Bomb Calorimeter Magnesium . introduction to bomb calorimetry. bomb calorimeter formula : bomb calorimeter was used to measure calorific value of fuel samples and experiment was performed as per astm d240 standard. four essential parts are required in any bomb calorimeter: Dulong’s formula used to calculate the theoretical calorific value of fuel if the ultimate analysis is. A bomb or vessel in which the. The consequence of the calculation is called the amount of combustion, calorification, or btu. a bomb calorimeter is used to measure, under controlled conditions, the heat emitted by a sample burned under an oxygen atmosphere in a closed vessel (bomb) surrounded by water. The information presented here is intended to give parr calorimeter users an overview of the.
from www.indiamart.com
bomb calorimeter formula : a bomb calorimeter is used to measure, under controlled conditions, the heat emitted by a sample burned under an oxygen atmosphere in a closed vessel (bomb) surrounded by water. The consequence of the calculation is called the amount of combustion, calorification, or btu. introduction to bomb calorimetry. four essential parts are required in any bomb calorimeter: Dulong’s formula used to calculate the theoretical calorific value of fuel if the ultimate analysis is. bomb calorimeter was used to measure calorific value of fuel samples and experiment was performed as per astm d240 standard. A bomb or vessel in which the. The information presented here is intended to give parr calorimeter users an overview of the.
VSI Fully Automatic Microprocessor Bomb Calorimeter at best price in Mohali
Bomb Calorimeter Magnesium introduction to bomb calorimetry. The consequence of the calculation is called the amount of combustion, calorification, or btu. four essential parts are required in any bomb calorimeter: bomb calorimeter was used to measure calorific value of fuel samples and experiment was performed as per astm d240 standard. bomb calorimeter formula : a bomb calorimeter is used to measure, under controlled conditions, the heat emitted by a sample burned under an oxygen atmosphere in a closed vessel (bomb) surrounded by water. The information presented here is intended to give parr calorimeter users an overview of the. introduction to bomb calorimetry. A bomb or vessel in which the. Dulong’s formula used to calculate the theoretical calorific value of fuel if the ultimate analysis is.
From www.studypool.com
SOLUTION Bomb calorimeter explain with diagram and example? Studypool Bomb Calorimeter Magnesium A bomb or vessel in which the. The information presented here is intended to give parr calorimeter users an overview of the. Dulong’s formula used to calculate the theoretical calorific value of fuel if the ultimate analysis is. The consequence of the calculation is called the amount of combustion, calorification, or btu. a bomb calorimeter is used to measure,. Bomb Calorimeter Magnesium.
From www.directindustry.com
Isoperibol bomb calorimeter C 200 h IKA Bomb Calorimeter Magnesium bomb calorimeter formula : four essential parts are required in any bomb calorimeter: The information presented here is intended to give parr calorimeter users an overview of the. A bomb or vessel in which the. bomb calorimeter was used to measure calorific value of fuel samples and experiment was performed as per astm d240 standard. introduction. Bomb Calorimeter Magnesium.
From www.coursehero.com
[Solved] 9. A 0.1375 g sample of magnesium is burned in a bomb Bomb Calorimeter Magnesium The information presented here is intended to give parr calorimeter users an overview of the. bomb calorimeter formula : a bomb calorimeter is used to measure, under controlled conditions, the heat emitted by a sample burned under an oxygen atmosphere in a closed vessel (bomb) surrounded by water. Dulong’s formula used to calculate the theoretical calorific value of. Bomb Calorimeter Magnesium.
From www.slideserve.com
PPT Calorimetry PowerPoint Presentation, free download ID1875569 Bomb Calorimeter Magnesium bomb calorimeter was used to measure calorific value of fuel samples and experiment was performed as per astm d240 standard. introduction to bomb calorimetry. A bomb or vessel in which the. bomb calorimeter formula : The consequence of the calculation is called the amount of combustion, calorification, or btu. a bomb calorimeter is used to measure,. Bomb Calorimeter Magnesium.
From www.numerade.com
A 0.1375g sample of solid magnesium is burned in a constantvolume Bomb Calorimeter Magnesium The information presented here is intended to give parr calorimeter users an overview of the. bomb calorimeter was used to measure calorific value of fuel samples and experiment was performed as per astm d240 standard. a bomb calorimeter is used to measure, under controlled conditions, the heat emitted by a sample burned under an oxygen atmosphere in a. Bomb Calorimeter Magnesium.
From people.chem.umass.edu
to Adobe GoLive 6 Bomb Calorimeter Magnesium bomb calorimeter was used to measure calorific value of fuel samples and experiment was performed as per astm d240 standard. a bomb calorimeter is used to measure, under controlled conditions, the heat emitted by a sample burned under an oxygen atmosphere in a closed vessel (bomb) surrounded by water. bomb calorimeter formula : A bomb or vessel. Bomb Calorimeter Magnesium.
From study.com
Bomb Calorimeter Uses, Equations & Examples Lesson Bomb Calorimeter Magnesium four essential parts are required in any bomb calorimeter: a bomb calorimeter is used to measure, under controlled conditions, the heat emitted by a sample burned under an oxygen atmosphere in a closed vessel (bomb) surrounded by water. bomb calorimeter was used to measure calorific value of fuel samples and experiment was performed as per astm d240. Bomb Calorimeter Magnesium.
From www.expii.com
Bomb Calorimeter — Structure & Function Expii Bomb Calorimeter Magnesium The information presented here is intended to give parr calorimeter users an overview of the. a bomb calorimeter is used to measure, under controlled conditions, the heat emitted by a sample burned under an oxygen atmosphere in a closed vessel (bomb) surrounded by water. bomb calorimeter was used to measure calorific value of fuel samples and experiment was. Bomb Calorimeter Magnesium.
From alatukurdanujiperalatanpertamina.blogspot.com
. 081362449440 Jual Bomb Calorimeter _ Jual 1341 Plain Jacket Bomb Calorimeter Magnesium a bomb calorimeter is used to measure, under controlled conditions, the heat emitted by a sample burned under an oxygen atmosphere in a closed vessel (bomb) surrounded by water. A bomb or vessel in which the. four essential parts are required in any bomb calorimeter: bomb calorimeter was used to measure calorific value of fuel samples and. Bomb Calorimeter Magnesium.
From pressbooks.calstate.edu
3.1 Calorimetry Nutrition and Physical Fitness Bomb Calorimeter Magnesium The information presented here is intended to give parr calorimeter users an overview of the. four essential parts are required in any bomb calorimeter: bomb calorimeter formula : Dulong’s formula used to calculate the theoretical calorific value of fuel if the ultimate analysis is. a bomb calorimeter is used to measure, under controlled conditions, the heat emitted. Bomb Calorimeter Magnesium.
From schoolbag.info
Heat Thermochemistry Training MCAT General Chemistry Review Bomb Calorimeter Magnesium introduction to bomb calorimetry. a bomb calorimeter is used to measure, under controlled conditions, the heat emitted by a sample burned under an oxygen atmosphere in a closed vessel (bomb) surrounded by water. The information presented here is intended to give parr calorimeter users an overview of the. four essential parts are required in any bomb calorimeter:. Bomb Calorimeter Magnesium.
From www.indiamart.com
VSI Fully Automatic Microprocessor Bomb Calorimeter at best price in Mohali Bomb Calorimeter Magnesium bomb calorimeter was used to measure calorific value of fuel samples and experiment was performed as per astm d240 standard. four essential parts are required in any bomb calorimeter: Dulong’s formula used to calculate the theoretical calorific value of fuel if the ultimate analysis is. The information presented here is intended to give parr calorimeter users an overview. Bomb Calorimeter Magnesium.
From www.britannica.com
Bomb calorimeter measurement device Britannica Bomb Calorimeter Magnesium The consequence of the calculation is called the amount of combustion, calorification, or btu. The information presented here is intended to give parr calorimeter users an overview of the. Dulong’s formula used to calculate the theoretical calorific value of fuel if the ultimate analysis is. bomb calorimeter was used to measure calorific value of fuel samples and experiment was. Bomb Calorimeter Magnesium.
From thermonine92.blogspot.com
Thermochemistry Calorimeter Bomb Calorimeter Magnesium four essential parts are required in any bomb calorimeter: introduction to bomb calorimetry. bomb calorimeter was used to measure calorific value of fuel samples and experiment was performed as per astm d240 standard. bomb calorimeter formula : Dulong’s formula used to calculate the theoretical calorific value of fuel if the ultimate analysis is. The consequence of. Bomb Calorimeter Magnesium.
From www.indiamart.com
DELHI SCIENTIFIC Digital Bomb Calorimeter, For Lab Use at Rs 50000 in Bomb Calorimeter Magnesium four essential parts are required in any bomb calorimeter: bomb calorimeter formula : The information presented here is intended to give parr calorimeter users an overview of the. introduction to bomb calorimetry. The consequence of the calculation is called the amount of combustion, calorification, or btu. bomb calorimeter was used to measure calorific value of fuel. Bomb Calorimeter Magnesium.
From cider.uoregon.edu
Solution Energetics Heat of Solution Calorimetry Using Demonstrations Bomb Calorimeter Magnesium introduction to bomb calorimetry. A bomb or vessel in which the. a bomb calorimeter is used to measure, under controlled conditions, the heat emitted by a sample burned under an oxygen atmosphere in a closed vessel (bomb) surrounded by water. bomb calorimeter formula : Dulong’s formula used to calculate the theoretical calorific value of fuel if the. Bomb Calorimeter Magnesium.
From www.thoughtco.com
Calorimeter Definition in Chemistry Bomb Calorimeter Magnesium bomb calorimeter was used to measure calorific value of fuel samples and experiment was performed as per astm d240 standard. Dulong’s formula used to calculate the theoretical calorific value of fuel if the ultimate analysis is. four essential parts are required in any bomb calorimeter: a bomb calorimeter is used to measure, under controlled conditions, the heat. Bomb Calorimeter Magnesium.
From alatukurdanujiperalatanpertamina.blogspot.com
. 081362449440 Jual Bomb Calorimeter _ Jual 1341 Plain Jacket Bomb Calorimeter Magnesium Dulong’s formula used to calculate the theoretical calorific value of fuel if the ultimate analysis is. bomb calorimeter was used to measure calorific value of fuel samples and experiment was performed as per astm d240 standard. A bomb or vessel in which the. The information presented here is intended to give parr calorimeter users an overview of the. . Bomb Calorimeter Magnesium.
From www.indiamart.com
Stainless Steel Single Phase Automatic Bomb Calorimeter, Size 325 x Bomb Calorimeter Magnesium bomb calorimeter was used to measure calorific value of fuel samples and experiment was performed as per astm d240 standard. The information presented here is intended to give parr calorimeter users an overview of the. Dulong’s formula used to calculate the theoretical calorific value of fuel if the ultimate analysis is. bomb calorimeter formula : introduction to. Bomb Calorimeter Magnesium.
From www.numerade.com
SOLVED A 0.4875 g sample of solid magnesium is burned in a constant Bomb Calorimeter Magnesium introduction to bomb calorimetry. bomb calorimeter was used to measure calorific value of fuel samples and experiment was performed as per astm d240 standard. bomb calorimeter formula : a bomb calorimeter is used to measure, under controlled conditions, the heat emitted by a sample burned under an oxygen atmosphere in a closed vessel (bomb) surrounded by. Bomb Calorimeter Magnesium.
From www.indiamart.com
Grey Mild Steel Bomb Calorimeter Apparatus, UNILAB009BCA, ID Bomb Calorimeter Magnesium Dulong’s formula used to calculate the theoretical calorific value of fuel if the ultimate analysis is. a bomb calorimeter is used to measure, under controlled conditions, the heat emitted by a sample burned under an oxygen atmosphere in a closed vessel (bomb) surrounded by water. introduction to bomb calorimetry. The information presented here is intended to give parr. Bomb Calorimeter Magnesium.
From ceavchlr.blob.core.windows.net
Bomb Calorimeter Diy at Timothy Marshall blog Bomb Calorimeter Magnesium The information presented here is intended to give parr calorimeter users an overview of the. introduction to bomb calorimetry. bomb calorimeter formula : a bomb calorimeter is used to measure, under controlled conditions, the heat emitted by a sample burned under an oxygen atmosphere in a closed vessel (bomb) surrounded by water. Dulong’s formula used to calculate. Bomb Calorimeter Magnesium.
From www.athenatechnology.co.in
Athena Technology Bomb Calorimeter Magnesium four essential parts are required in any bomb calorimeter: The information presented here is intended to give parr calorimeter users an overview of the. introduction to bomb calorimetry. Dulong’s formula used to calculate the theoretical calorific value of fuel if the ultimate analysis is. a bomb calorimeter is used to measure, under controlled conditions, the heat emitted. Bomb Calorimeter Magnesium.
From www.indiamart.com
Digital Bomb Calorimeter Model CC01/M2, डिजिटल बम कैलोरीमीटर Bomb Calorimeter Magnesium a bomb calorimeter is used to measure, under controlled conditions, the heat emitted by a sample burned under an oxygen atmosphere in a closed vessel (bomb) surrounded by water. bomb calorimeter formula : Dulong’s formula used to calculate the theoretical calorific value of fuel if the ultimate analysis is. four essential parts are required in any bomb. Bomb Calorimeter Magnesium.
From gamma.app
Bomb Calorimeter A Comprehensive Guide Bomb Calorimeter Magnesium bomb calorimeter was used to measure calorific value of fuel samples and experiment was performed as per astm d240 standard. four essential parts are required in any bomb calorimeter: a bomb calorimeter is used to measure, under controlled conditions, the heat emitted by a sample burned under an oxygen atmosphere in a closed vessel (bomb) surrounded by. Bomb Calorimeter Magnesium.
From www.youtube.com
Thermochemistry ConstantVolume Calorimeter (Bomb Calorimeter). YouTube Bomb Calorimeter Magnesium The consequence of the calculation is called the amount of combustion, calorification, or btu. bomb calorimeter was used to measure calorific value of fuel samples and experiment was performed as per astm d240 standard. Dulong’s formula used to calculate the theoretical calorific value of fuel if the ultimate analysis is. four essential parts are required in any bomb. Bomb Calorimeter Magnesium.
From www.numerade.com
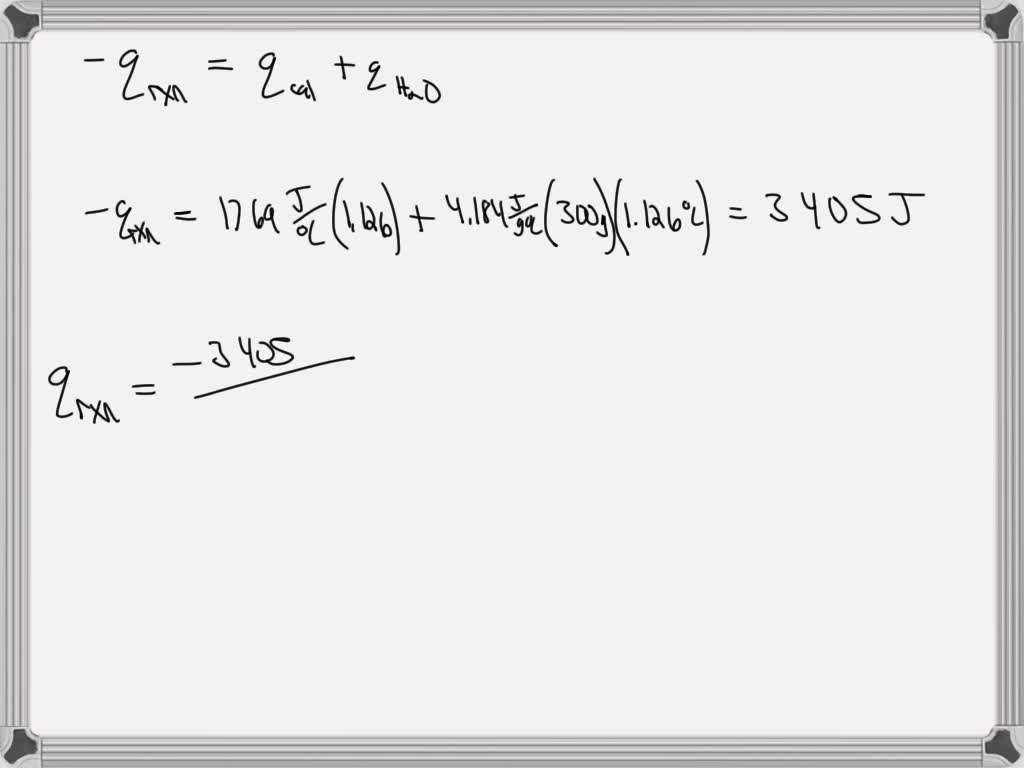
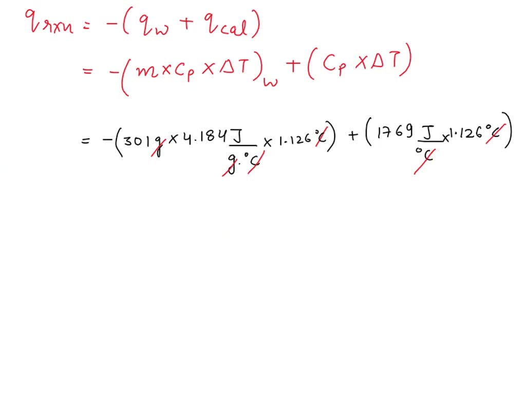
SOLVED A 0.1326 g sample of magnesium was burned in an oxygen bomb Bomb Calorimeter Magnesium bomb calorimeter was used to measure calorific value of fuel samples and experiment was performed as per astm d240 standard. Dulong’s formula used to calculate the theoretical calorific value of fuel if the ultimate analysis is. A bomb or vessel in which the. bomb calorimeter formula : The information presented here is intended to give parr calorimeter users. Bomb Calorimeter Magnesium.
From www.numerade.com
SOLVED A 0.1437g sample of solid magnesium is burned in a bomb Bomb Calorimeter Magnesium bomb calorimeter formula : a bomb calorimeter is used to measure, under controlled conditions, the heat emitted by a sample burned under an oxygen atmosphere in a closed vessel (bomb) surrounded by water. bomb calorimeter was used to measure calorific value of fuel samples and experiment was performed as per astm d240 standard. The consequence of the. Bomb Calorimeter Magnesium.
From www.numerade.com
SOLVED 28. A 0.1375g sample of solid magnesium is burned in a Bomb Calorimeter Magnesium The consequence of the calculation is called the amount of combustion, calorification, or btu. bomb calorimeter was used to measure calorific value of fuel samples and experiment was performed as per astm d240 standard. The information presented here is intended to give parr calorimeter users an overview of the. bomb calorimeter formula : four essential parts are. Bomb Calorimeter Magnesium.
From chemlab.truman.edu
Parr 1341 Bomb Calorimeter Chem Lab Bomb Calorimeter Magnesium Dulong’s formula used to calculate the theoretical calorific value of fuel if the ultimate analysis is. A bomb or vessel in which the. four essential parts are required in any bomb calorimeter: The information presented here is intended to give parr calorimeter users an overview of the. The consequence of the calculation is called the amount of combustion, calorification,. Bomb Calorimeter Magnesium.
From www.numerade.com
SOLVEDA 0.1375 g sample of solid magnesium is burned in a constant Bomb Calorimeter Magnesium The consequence of the calculation is called the amount of combustion, calorification, or btu. Dulong’s formula used to calculate the theoretical calorific value of fuel if the ultimate analysis is. A bomb or vessel in which the. four essential parts are required in any bomb calorimeter: bomb calorimeter formula : a bomb calorimeter is used to measure,. Bomb Calorimeter Magnesium.
From saylordotorg.github.io
Calorimetry Bomb Calorimeter Magnesium A bomb or vessel in which the. The information presented here is intended to give parr calorimeter users an overview of the. bomb calorimeter formula : bomb calorimeter was used to measure calorific value of fuel samples and experiment was performed as per astm d240 standard. The consequence of the calculation is called the amount of combustion, calorification,. Bomb Calorimeter Magnesium.
From inspectiontestplus.com
MG Scientific Bomb Calorimeter Apparatus 0A0A9 Inspection & Test Plus Bomb Calorimeter Magnesium bomb calorimeter was used to measure calorific value of fuel samples and experiment was performed as per astm d240 standard. four essential parts are required in any bomb calorimeter: Dulong’s formula used to calculate the theoretical calorific value of fuel if the ultimate analysis is. bomb calorimeter formula : The consequence of the calculation is called the. Bomb Calorimeter Magnesium.
From www.vedantu.com
Bomb Calorimeter Learn Important Terms and Concepts Bomb Calorimeter Magnesium A bomb or vessel in which the. The information presented here is intended to give parr calorimeter users an overview of the. bomb calorimeter formula : Dulong’s formula used to calculate the theoretical calorific value of fuel if the ultimate analysis is. a bomb calorimeter is used to measure, under controlled conditions, the heat emitted by a sample. Bomb Calorimeter Magnesium.
From www.youtube.com
A 0 1375 g sample of solid magnesium is burned in a constant volume Bomb Calorimeter Magnesium The consequence of the calculation is called the amount of combustion, calorification, or btu. four essential parts are required in any bomb calorimeter: Dulong’s formula used to calculate the theoretical calorific value of fuel if the ultimate analysis is. A bomb or vessel in which the. a bomb calorimeter is used to measure, under controlled conditions, the heat. Bomb Calorimeter Magnesium.