Three Lead Fishing Weights Each With A Mass Of . For this question, we have three lead fishing weights on one of these lead fishing rates, with a mass let and that's 100 grams on. Three metal fishing weights, each with a mass of 1.00* 10^2g and at a temperature of 100.0°c , are placed in 1.00* 10^2g of water at 35.0°c. Three lead fishing weights, each with a mass of 1.00x10^2 g and at a temperature of 100.0â°c, are placed in 2.00x10^2 g of water at 35.0â°c. Three metal fishing weights, each with a mass of 1.00x102 g and at a temperature of 100.0°c, are placed in 1.00x102 g of water at 35.0°c. The final temperature of the mixture is 45.0°c. Three metal fishing weights, each with a mass of 1.00x10^7 g and at a temperature of 100.0°c, are placed in 1.00x10^2 g of water at. Three lead fishing weights, each with a mass of 100 g and at a temperature of 100 c, are placed in a 100 g of water at 35.0 c.
from barbaraiweins.com
Three lead fishing weights, each with a mass of 1.00x10^2 g and at a temperature of 100.0â°c, are placed in 2.00x10^2 g of water at 35.0â°c. Three metal fishing weights, each with a mass of 1.00x102 g and at a temperature of 100.0°c, are placed in 1.00x102 g of water at 35.0°c. Three metal fishing weights, each with a mass of 1.00x10^7 g and at a temperature of 100.0°c, are placed in 1.00x10^2 g of water at. Three metal fishing weights, each with a mass of 1.00* 10^2g and at a temperature of 100.0°c , are placed in 1.00* 10^2g of water at 35.0°c. For this question, we have three lead fishing weights on one of these lead fishing rates, with a mass let and that's 100 grams on. Three lead fishing weights, each with a mass of 100 g and at a temperature of 100 c, are placed in a 100 g of water at 35.0 c. The final temperature of the mixture is 45.0°c.
What You Should Know About Fishing Weights
Three Lead Fishing Weights Each With A Mass Of Three metal fishing weights, each with a mass of 1.00x102 g and at a temperature of 100.0°c, are placed in 1.00x102 g of water at 35.0°c. For this question, we have three lead fishing weights on one of these lead fishing rates, with a mass let and that's 100 grams on. Three metal fishing weights, each with a mass of 1.00x102 g and at a temperature of 100.0°c, are placed in 1.00x102 g of water at 35.0°c. The final temperature of the mixture is 45.0°c. Three lead fishing weights, each with a mass of 100 g and at a temperature of 100 c, are placed in a 100 g of water at 35.0 c. Three metal fishing weights, each with a mass of 1.00* 10^2g and at a temperature of 100.0°c , are placed in 1.00* 10^2g of water at 35.0°c. Three metal fishing weights, each with a mass of 1.00x10^7 g and at a temperature of 100.0°c, are placed in 1.00x10^2 g of water at. Three lead fishing weights, each with a mass of 1.00x10^2 g and at a temperature of 100.0â°c, are placed in 2.00x10^2 g of water at 35.0â°c.
From www.ubuy.co.in
Buy Amersumer 20 Pcs Raindrop Fishing Weights, Lead Fishing Sinkers Three Lead Fishing Weights Each With A Mass Of Three lead fishing weights, each with a mass of 100 g and at a temperature of 100 c, are placed in a 100 g of water at 35.0 c. Three metal fishing weights, each with a mass of 1.00x10^7 g and at a temperature of 100.0°c, are placed in 1.00x10^2 g of water at. For this question, we have three. Three Lead Fishing Weights Each With A Mass Of.
From tacklevillage.com
The 10 Types of Fishing Weights How and When to Use Them Three Lead Fishing Weights Each With A Mass Of Three lead fishing weights, each with a mass of 1.00x10^2 g and at a temperature of 100.0â°c, are placed in 2.00x10^2 g of water at 35.0â°c. For this question, we have three lead fishing weights on one of these lead fishing rates, with a mass let and that's 100 grams on. Three metal fishing weights, each with a mass of. Three Lead Fishing Weights Each With A Mass Of.
From www.fisheriessupply.com
Round Lead Weights Fishing Anchor/Rode Sentinel Lead Weights Three Lead Fishing Weights Each With A Mass Of Three metal fishing weights, each with a mass of 1.00x102 g and at a temperature of 100.0°c, are placed in 1.00x102 g of water at 35.0°c. Three lead fishing weights, each with a mass of 1.00x10^2 g and at a temperature of 100.0â°c, are placed in 2.00x10^2 g of water at 35.0â°c. The final temperature of the mixture is 45.0°c.. Three Lead Fishing Weights Each With A Mass Of.
From www.amazon.com
KUBOER Fishing Weights Sinkers, 30 Pack Bullet Fishing Three Lead Fishing Weights Each With A Mass Of Three metal fishing weights, each with a mass of 1.00* 10^2g and at a temperature of 100.0°c , are placed in 1.00* 10^2g of water at 35.0°c. Three lead fishing weights, each with a mass of 1.00x10^2 g and at a temperature of 100.0â°c, are placed in 2.00x10^2 g of water at 35.0â°c. The final temperature of the mixture is. Three Lead Fishing Weights Each With A Mass Of.
From www.youtube.com
Making Lead Fishing Weights YouTube Three Lead Fishing Weights Each With A Mass Of For this question, we have three lead fishing weights on one of these lead fishing rates, with a mass let and that's 100 grams on. Three metal fishing weights, each with a mass of 1.00x102 g and at a temperature of 100.0°c, are placed in 1.00x102 g of water at 35.0°c. Three lead fishing weights, each with a mass of. Three Lead Fishing Weights Each With A Mass Of.
From exojcetvn.blob.core.windows.net
Lead Weights In Fishing Competition at Patrick Rogers blog Three Lead Fishing Weights Each With A Mass Of Three lead fishing weights, each with a mass of 100 g and at a temperature of 100 c, are placed in a 100 g of water at 35.0 c. Three metal fishing weights, each with a mass of 1.00x10^7 g and at a temperature of 100.0°c, are placed in 1.00x10^2 g of water at. The final temperature of the mixture. Three Lead Fishing Weights Each With A Mass Of.
From usangler.com
Types of Fishing Sinkers Everything You Need to Know USAngler Three Lead Fishing Weights Each With A Mass Of Three metal fishing weights, each with a mass of 1.00x102 g and at a temperature of 100.0°c, are placed in 1.00x102 g of water at 35.0°c. Three metal fishing weights, each with a mass of 1.00x10^7 g and at a temperature of 100.0°c, are placed in 1.00x10^2 g of water at. Three lead fishing weights, each with a mass of. Three Lead Fishing Weights Each With A Mass Of.
From barbaraiweins.com
What You Should Know About Fishing Weights Three Lead Fishing Weights Each With A Mass Of Three metal fishing weights, each with a mass of 1.00* 10^2g and at a temperature of 100.0°c , are placed in 1.00* 10^2g of water at 35.0°c. Three lead fishing weights, each with a mass of 1.00x10^2 g and at a temperature of 100.0â°c, are placed in 2.00x10^2 g of water at 35.0â°c. Three metal fishing weights, each with a. Three Lead Fishing Weights Each With A Mass Of.
From www.youtube.com
Making Lead Fishing Weights YouTube Three Lead Fishing Weights Each With A Mass Of For this question, we have three lead fishing weights on one of these lead fishing rates, with a mass let and that's 100 grams on. Three metal fishing weights, each with a mass of 1.00* 10^2g and at a temperature of 100.0°c , are placed in 1.00* 10^2g of water at 35.0°c. The final temperature of the mixture is 45.0°c.. Three Lead Fishing Weights Each With A Mass Of.
From exojcetvn.blob.core.windows.net
Lead Weights In Fishing Competition at Patrick Rogers blog Three Lead Fishing Weights Each With A Mass Of For this question, we have three lead fishing weights on one of these lead fishing rates, with a mass let and that's 100 grams on. Three lead fishing weights, each with a mass of 100 g and at a temperature of 100 c, are placed in a 100 g of water at 35.0 c. Three metal fishing weights, each with. Three Lead Fishing Weights Each With A Mass Of.
From hafunfishing.com
The Best 12 Oz Lead Fishing Weights for a Successful Fishing Trip Three Lead Fishing Weights Each With A Mass Of Three metal fishing weights, each with a mass of 1.00x10^7 g and at a temperature of 100.0°c, are placed in 1.00x10^2 g of water at. Three lead fishing weights, each with a mass of 1.00x10^2 g and at a temperature of 100.0â°c, are placed in 2.00x10^2 g of water at 35.0â°c. Three metal fishing weights, each with a mass of. Three Lead Fishing Weights Each With A Mass Of.
From www.floridasportsman.com
10 Types Of Fishing Weights You Need To Know Florida Sportsman Three Lead Fishing Weights Each With A Mass Of Three lead fishing weights, each with a mass of 100 g and at a temperature of 100 c, are placed in a 100 g of water at 35.0 c. Three lead fishing weights, each with a mass of 1.00x10^2 g and at a temperature of 100.0â°c, are placed in 2.00x10^2 g of water at 35.0â°c. Three metal fishing weights, each. Three Lead Fishing Weights Each With A Mass Of.
From www.trails.com
How to Tie Fishing Weights Three Lead Fishing Weights Each With A Mass Of Three lead fishing weights, each with a mass of 100 g and at a temperature of 100 c, are placed in a 100 g of water at 35.0 c. Three metal fishing weights, each with a mass of 1.00x102 g and at a temperature of 100.0°c, are placed in 1.00x102 g of water at 35.0°c. For this question, we have. Three Lead Fishing Weights Each With A Mass Of.
From www.floridasportsman.com
10 Types Of Fishing Weights You Need To Know Florida Sportsman Three Lead Fishing Weights Each With A Mass Of For this question, we have three lead fishing weights on one of these lead fishing rates, with a mass let and that's 100 grams on. The final temperature of the mixture is 45.0°c. Three lead fishing weights, each with a mass of 1.00x10^2 g and at a temperature of 100.0â°c, are placed in 2.00x10^2 g of water at 35.0â°c. Three. Three Lead Fishing Weights Each With A Mass Of.
From www.dbanglingsupplies.co.uk
Sea Fishing Lead weights by DB Angling Supplies DB Angling Supplies Three Lead Fishing Weights Each With A Mass Of Three metal fishing weights, each with a mass of 1.00x102 g and at a temperature of 100.0°c, are placed in 1.00x102 g of water at 35.0°c. Three metal fishing weights, each with a mass of 1.00x10^7 g and at a temperature of 100.0°c, are placed in 1.00x10^2 g of water at. Three metal fishing weights, each with a mass of. Three Lead Fishing Weights Each With A Mass Of.
From www.aliexpress.com
Store Home Products Feedback Three Lead Fishing Weights Each With A Mass Of Three metal fishing weights, each with a mass of 1.00* 10^2g and at a temperature of 100.0°c , are placed in 1.00* 10^2g of water at 35.0°c. Three metal fishing weights, each with a mass of 1.00x102 g and at a temperature of 100.0°c, are placed in 1.00x102 g of water at 35.0°c. Three lead fishing weights, each with a. Three Lead Fishing Weights Each With A Mass Of.
From www.dbanglingsupplies.co.uk
Sea Fishing Lead weights by DB Angling Supplies DB Angling Supplies Three Lead Fishing Weights Each With A Mass Of Three lead fishing weights, each with a mass of 100 g and at a temperature of 100 c, are placed in a 100 g of water at 35.0 c. Three metal fishing weights, each with a mass of 1.00* 10^2g and at a temperature of 100.0°c , are placed in 1.00* 10^2g of water at 35.0°c. Three metal fishing weights,. Three Lead Fishing Weights Each With A Mass Of.
From www.bartleby.com
Answered 84. A lead fishing weight with a mass… bartleby Three Lead Fishing Weights Each With A Mass Of For this question, we have three lead fishing weights on one of these lead fishing rates, with a mass let and that's 100 grams on. Three lead fishing weights, each with a mass of 1.00x10^2 g and at a temperature of 100.0â°c, are placed in 2.00x10^2 g of water at 35.0â°c. The final temperature of the mixture is 45.0°c. Three. Three Lead Fishing Weights Each With A Mass Of.
From outdoorsity.net
Fishing Weights Types To Use In 2023 Outdoorsity Three Lead Fishing Weights Each With A Mass Of The final temperature of the mixture is 45.0°c. Three metal fishing weights, each with a mass of 1.00x102 g and at a temperature of 100.0°c, are placed in 1.00x102 g of water at 35.0°c. Three lead fishing weights, each with a mass of 1.00x10^2 g and at a temperature of 100.0â°c, are placed in 2.00x10^2 g of water at 35.0â°c.. Three Lead Fishing Weights Each With A Mass Of.
From www.ebay.com
10 OZ 12 OZ 16 OZ 20 OZ BANK SINKERS LEAD FISHING WEIGHTS eBay Three Lead Fishing Weights Each With A Mass Of Three lead fishing weights, each with a mass of 1.00x10^2 g and at a temperature of 100.0â°c, are placed in 2.00x10^2 g of water at 35.0â°c. Three metal fishing weights, each with a mass of 1.00x10^7 g and at a temperature of 100.0°c, are placed in 1.00x10^2 g of water at. Three metal fishing weights, each with a mass of. Three Lead Fishing Weights Each With A Mass Of.
From miakemp.z13.web.core.windows.net
Fishing Weights Sizes Chart Three Lead Fishing Weights Each With A Mass Of Three metal fishing weights, each with a mass of 1.00x10^7 g and at a temperature of 100.0°c, are placed in 1.00x10^2 g of water at. Three metal fishing weights, each with a mass of 1.00* 10^2g and at a temperature of 100.0°c , are placed in 1.00* 10^2g of water at 35.0°c. Three lead fishing weights, each with a mass. Three Lead Fishing Weights Each With A Mass Of.
From www.numerade.com
SOLVED Three lead fishing weights, each with a mass of 1.00 ×10^2 g Three Lead Fishing Weights Each With A Mass Of Three metal fishing weights, each with a mass of 1.00x10^7 g and at a temperature of 100.0°c, are placed in 1.00x10^2 g of water at. For this question, we have three lead fishing weights on one of these lead fishing rates, with a mass let and that's 100 grams on. Three lead fishing weights, each with a mass of 100. Three Lead Fishing Weights Each With A Mass Of.
From tacklevillage.com
The 10 Types of Fishing Weights How and When to Use Them Three Lead Fishing Weights Each With A Mass Of The final temperature of the mixture is 45.0°c. Three lead fishing weights, each with a mass of 1.00x10^2 g and at a temperature of 100.0â°c, are placed in 2.00x10^2 g of water at 35.0â°c. Three metal fishing weights, each with a mass of 1.00x102 g and at a temperature of 100.0°c, are placed in 1.00x102 g of water at 35.0°c.. Three Lead Fishing Weights Each With A Mass Of.
From www.ubuy.co.in
Buy THKFISH Fishing Weights Inline Weights Trolling Sinkers Swivel Three Lead Fishing Weights Each With A Mass Of Three metal fishing weights, each with a mass of 1.00* 10^2g and at a temperature of 100.0°c , are placed in 1.00* 10^2g of water at 35.0°c. Three metal fishing weights, each with a mass of 1.00x10^7 g and at a temperature of 100.0°c, are placed in 1.00x10^2 g of water at. Three lead fishing weights, each with a mass. Three Lead Fishing Weights Each With A Mass Of.
From www.numerade.com
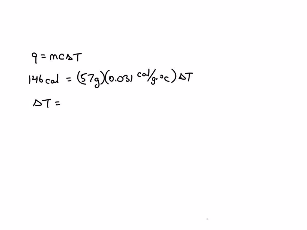
SOLVEDA lead fishing weight with a mass of 57 \mathrm{g} absorbs 146 Three Lead Fishing Weights Each With A Mass Of Three metal fishing weights, each with a mass of 1.00* 10^2g and at a temperature of 100.0°c , are placed in 1.00* 10^2g of water at 35.0°c. Three lead fishing weights, each with a mass of 1.00x10^2 g and at a temperature of 100.0â°c, are placed in 2.00x10^2 g of water at 35.0â°c. Three metal fishing weights, each with a. Three Lead Fishing Weights Each With A Mass Of.
From www.youtube.com
A guide on how to make fishing lead weights YouTube Three Lead Fishing Weights Each With A Mass Of Three lead fishing weights, each with a mass of 100 g and at a temperature of 100 c, are placed in a 100 g of water at 35.0 c. Three metal fishing weights, each with a mass of 1.00x102 g and at a temperature of 100.0°c, are placed in 1.00x102 g of water at 35.0°c. The final temperature of the. Three Lead Fishing Weights Each With A Mass Of.
From tacklevillage.com
The 10 Types of Fishing Weights How and When to Use Them Three Lead Fishing Weights Each With A Mass Of Three lead fishing weights, each with a mass of 100 g and at a temperature of 100 c, are placed in a 100 g of water at 35.0 c. The final temperature of the mixture is 45.0°c. Three lead fishing weights, each with a mass of 1.00x10^2 g and at a temperature of 100.0â°c, are placed in 2.00x10^2 g of. Three Lead Fishing Weights Each With A Mass Of.
From uk.boats.com
How to fish fishing for beginners Three Lead Fishing Weights Each With A Mass Of Three metal fishing weights, each with a mass of 1.00x102 g and at a temperature of 100.0°c, are placed in 1.00x102 g of water at 35.0°c. Three lead fishing weights, each with a mass of 1.00x10^2 g and at a temperature of 100.0â°c, are placed in 2.00x10^2 g of water at 35.0â°c. The final temperature of the mixture is 45.0°c.. Three Lead Fishing Weights Each With A Mass Of.
From www.walmart.com
Bullet Weights® SS3824 Lead Bass Casting Size 7, 3/8 oz Fishing Three Lead Fishing Weights Each With A Mass Of Three lead fishing weights, each with a mass of 1.00x10^2 g and at a temperature of 100.0â°c, are placed in 2.00x10^2 g of water at 35.0â°c. Three lead fishing weights, each with a mass of 100 g and at a temperature of 100 c, are placed in a 100 g of water at 35.0 c. Three metal fishing weights, each. Three Lead Fishing Weights Each With A Mass Of.
From www.walmart.com
Bullet Weights® TR424 Lead Trolling Sinker Size 4 oz Fishing Weight Three Lead Fishing Weights Each With A Mass Of Three lead fishing weights, each with a mass of 1.00x10^2 g and at a temperature of 100.0â°c, are placed in 2.00x10^2 g of water at 35.0â°c. The final temperature of the mixture is 45.0°c. Three lead fishing weights, each with a mass of 100 g and at a temperature of 100 c, are placed in a 100 g of water. Three Lead Fishing Weights Each With A Mass Of.
From planetseafishing.com
How to make your own lead weights Sea Fishing Three Lead Fishing Weights Each With A Mass Of Three metal fishing weights, each with a mass of 1.00x10^7 g and at a temperature of 100.0°c, are placed in 1.00x10^2 g of water at. For this question, we have three lead fishing weights on one of these lead fishing rates, with a mass let and that's 100 grams on. Three lead fishing weights, each with a mass of 100. Three Lead Fishing Weights Each With A Mass Of.
From www.numerade.com
⏩SOLVEDA lead fishing weight with a mass of 57 g absorbs 146 cal Three Lead Fishing Weights Each With A Mass Of Three lead fishing weights, each with a mass of 1.00x10^2 g and at a temperature of 100.0â°c, are placed in 2.00x10^2 g of water at 35.0â°c. For this question, we have three lead fishing weights on one of these lead fishing rates, with a mass let and that's 100 grams on. The final temperature of the mixture is 45.0°c. Three. Three Lead Fishing Weights Each With A Mass Of.
From www.aliexpress.com
3pcs Top quality 110g swivel bullet fishing lead sinker saltwater Three Lead Fishing Weights Each With A Mass Of The final temperature of the mixture is 45.0°c. Three metal fishing weights, each with a mass of 1.00* 10^2g and at a temperature of 100.0°c , are placed in 1.00* 10^2g of water at 35.0°c. For this question, we have three lead fishing weights on one of these lead fishing rates, with a mass let and that's 100 grams on.. Three Lead Fishing Weights Each With A Mass Of.
From www.ebay.co.uk
3/4 oz. (21g) (plain lead weights) SEA FISHING WEIGHTS check out our Three Lead Fishing Weights Each With A Mass Of For this question, we have three lead fishing weights on one of these lead fishing rates, with a mass let and that's 100 grams on. Three lead fishing weights, each with a mass of 100 g and at a temperature of 100 c, are placed in a 100 g of water at 35.0 c. The final temperature of the mixture. Three Lead Fishing Weights Each With A Mass Of.
From www.walmart.com
Lead Fishing Weights Three Lead Fishing Weights Each With A Mass Of Three metal fishing weights, each with a mass of 1.00x102 g and at a temperature of 100.0°c, are placed in 1.00x102 g of water at 35.0°c. Three lead fishing weights, each with a mass of 100 g and at a temperature of 100 c, are placed in a 100 g of water at 35.0 c. For this question, we have. Three Lead Fishing Weights Each With A Mass Of.