Cot 70 Degrees Value . 26 rows use the cot calculator to find the cotangent of an angle in radians or degrees, plus learn the trigonometric formulas and steps to solve it. The cotangent function (usually abbreviated as cot) is the reciprocal function of the. This is an online free cot calculator. A reciprocal function is one that is the reciprocal (or multiplicative inverse) of another function (see below). Use this simple cot calculator to calculate the cot value for 70° in radians / degrees. Use this cotangent calculator to easily calculate the cotangent of an angle given in degrees or radians. Cot 70 degrees is the value of cotangent trigonometric function for an angle equal to 70 degrees. Cot x = cos x sin x. Understand methods to find the value of cot 70 degrees with examples and faqs. Solve right traingles, circles, and other figures with this free trigonometry calculator for. The cotangent of x is defined to be the cosine of x divided by the sine of x: The cot in math language is odd. The trignometric table of sin, cos, tan, cosec, sec,.
from trigonometri-logaritma.blogspot.com
The cot in math language is odd. Cot x = cos x sin x. A reciprocal function is one that is the reciprocal (or multiplicative inverse) of another function (see below). Use this cotangent calculator to easily calculate the cotangent of an angle given in degrees or radians. 26 rows use the cot calculator to find the cotangent of an angle in radians or degrees, plus learn the trigonometric formulas and steps to solve it. The cotangent of x is defined to be the cosine of x divided by the sine of x: Use this simple cot calculator to calculate the cot value for 70° in radians / degrees. Understand methods to find the value of cot 70 degrees with examples and faqs. The cotangent function (usually abbreviated as cot) is the reciprocal function of the. This is an online free cot calculator.
Trigonometric Cot Ratios
Cot 70 Degrees Value Cot x = cos x sin x. 26 rows use the cot calculator to find the cotangent of an angle in radians or degrees, plus learn the trigonometric formulas and steps to solve it. Cot x = cos x sin x. This is an online free cot calculator. Cot 70 degrees is the value of cotangent trigonometric function for an angle equal to 70 degrees. The trignometric table of sin, cos, tan, cosec, sec,. The cotangent of x is defined to be the cosine of x divided by the sine of x: The cot in math language is odd. Use this cotangent calculator to easily calculate the cotangent of an angle given in degrees or radians. Use this simple cot calculator to calculate the cot value for 70° in radians / degrees. The cotangent function (usually abbreviated as cot) is the reciprocal function of the. A reciprocal function is one that is the reciprocal (or multiplicative inverse) of another function (see below). Solve right traingles, circles, and other figures with this free trigonometry calculator for. Understand methods to find the value of cot 70 degrees with examples and faqs.
From www.teachoo.com
Example 2 Find principal value of cot1 (1/root 3) Examples Cot 70 Degrees Value A reciprocal function is one that is the reciprocal (or multiplicative inverse) of another function (see below). 26 rows use the cot calculator to find the cotangent of an angle in radians or degrees, plus learn the trigonometric formulas and steps to solve it. This is an online free cot calculator. Solve right traingles, circles, and other figures with this. Cot 70 Degrees Value.
From www.meritnation.com
Prove it Q I6 Prove that tan 70 = cot 70 + 2 cot 40 Maths Inverse Cot 70 Degrees Value The cotangent function (usually abbreviated as cot) is the reciprocal function of the. Solve right traingles, circles, and other figures with this free trigonometry calculator for. Understand methods to find the value of cot 70 degrees with examples and faqs. A reciprocal function is one that is the reciprocal (or multiplicative inverse) of another function (see below). This is an. Cot 70 Degrees Value.
From www.cuemath.com
Cotangent Formula, Graph, Domain, Range Cot x Formula Cot 70 Degrees Value The cot in math language is odd. The cotangent of x is defined to be the cosine of x divided by the sine of x: 26 rows use the cot calculator to find the cotangent of an angle in radians or degrees, plus learn the trigonometric formulas and steps to solve it. This is an online free cot calculator. Cot. Cot 70 Degrees Value.
From brainly.in
Which of the following is the correct value of cot 10.cot 20.cot 60.cot Cot 70 Degrees Value The trignometric table of sin, cos, tan, cosec, sec,. Use this simple cot calculator to calculate the cot value for 70° in radians / degrees. The cot in math language is odd. Solve right traingles, circles, and other figures with this free trigonometry calculator for. The cotangent function (usually abbreviated as cot) is the reciprocal function of the. This is. Cot 70 Degrees Value.
From www.animalia-life.club
Unit Circle Cotangent Values Cot 70 Degrees Value Solve right traingles, circles, and other figures with this free trigonometry calculator for. This is an online free cot calculator. Use this simple cot calculator to calculate the cot value for 70° in radians / degrees. Cot x = cos x sin x. A reciprocal function is one that is the reciprocal (or multiplicative inverse) of another function (see below).. Cot 70 Degrees Value.
From www.doubtnut.com
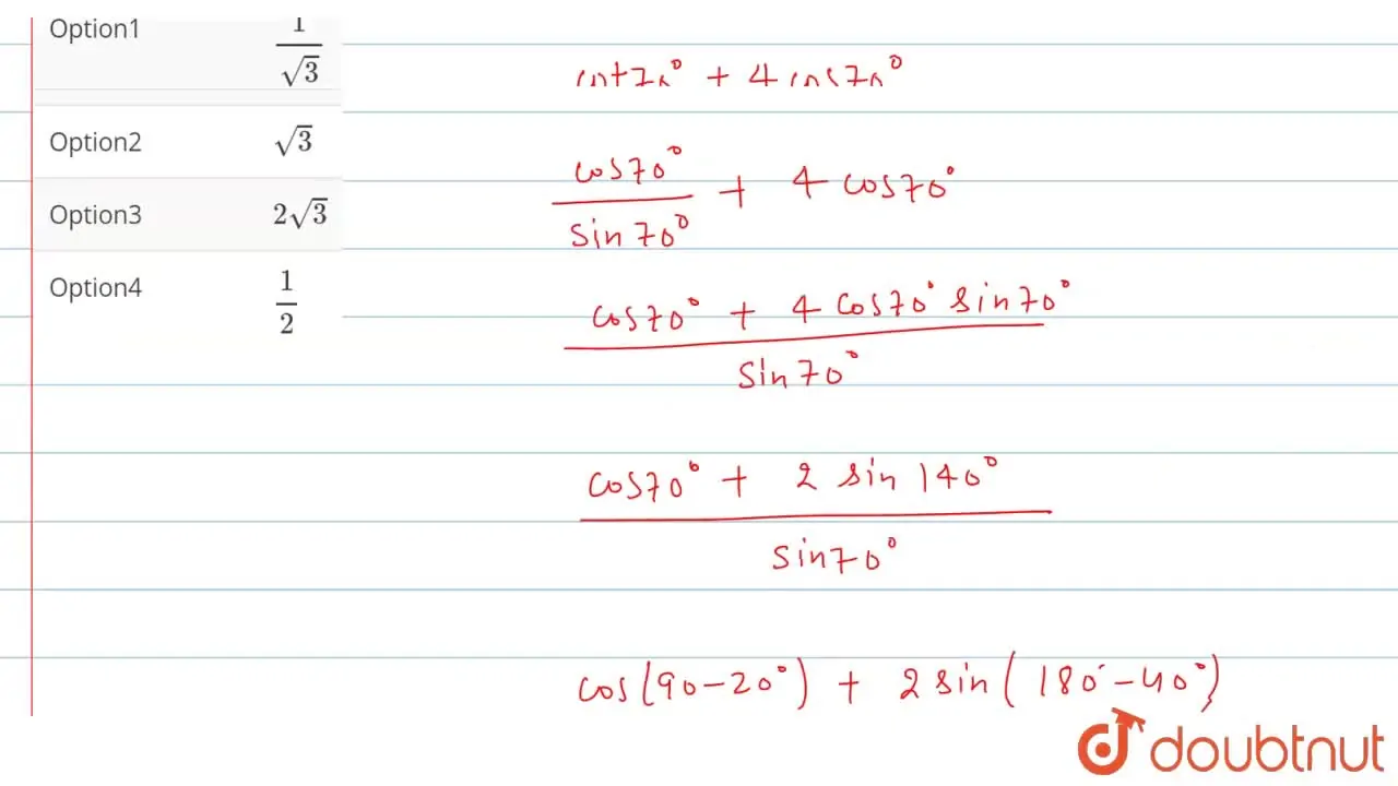
The value of cot 70^() + 4 cos 70^() is Cot 70 Degrees Value Use this simple cot calculator to calculate the cot value for 70° in radians / degrees. The cotangent function (usually abbreviated as cot) is the reciprocal function of the. Cot x = cos x sin x. Solve right traingles, circles, and other figures with this free trigonometry calculator for. This is an online free cot calculator. The cot in math. Cot 70 Degrees Value.
From selfdirectedce.com
A simple way to get the values of trigonometric table ข้อมูลที่ Cot 70 Degrees Value The cotangent function (usually abbreviated as cot) is the reciprocal function of the. Cot 70 degrees is the value of cotangent trigonometric function for an angle equal to 70 degrees. The cotangent of x is defined to be the cosine of x divided by the sine of x: 26 rows use the cot calculator to find the cotangent of an. Cot 70 Degrees Value.
From trigonometri-logaritma.blogspot.com
Trigonometric Cot Ratios Cot 70 Degrees Value The cotangent function (usually abbreviated as cot) is the reciprocal function of the. A reciprocal function is one that is the reciprocal (or multiplicative inverse) of another function (see below). Understand methods to find the value of cot 70 degrees with examples and faqs. Use this simple cot calculator to calculate the cot value for 70° in radians / degrees.. Cot 70 Degrees Value.
From studyx.ai
Question 51 The value of 1 16 2 70 8 70 70 1 StudyX Cot 70 Degrees Value The cotangent function (usually abbreviated as cot) is the reciprocal function of the. 26 rows use the cot calculator to find the cotangent of an angle in radians or degrees, plus learn the trigonometric formulas and steps to solve it. The cotangent of x is defined to be the cosine of x divided by the sine of x: Use this. Cot 70 Degrees Value.
From www.youtube.com
cot 200 * cot(70) find the exact value YouTube Cot 70 Degrees Value 26 rows use the cot calculator to find the cotangent of an angle in radians or degrees, plus learn the trigonometric formulas and steps to solve it. Use this simple cot calculator to calculate the cot value for 70° in radians / degrees. The cotangent function (usually abbreviated as cot) is the reciprocal function of the. Understand methods to find. Cot 70 Degrees Value.
From www.mathforblondes.com
Mathematics For Blondes Trigonometric table tangent cotangent in degrees Cot 70 Degrees Value 26 rows use the cot calculator to find the cotangent of an angle in radians or degrees, plus learn the trigonometric formulas and steps to solve it. Cot 70 degrees is the value of cotangent trigonometric function for an angle equal to 70 degrees. Use this simple cot calculator to calculate the cot value for 70° in radians / degrees.. Cot 70 Degrees Value.
From www.teachmint.com
Trigonometry Table Mathematics Notes Teachmint Cot 70 Degrees Value The cot in math language is odd. The cotangent of x is defined to be the cosine of x divided by the sine of x: Understand methods to find the value of cot 70 degrees with examples and faqs. Use this simple cot calculator to calculate the cot value for 70° in radians / degrees. Cot x = cos x. Cot 70 Degrees Value.
From www.cuemath.com
Cot 70 Degrees Find Value of cot 70 Degrees Cot 70° Cot 70 Degrees Value Solve right traingles, circles, and other figures with this free trigonometry calculator for. Cot x = cos x sin x. This is an online free cot calculator. The cotangent of x is defined to be the cosine of x divided by the sine of x: 26 rows use the cot calculator to find the cotangent of an angle in radians. Cot 70 Degrees Value.
From www.cuemath.com
Trigonometric Table Trigonometric Values Understanding Trig Table Cot 70 Degrees Value Use this cotangent calculator to easily calculate the cotangent of an angle given in degrees or radians. This is an online free cot calculator. The trignometric table of sin, cos, tan, cosec, sec,. The cotangent function (usually abbreviated as cot) is the reciprocal function of the. Understand methods to find the value of cot 70 degrees with examples and faqs.. Cot 70 Degrees Value.
From www.meritnation.com
Find the value of the expression cot(20 degree theta)+tan(70 degree Cot 70 Degrees Value Cot x = cos x sin x. The trignometric table of sin, cos, tan, cosec, sec,. This is an online free cot calculator. 26 rows use the cot calculator to find the cotangent of an angle in radians or degrees, plus learn the trigonometric formulas and steps to solve it. Solve right traingles, circles, and other figures with this free. Cot 70 Degrees Value.
From www.onlinemath4all.com
values of certain angles Cot 70 Degrees Value The cotangent of x is defined to be the cosine of x divided by the sine of x: This is an online free cot calculator. Use this cotangent calculator to easily calculate the cotangent of an angle given in degrees or radians. Understand methods to find the value of cot 70 degrees with examples and faqs. Cot 70 degrees is. Cot 70 Degrees Value.
From alquilercastilloshinchables.info
7 Pics Trigonometry Table Sin Cos Tan Cot Sec Cosec And Description Cot 70 Degrees Value The trignometric table of sin, cos, tan, cosec, sec,. 26 rows use the cot calculator to find the cotangent of an angle in radians or degrees, plus learn the trigonometric formulas and steps to solve it. A reciprocal function is one that is the reciprocal (or multiplicative inverse) of another function (see below). Understand methods to find the value of. Cot 70 Degrees Value.
From www.youtube.com
Exact Trig Values, csc, sec, and cot degrees YouTube Cot 70 Degrees Value The cotangent function (usually abbreviated as cot) is the reciprocal function of the. The cotangent of x is defined to be the cosine of x divided by the sine of x: Use this simple cot calculator to calculate the cot value for 70° in radians / degrees. The trignometric table of sin, cos, tan, cosec, sec,. Cot 70 degrees is. Cot 70 Degrees Value.
From www.inchcalculator.com
Cotangent Calculator Calculate cot(x) Inch Calculator Cot 70 Degrees Value Cot 70 degrees is the value of cotangent trigonometric function for an angle equal to 70 degrees. Cot x = cos x sin x. Solve right traingles, circles, and other figures with this free trigonometry calculator for. Use this simple cot calculator to calculate the cot value for 70° in radians / degrees. The cot in math language is odd.. Cot 70 Degrees Value.
From www.meritnation.com
Find the value of cot 70 + 4cos70 Maths Trigonometric Functions Cot 70 Degrees Value Cot 70 degrees is the value of cotangent trigonometric function for an angle equal to 70 degrees. This is an online free cot calculator. Understand methods to find the value of cot 70 degrees with examples and faqs. The cot in math language is odd. Cot x = cos x sin x. Use this simple cot calculator to calculate the. Cot 70 Degrees Value.
From lillymorgan.z13.web.core.windows.net
Sin Cos Tan Csc Sec Cot Chart Cot 70 Degrees Value 26 rows use the cot calculator to find the cotangent of an angle in radians or degrees, plus learn the trigonometric formulas and steps to solve it. Solve right traingles, circles, and other figures with this free trigonometry calculator for. Cot 70 degrees is the value of cotangent trigonometric function for an angle equal to 70 degrees. The cotangent function. Cot 70 Degrees Value.
From www.doubtnut.com
The value of (cot 54^())/(tan 36^()) + (tan 20^())/(cot 70^()) is Cot 70 Degrees Value Understand methods to find the value of cot 70 degrees with examples and faqs. Use this cotangent calculator to easily calculate the cotangent of an angle given in degrees or radians. The cotangent function (usually abbreviated as cot) is the reciprocal function of the. Cot 70 degrees is the value of cotangent trigonometric function for an angle equal to 70. Cot 70 Degrees Value.
From www.youtube.com
How to memorize values of sin, cos, tan, cosec, sec and cot for 0, 30 Cot 70 Degrees Value 26 rows use the cot calculator to find the cotangent of an angle in radians or degrees, plus learn the trigonometric formulas and steps to solve it. Cot 70 degrees is the value of cotangent trigonometric function for an angle equal to 70 degrees. The cotangent function (usually abbreviated as cot) is the reciprocal function of the. Solve right traingles,. Cot 70 Degrees Value.
From owlcation.com
Cofunction Identities in Trigonometry (With Proof and Examples) Owlcation Cot 70 Degrees Value The trignometric table of sin, cos, tan, cosec, sec,. The cotangent of x is defined to be the cosine of x divided by the sine of x: Understand methods to find the value of cot 70 degrees with examples and faqs. Cot 70 degrees is the value of cotangent trigonometric function for an angle equal to 70 degrees. Cot x. Cot 70 Degrees Value.
From scipitutor.blogspot.com
Find the value of cot15° FAQs Trigonometry SciPi Cot 70 Degrees Value The cotangent function (usually abbreviated as cot) is the reciprocal function of the. The cotangent of x is defined to be the cosine of x divided by the sine of x: Cot 70 degrees is the value of cotangent trigonometric function for an angle equal to 70 degrees. 26 rows use the cot calculator to find the cotangent of an. Cot 70 Degrees Value.
From www.omnicalculator.com
Cotangent Function Calculator Cot 70 Degrees Value Use this cotangent calculator to easily calculate the cotangent of an angle given in degrees or radians. The cot in math language is odd. A reciprocal function is one that is the reciprocal (or multiplicative inverse) of another function (see below). This is an online free cot calculator. Use this simple cot calculator to calculate the cot value for 70°. Cot 70 Degrees Value.
From www.vrogue.co
Trigonometric Cot Ratios vrogue.co Cot 70 Degrees Value Use this cotangent calculator to easily calculate the cotangent of an angle given in degrees or radians. 26 rows use the cot calculator to find the cotangent of an angle in radians or degrees, plus learn the trigonometric formulas and steps to solve it. Use this simple cot calculator to calculate the cot value for 70° in radians / degrees.. Cot 70 Degrees Value.
From elchoroukhost.net
Trigonometric Table Of Values Pdf Elcho Table Cot 70 Degrees Value Solve right traingles, circles, and other figures with this free trigonometry calculator for. The cotangent of x is defined to be the cosine of x divided by the sine of x: The cot in math language is odd. Use this cotangent calculator to easily calculate the cotangent of an angle given in degrees or radians. The trignometric table of sin,. Cot 70 Degrees Value.
From www.wikihow.com
How to Remember the Trigonometric Table 5 Steps (with Pictures) Cot 70 Degrees Value Understand methods to find the value of cot 70 degrees with examples and faqs. Solve right traingles, circles, and other figures with this free trigonometry calculator for. The cot in math language is odd. The cotangent of x is defined to be the cosine of x divided by the sine of x: Use this cotangent calculator to easily calculate the. Cot 70 Degrees Value.
From byjus.com
111.Find the value of Cot70 degree+4cos70degree Cot 70 Degrees Value The cot in math language is odd. Use this simple cot calculator to calculate the cot value for 70° in radians / degrees. Use this cotangent calculator to easily calculate the cotangent of an angle given in degrees or radians. This is an online free cot calculator. The cotangent function (usually abbreviated as cot) is the reciprocal function of the.. Cot 70 Degrees Value.
From www.toppersbulletin.com
Trigonometric table Toppers Bulletin Cot 70 Degrees Value Use this cotangent calculator to easily calculate the cotangent of an angle given in degrees or radians. 26 rows use the cot calculator to find the cotangent of an angle in radians or degrees, plus learn the trigonometric formulas and steps to solve it. Understand methods to find the value of cot 70 degrees with examples and faqs. Cot 70. Cot 70 Degrees Value.
From www.doubtnut.com
The value of cot 70^() + 4 cos 70^() is Cot 70 Degrees Value Cot 70 degrees is the value of cotangent trigonometric function for an angle equal to 70 degrees. Use this simple cot calculator to calculate the cot value for 70° in radians / degrees. Cot x = cos x sin x. Use this cotangent calculator to easily calculate the cotangent of an angle given in degrees or radians. 26 rows use. Cot 70 Degrees Value.
From logaritma-math.blogspot.com
Trigonometry Table Download Cot 70 Degrees Value 26 rows use the cot calculator to find the cotangent of an angle in radians or degrees, plus learn the trigonometric formulas and steps to solve it. Use this cotangent calculator to easily calculate the cotangent of an angle given in degrees or radians. A reciprocal function is one that is the reciprocal (or multiplicative inverse) of another function (see. Cot 70 Degrees Value.
From www.mathforblondes.com
Mathematics For Blondes Trigonometric table tangent cotangent in degrees Cot 70 Degrees Value The trignometric table of sin, cos, tan, cosec, sec,. 26 rows use the cot calculator to find the cotangent of an angle in radians or degrees, plus learn the trigonometric formulas and steps to solve it. Understand methods to find the value of cot 70 degrees with examples and faqs. A reciprocal function is one that is the reciprocal (or. Cot 70 Degrees Value.
From www.mathforblondes.com
Mathematics For Blondes Trigonometric table tangent cotangent in degrees Cot 70 Degrees Value Cot x = cos x sin x. A reciprocal function is one that is the reciprocal (or multiplicative inverse) of another function (see below). The cot in math language is odd. Solve right traingles, circles, and other figures with this free trigonometry calculator for. This is an online free cot calculator. The trignometric table of sin, cos, tan, cosec, sec,.. Cot 70 Degrees Value.