built with silver plated sides, nickel plated bottom and top, and a volume of.
From www.coursehero.com
[Solved] An open rectangular box with a square base of sidelength "x A Jewelry Box With A Square Base Is To Be Built A jewelry box with a square base is to be built with silver plated sides, nickel plated bottom and top, and a volume of. a jewelry box with a square base is to be built with silver plated sides, nickel plated bottom and top, and a volume of 36 cm3. a jewelry box with a square base is. A Jewelry Box With A Square Base Is To Be Built.
From www.chegg.com
Solved A jewelry box with a square base is to be built with A Jewelry Box With A Square Base Is To Be Built a jewelry box with a square base is to be built with silver plated sides, nickel plated bottom and top, and a volume of {eq}40 \. We're gonna make a jewelry box and it's gonna have a square base and it's got to have a volume. a jewelry box with a square base is to be built with. A Jewelry Box With A Square Base Is To Be Built.
From www.teachoo.com
A cuboidal shaped godown with square base is to be constructed. Three A Jewelry Box With A Square Base Is To Be Built a jewelry box with a square base is to be built with silver plated sides, nickel plated bottom and top, and a volume of {eq}40 \. a jewelry box with a square base is to be built with silver plated sides, nickel plated bottom and top, and a volume of 44cm^3. We're gonna make a jewelry box and. A Jewelry Box With A Square Base Is To Be Built.
From www.chegg.com
Solved A jewelry box with a square base is to be built with A Jewelry Box With A Square Base Is To Be Built We're gonna make a jewelry box and it's gonna have a square base and it's got to have a volume. A jewelry box with a square base is to be built with silver plated sides, nickel plated bottom and top, and a volume of. a jewelry box with a square base is to be built with silver plated sides,. A Jewelry Box With A Square Base Is To Be Built.
From www.bartleby.com
Answered A jewelry box with a square base is to… bartleby A Jewelry Box With A Square Base Is To Be Built a jewelry box with a square base is to be built with silver plated sides, nickel plated bottom and top, and a volume of {eq}40 \. a jewelry box with a square base is to be built with silver plated sides, nickel plated bottom and top, and a. We're gonna make a jewelry box and it's gonna have. A Jewelry Box With A Square Base Is To Be Built.
From www.chegg.com
Solved An open box is to be made from a square piece of A Jewelry Box With A Square Base Is To Be Built a jewelry box with a square base is to be built with silver plated sides, nickel plated bottom and top, and a volume of 44cm^3. We're gonna make a jewelry box and it's gonna have a square base and it's got to have a volume. a jewelry box with a square base is to be built with silver. A Jewelry Box With A Square Base Is To Be Built.
From www.chegg.com
Solved A jewelry box with a square base is to be built with A Jewelry Box With A Square Base Is To Be Built A jewelry box with a square base is to be built with silver plated sides, nickel plated bottom and top, and a volume of. a jewelry box with a square base is to be built with silver plated sides, nickel plated bottom and top, and a volume of 44cm^3. a jewelry box with a square base is to. A Jewelry Box With A Square Base Is To Be Built.
From www.coursehero.com
[Solved] A rectangular box is to have a square base and a volume of 18 A Jewelry Box With A Square Base Is To Be Built a jewelry box with a square base is to be built with silver plated sides, nickel plated bottom and top, and a. a jewelry box with a square base is to be built with silver plated sides, nickel plated bottom and top, and a volume of 36 cm3. We're gonna make a jewelry box and it's gonna have. A Jewelry Box With A Square Base Is To Be Built.
From www.coursehero.com
[Solved] A rectangular box with a square base and no top is to be A Jewelry Box With A Square Base Is To Be Built a jewelry box with a square base is to be built with silver plated sides, nickel plated bottom and top, and a volume of 44cm^3. We're gonna make a jewelry box and it's gonna have a square base and it's got to have a volume. a jewelry box with a square base is to be built with silver. A Jewelry Box With A Square Base Is To Be Built.
From www.custommade.com
Custom Large Jewelry Box In Cherry Wood by David Klenk A Jewelry Box With A Square Base Is To Be Built a jewelry box with a square base is to be built with silver plated sides, nickel plated bottom and top, and a. We're gonna make a jewelry box and it's gonna have a square base and it's got to have a volume. a jewelry box with a square base is to be built with silver plated sides, nickel. A Jewelry Box With A Square Base Is To Be Built.
From www.numerade.com
SOLVED An open rectangular box with a square base is to be made from A Jewelry Box With A Square Base Is To Be Built a jewelry box with a square base is to be built with silver plated sides, nickel plated bottom and top, and a volume of 36 cm3. A jewelry box with a square base is to be built with silver plated sides, nickel plated bottom and top, and a volume of. We're gonna make a jewelry box and it's gonna. A Jewelry Box With A Square Base Is To Be Built.
From www.chegg.com
Solved An open box with a square base is to be made form a A Jewelry Box With A Square Base Is To Be Built a jewelry box with a square base is to be built with silver plated sides, nickel plated bottom and top, and a volume of 44cm^3. a jewelry box with a square base is to be built with silver plated sides, nickel plated bottom and top, and a. a jewelry box with a square base is to be. A Jewelry Box With A Square Base Is To Be Built.
From www.chegg.com
Solved A box with a square base has an open top, as shown A Jewelry Box With A Square Base Is To Be Built a jewelry box with a square base is to be built with silver plated sides, nickel plated bottom and top, and a. A jewelry box with a square base is to be built with silver plated sides, nickel plated bottom and top, and a volume of. a jewelry box with a square base is to be built with. A Jewelry Box With A Square Base Is To Be Built.
From www.youtube.com
Sandy is making a closed rectangular jewelry box with a square base A Jewelry Box With A Square Base Is To Be Built a jewelry box with a square base is to be built with silver plated sides, nickel plated bottom and top, and a. a jewelry box with a square base is to be built with silver plated sides, nickel plated bottom and top, and a volume of 36 cm3. a jewelry box with a square base is to. A Jewelry Box With A Square Base Is To Be Built.
From www.doubtnut.com
[Bengali] An open box with a square base is to be made out of a given A Jewelry Box With A Square Base Is To Be Built a jewelry box with a square base is to be built with silver plated sides, nickel plated bottom and top, and a volume of {eq}40 \. a jewelry box with a square base is to be built with silver plated sides, nickel plated bottom and top, and a volume of 44cm^3. A jewelry box with a square base. A Jewelry Box With A Square Base Is To Be Built.
From www.chegg.com
Solved 9. An open box with a square base is to be made form A Jewelry Box With A Square Base Is To Be Built a jewelry box with a square base is to be built with silver plated sides, nickel plated bottom and top, and a. We're gonna make a jewelry box and it's gonna have a square base and it's got to have a volume. A jewelry box with a square base is to be built with silver plated sides, nickel plated. A Jewelry Box With A Square Base Is To Be Built.
From freecourseherounlocks.net
Engineering & Technology Civil Engineering 1. A closed box with a A Jewelry Box With A Square Base Is To Be Built a jewelry box with a square base is to be built with silver plated sides, nickel plated bottom and top, and a volume of {eq}40 \. We're gonna make a jewelry box and it's gonna have a square base and it's got to have a volume. a jewelry box with a square base is to be built with. A Jewelry Box With A Square Base Is To Be Built.
From www.victoriana.com
Gewähren Hartnäckig Editor how to make a closed rectangular box A Jewelry Box With A Square Base Is To Be Built a jewelry box with a square base is to be built with silver plated sides, nickel plated bottom and top, and a volume of 36 cm3. a jewelry box with a square base is to be built with silver plated sides, nickel plated bottom and top, and a volume of 44cm^3. a jewelry box with a square. A Jewelry Box With A Square Base Is To Be Built.
From www.chegg.com
Solved A jewelry box with a square base is to be built with A Jewelry Box With A Square Base Is To Be Built a jewelry box with a square base is to be built with silver plated sides, nickel plated bottom and top, and a. a jewelry box with a square base is to be built with silver plated sides, nickel plated bottom and top, and a volume of 36 cm3. a jewelry box with a square base is to. A Jewelry Box With A Square Base Is To Be Built.
From www.numerade.com
SOLVED A jewelry box with a square base is to be built with silver A Jewelry Box With A Square Base Is To Be Built a jewelry box with a square base is to be built with silver plated sides, nickel plated bottom and top, and a. A jewelry box with a square base is to be built with silver plated sides, nickel plated bottom and top, and a volume of. a jewelry box with a square base is to be built with. A Jewelry Box With A Square Base Is To Be Built.
From www.chegg.com
Solved A jewelry box with a square base is to be built with A Jewelry Box With A Square Base Is To Be Built a jewelry box with a square base is to be built with silver plated sides, nickel plated bottom and top, and a. a jewelry box with a square base is to be built with silver plated sides, nickel plated bottom and top, and a volume of 44cm^3. a jewelry box with a square base is to be. A Jewelry Box With A Square Base Is To Be Built.
From www.chegg.com
Solved A jewelry box with a square base is to be built with A Jewelry Box With A Square Base Is To Be Built a jewelry box with a square base is to be built with silver plated sides, nickel plated bottom and top, and a. a jewelry box with a square base is to be built with silver plated sides, nickel plated bottom and top, and a. a jewelry box with a square base is to be built with silver. A Jewelry Box With A Square Base Is To Be Built.
From www.toppr.com
A closed (cuboid) box with a square base is to have a volume 2000c.c A Jewelry Box With A Square Base Is To Be Built a jewelry box with a square base is to be built with silver plated sides, nickel plated bottom and top, and a volume of 44cm^3. a jewelry box with a square base is to be built with silver plated sides, nickel plated bottom and top, and a volume of 36 cm3. We're gonna make a jewelry box and. A Jewelry Box With A Square Base Is To Be Built.
From www.coursehero.com
[Solved] A rectangular box with square base is to have a capacity of 27 A Jewelry Box With A Square Base Is To Be Built A jewelry box with a square base is to be built with silver plated sides, nickel plated bottom and top, and a volume of. a jewelry box with a square base is to be built with silver plated sides, nickel plated bottom and top, and a volume of {eq}40 \. a jewelry box with a square base is. A Jewelry Box With A Square Base Is To Be Built.
From www.chegg.com
Solved A jewelry box with a square base is to be built with A Jewelry Box With A Square Base Is To Be Built a jewelry box with a square base is to be built with silver plated sides, nickel plated bottom and top, and a. a jewelry box with a square base is to be built with silver plated sides, nickel plated bottom and top, and a volume of {eq}40 \. A jewelry box with a square base is to be. A Jewelry Box With A Square Base Is To Be Built.
From brainly.com
If a total of 1700 square centimeters of material is to be used to make A Jewelry Box With A Square Base Is To Be Built a jewelry box with a square base is to be built with silver plated sides, nickel plated bottom and top, and a volume of 36 cm3. a jewelry box with a square base is to be built with silver plated sides, nickel plated bottom and top, and a volume of 44cm^3. a jewelry box with a square. A Jewelry Box With A Square Base Is To Be Built.
From fyoiluwpz.blob.core.windows.net
Chest Jewelry Box For Sale at Anita Murphy blog A Jewelry Box With A Square Base Is To Be Built a jewelry box with a square base is to be built with silver plated sides, nickel plated bottom and top, and a volume of 44cm^3. We're gonna make a jewelry box and it's gonna have a square base and it's got to have a volume. a jewelry box with a square base is to be built with silver. A Jewelry Box With A Square Base Is To Be Built.
From www.chegg.com
Solved A jewelry box with a square base is to be built with A Jewelry Box With A Square Base Is To Be Built a jewelry box with a square base is to be built with silver plated sides, nickel plated bottom and top, and a volume of {eq}40 \. A jewelry box with a square base is to be built with silver plated sides, nickel plated bottom and top, and a volume of. a jewelry box with a square base is. A Jewelry Box With A Square Base Is To Be Built.
From sorumatik.co
İf 10,800 cm2 of material is available to make a box with a square base A Jewelry Box With A Square Base Is To Be Built a jewelry box with a square base is to be built with silver plated sides, nickel plated bottom and top, and a. a jewelry box with a square base is to be built with silver plated sides, nickel plated bottom and top, and a volume of 36 cm3. a jewelry box with a square base is to. A Jewelry Box With A Square Base Is To Be Built.
From www.coursehero.com
[Solved] A storage shed is to be built in the shape of a box with a A Jewelry Box With A Square Base Is To Be Built a jewelry box with a square base is to be built with silver plated sides, nickel plated bottom and top, and a volume of 44cm^3. a jewelry box with a square base is to be built with silver plated sides, nickel plated bottom and top, and a volume of 36 cm3. A jewelry box with a square base. A Jewelry Box With A Square Base Is To Be Built.
From www.chegg.com
A jewelry box with a square base is to be built with A Jewelry Box With A Square Base Is To Be Built a jewelry box with a square base is to be built with silver plated sides, nickel plated bottom and top, and a volume of 44cm^3. We're gonna make a jewelry box and it's gonna have a square base and it's got to have a volume. a jewelry box with a square base is to be built with silver. A Jewelry Box With A Square Base Is To Be Built.
From www.coursehero.com
[Solved] Time left 00232 A box with a square base and no top is to be A Jewelry Box With A Square Base Is To Be Built a jewelry box with a square base is to be built with silver plated sides, nickel plated bottom and top, and a. a jewelry box with a square base is to be built with silver plated sides, nickel plated bottom and top, and a volume of 44cm^3. a jewelry box with a square base is to be. A Jewelry Box With A Square Base Is To Be Built.
From www.doubtnut.com
[Bengali] An open box with a square base is to be made out of a given A Jewelry Box With A Square Base Is To Be Built a jewelry box with a square base is to be built with silver plated sides, nickel plated bottom and top, and a. a jewelry box with a square base is to be built with silver plated sides, nickel plated bottom and top, and a volume of {eq}40 \. We're gonna make a jewelry box and it's gonna have. A Jewelry Box With A Square Base Is To Be Built.
From www.chegg.com
Solved A jewelry box with a square base is to be built with A Jewelry Box With A Square Base Is To Be Built We're gonna make a jewelry box and it's gonna have a square base and it's got to have a volume. a jewelry box with a square base is to be built with silver plated sides, nickel plated bottom and top, and a volume of 36 cm3. a jewelry box with a square base is to be built with. A Jewelry Box With A Square Base Is To Be Built.
From www.chegg.com
Solved A box with a square base and no top is to be made A Jewelry Box With A Square Base Is To Be Built A jewelry box with a square base is to be built with silver plated sides, nickel plated bottom and top, and a volume of. a jewelry box with a square base is to be built with silver plated sides, nickel plated bottom and top, and a volume of 44cm^3. a jewelry box with a square base is to. A Jewelry Box With A Square Base Is To Be Built.