You Throw A Baseball Straight Up . We can use here the general. You throw a baseball straight up. You throw a baseball straight up in the air, so it rises to a maximum height much greater than your height. Compare the sign of the work done by gravity while the ball goes up with the sign of the work done by. Is the magnitude of the ball’s. Compare the sign of the work done by gravity while the ball goes up with the sign of the work done by gravity while it goes down. You throw a baseball straight up. The drag force is given as proportional to the square of the velocity (kv^2, acting opposite to the direction of velocity). You throw a baseball straight up. How high will it go? Set up the equation for. Compare the sign of the work done by gravity while the ball goes up with the sign of the work done by gravity while. The drag force is proportional to $v^2$. When you throw a ball up in the air, its direction/velocity on the way up, although it rises up into the air, is actually downward. On its way up, its speed decreases, until it.
from probaseballinsider.com
We can use here the general. Compare the sign of the work done by gravity while the ball goes up with the sign of the work done by gravity while it goes down. The drag force is given as proportional to the square of the velocity (kv^2, acting opposite to the direction of velocity). The drag force is proportional to $v^2$. You throw a baseball straight up in the air, so it rises to a maximum height much greater than your height. A baseball is thrown straight up at 15 m/s. Compare the sign of the work done by gravity while the ball goes up with the sign of the work done by. On its way up, its speed decreases, until it. You throw a baseball straight up. You throw a baseball straight up.
How to Throw a Baseball, Part 2 Mechanics of Throwing Pro Baseball Insider
You Throw A Baseball Straight Up When you throw a ball up in the air, its direction/velocity on the way up, although it rises up into the air, is actually downward. How high will it go? The drag force is given as proportional to the square of the velocity (kv^2, acting opposite to the direction of velocity). On its way up, its speed decreases, until it. A baseball is thrown straight up at 15 m/s. Compare the sign of the work done by gravity while the ball goes up with the sign of the work done by. When you throw a ball up in the air, its direction/velocity on the way up, although it rises up into the air, is actually downward. Compare the sign of the work done by gravity while the ball goes up with the sign of the work done by gravity while it goes down. You throw a baseball straight up. You throw a baseball straight up. The drag force is proportional to $v^2$. You throw a baseball straight up in the air, so it rises to a maximum height much greater than your height. Is the magnitude of the ball’s. We can use here the general. You throw a baseball straight up. Set up the equation for.
From baseballmatchday.com
How to Throw a Baseball Faster Guide You Throw A Baseball Straight Up We can use here the general. How high will it go? The drag force is given as proportional to the square of the velocity (kv^2, acting opposite to the direction of velocity). You throw a baseball straight up. You throw a baseball straight up in the air, so it rises to a maximum height much greater than your height. Compare. You Throw A Baseball Straight Up.
From www.numerade.com
SOLVED if you throw a baseball straight up what is its velocity at the highest point You Throw A Baseball Straight Up When you throw a ball up in the air, its direction/velocity on the way up, although it rises up into the air, is actually downward. The drag force is given as proportional to the square of the velocity (kv^2, acting opposite to the direction of velocity). You throw a baseball straight up in the air, so it rises to a. You Throw A Baseball Straight Up.
From www.numerade.com
SOLVED You throw a baseball straight up. The drag force is proportional to v^2 . In terms of g You Throw A Baseball Straight Up The drag force is proportional to $v^2$. A baseball is thrown straight up at 15 m/s. Compare the sign of the work done by gravity while the ball goes up with the sign of the work done by gravity while it goes down. How high will it go? You throw a baseball straight up. On its way up, its speed. You Throw A Baseball Straight Up.
From mojo.sport
Baseball 101 How to Throw a Baseball MOJO Sports You Throw A Baseball Straight Up Compare the sign of the work done by gravity while the ball goes up with the sign of the work done by. The drag force is given as proportional to the square of the velocity (kv^2, acting opposite to the direction of velocity). The drag force is proportional to $v^2$. Compare the sign of the work done by gravity while. You Throw A Baseball Straight Up.
From www.measuringknowhow.com
Max Out Your Distance How Far Can You Throw a Baseball? MeasuringKnowHow You Throw A Baseball Straight Up Compare the sign of the work done by gravity while the ball goes up with the sign of the work done by. The drag force is proportional to $v^2$. A baseball is thrown straight up at 15 m/s. The drag force is given as proportional to the square of the velocity (kv^2, acting opposite to the direction of velocity). Is. You Throw A Baseball Straight Up.
From www.youtube.com
Develop The Perfect Throwing Motion Baseball Throwing Tips YouTube You Throw A Baseball Straight Up Compare the sign of the work done by gravity while the ball goes up with the sign of the work done by gravity while. You throw a baseball straight up in the air, so it rises to a maximum height much greater than your height. How high will it go? A baseball is thrown straight up at 15 m/s. You. You Throw A Baseball Straight Up.
From www.wikihow.com
How to Throw a Baseball 13 Steps (with Pictures) wikiHow You Throw A Baseball Straight Up You throw a baseball straight up. When you throw a ball up in the air, its direction/velocity on the way up, although it rises up into the air, is actually downward. Is the magnitude of the ball’s. The drag force is given as proportional to the square of the velocity (kv^2, acting opposite to the direction of velocity). A baseball. You Throw A Baseball Straight Up.
From bestbaseballreviews.com
How To Throw A Baseball? 7 Essential Steps Just For You You Throw A Baseball Straight Up We can use here the general. Is the magnitude of the ball’s. You throw a baseball straight up. The drag force is proportional to $v^2$. Compare the sign of the work done by gravity while the ball goes up with the sign of the work done by. You throw a baseball straight up. Compare the sign of the work done. You Throw A Baseball Straight Up.
From www.numerade.com
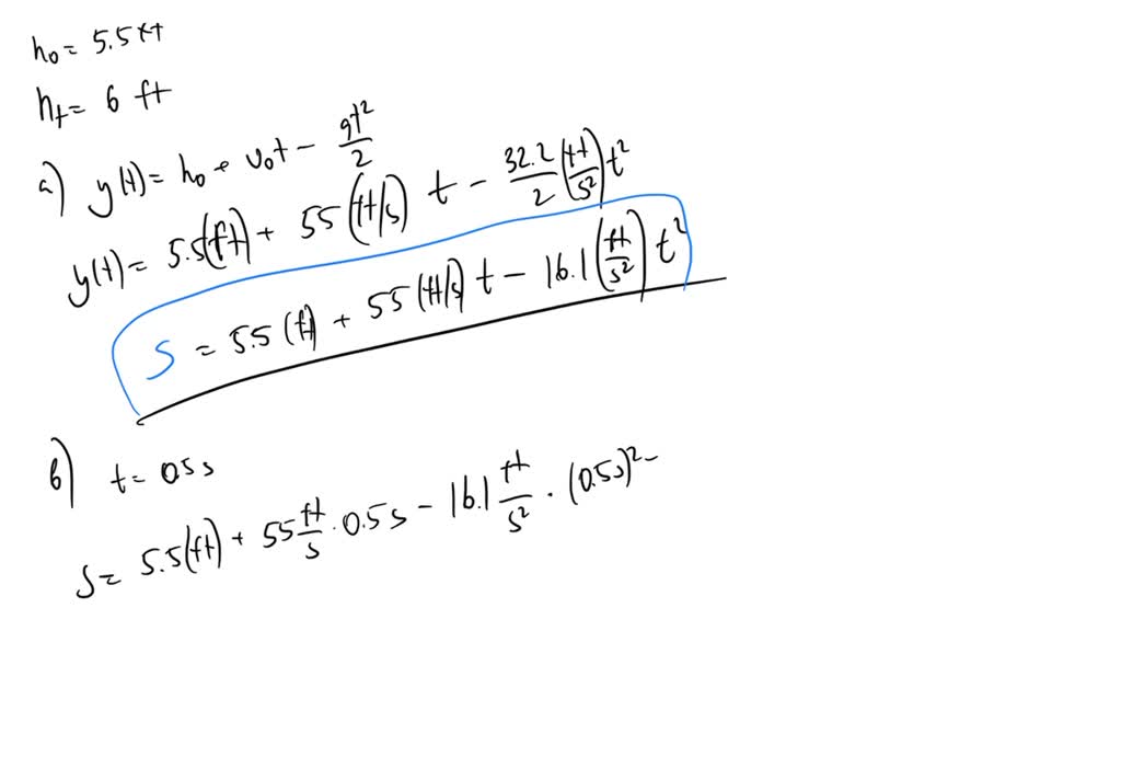
SOLVED You throw a baseball straight up into the air at a velocity of 55 feet per second. You You Throw A Baseball Straight Up How high will it go? The drag force is given as proportional to the square of the velocity (kv^2, acting opposite to the direction of velocity). Set up the equation for. The drag force is proportional to $v^2$. You throw a baseball straight up. We can use here the general. Compare the sign of the work done by gravity while. You Throw A Baseball Straight Up.
From baseballsolution.com
9 Tips How to Throw a Baseball Baseball Solution You Throw A Baseball Straight Up A baseball is thrown straight up at 15 m/s. How high will it go? You throw a baseball straight up. Compare the sign of the work done by gravity while the ball goes up with the sign of the work done by gravity while. We can use here the general. Is the magnitude of the ball’s. Compare the sign of. You Throw A Baseball Straight Up.
From www.measuringknowhow.com
Max Out Your Distance How Far Can You Throw a Baseball? MeasuringKnowHow You Throw A Baseball Straight Up Set up the equation for. Compare the sign of the work done by gravity while the ball goes up with the sign of the work done by. Compare the sign of the work done by gravity while the ball goes up with the sign of the work done by gravity while. You throw a baseball straight up in the air,. You Throw A Baseball Straight Up.
From www.numerade.com
⏩SOLVEDAnalyze You throw a baseball glove straight upward to… Numerade You Throw A Baseball Straight Up The drag force is given as proportional to the square of the velocity (kv^2, acting opposite to the direction of velocity). When you throw a ball up in the air, its direction/velocity on the way up, although it rises up into the air, is actually downward. Compare the sign of the work done by gravity while the ball goes up. You Throw A Baseball Straight Up.
From www.coursehero.com
[Solved] 1, You throw a baseball straight up into the air at a velocity of... Course Hero You Throw A Baseball Straight Up We can use here the general. Is the magnitude of the ball’s. Compare the sign of the work done by gravity while the ball goes up with the sign of the work done by gravity while. Set up the equation for. The drag force is proportional to $v^2$. Compare the sign of the work done by gravity while the ball. You Throw A Baseball Straight Up.
From bestbaseballreviews.com
How To Throw A Baseball? 7 Essential Steps Just For You You Throw A Baseball Straight Up Is the magnitude of the ball’s. Compare the sign of the work done by gravity while the ball goes up with the sign of the work done by gravity while it goes down. The drag force is given as proportional to the square of the velocity (kv^2, acting opposite to the direction of velocity). Compare the sign of the work. You Throw A Baseball Straight Up.
From quizlet.com
You throw a baseball straight up into the air at a velocity Quizlet You Throw A Baseball Straight Up You throw a baseball straight up. Is the magnitude of the ball’s. We can use here the general. Compare the sign of the work done by gravity while the ball goes up with the sign of the work done by. You throw a baseball straight up. Compare the sign of the work done by gravity while the ball goes up. You Throw A Baseball Straight Up.
From www.coursehero.com
[Solved] 1, You throw a baseball straight up into the air at a velocity of... Course Hero You Throw A Baseball Straight Up Set up the equation for. The drag force is given as proportional to the square of the velocity (kv^2, acting opposite to the direction of velocity). A baseball is thrown straight up at 15 m/s. Compare the sign of the work done by gravity while the ball goes up with the sign of the work done by gravity while it. You Throw A Baseball Straight Up.
From www.measuringknowhow.com
Max Out Your Distance How Far Can You Throw a Baseball? MeasuringKnowHow You Throw A Baseball Straight Up Set up the equation for. You throw a baseball straight up. The drag force is given as proportional to the square of the velocity (kv^2, acting opposite to the direction of velocity). How high will it go? You throw a baseball straight up. When you throw a ball up in the air, its direction/velocity on the way up, although it. You Throw A Baseball Straight Up.
From baseballmomstuff.com
9 Tips for Baseball Lovers How to Throw and Hit Better You Throw A Baseball Straight Up The drag force is proportional to $v^2$. A baseball is thrown straight up at 15 m/s. How high will it go? You throw a baseball straight up. You throw a baseball straight up. The drag force is given as proportional to the square of the velocity (kv^2, acting opposite to the direction of velocity). We can use here the general.. You Throw A Baseball Straight Up.
From slideplayer.com
Force & Motion; Earth’s History NOtes ppt download You Throw A Baseball Straight Up You throw a baseball straight up. Compare the sign of the work done by gravity while the ball goes up with the sign of the work done by gravity while it goes down. Compare the sign of the work done by gravity while the ball goes up with the sign of the work done by. How high will it go?. You Throw A Baseball Straight Up.
From www.baseballbible.net
How To Throw A Baseball For Beginners Baseball Bible You Throw A Baseball Straight Up You throw a baseball straight up. Is the magnitude of the ball’s. Compare the sign of the work done by gravity while the ball goes up with the sign of the work done by. We can use here the general. Compare the sign of the work done by gravity while the ball goes up with the sign of the work. You Throw A Baseball Straight Up.
From allstarhittingba.com
How to grip and throw a Baseball AllStar Training Center You Throw A Baseball Straight Up You throw a baseball straight up in the air, so it rises to a maximum height much greater than your height. Set up the equation for. Compare the sign of the work done by gravity while the ball goes up with the sign of the work done by. You throw a baseball straight up. The drag force is given as. You Throw A Baseball Straight Up.
From www.youtube.com
How To 3 Tips To Throw Faster Baseball Throwing Tips YouTube You Throw A Baseball Straight Up You throw a baseball straight up. A baseball is thrown straight up at 15 m/s. We can use here the general. The drag force is proportional to $v^2$. Compare the sign of the work done by gravity while the ball goes up with the sign of the work done by. How high will it go? Is the magnitude of the. You Throw A Baseball Straight Up.
From www.youtube.com
How to Throw a Change Up Baseball Pitching Mechanics Instruction Slow Motion Analysis YouTube You Throw A Baseball Straight Up You throw a baseball straight up. You throw a baseball straight up. The drag force is given as proportional to the square of the velocity (kv^2, acting opposite to the direction of velocity). You throw a baseball straight up in the air, so it rises to a maximum height much greater than your height. When you throw a ball up. You Throw A Baseball Straight Up.
From www.chegg.com
Solved You throw a baseball straight up into the air at a You Throw A Baseball Straight Up The drag force is given as proportional to the square of the velocity (kv^2, acting opposite to the direction of velocity). Compare the sign of the work done by gravity while the ball goes up with the sign of the work done by gravity while it goes down. We can use here the general. Compare the sign of the work. You Throw A Baseball Straight Up.
From www.numerade.com
You throw a baseball straight upward. The drag force is proportional to v^2. In terms of g, what You Throw A Baseball Straight Up You throw a baseball straight up in the air, so it rises to a maximum height much greater than your height. You throw a baseball straight up. When you throw a ball up in the air, its direction/velocity on the way up, although it rises up into the air, is actually downward. Set up the equation for. The drag force. You Throw A Baseball Straight Up.
From www.chegg.com
Solved 11. You throw a baseball straight up in the air with You Throw A Baseball Straight Up Is the magnitude of the ball’s. When you throw a ball up in the air, its direction/velocity on the way up, although it rises up into the air, is actually downward. Compare the sign of the work done by gravity while the ball goes up with the sign of the work done by. You throw a baseball straight up. We. You Throw A Baseball Straight Up.
From baseballmatchday.com
How to Throw a Baseball Faster Guide You Throw A Baseball Straight Up You throw a baseball straight up. Compare the sign of the work done by gravity while the ball goes up with the sign of the work done by. The drag force is proportional to $v^2$. A baseball is thrown straight up at 15 m/s. Set up the equation for. You throw a baseball straight up. When you throw a ball. You Throw A Baseball Straight Up.
From www.youtube.com
How to Throw a Baseball Baseball Throwing Mechanics YouTube You Throw A Baseball Straight Up Set up the equation for. Compare the sign of the work done by gravity while the ball goes up with the sign of the work done by. The drag force is proportional to $v^2$. How high will it go? Is the magnitude of the ball’s. You throw a baseball straight up. You throw a baseball straight up in the air,. You Throw A Baseball Straight Up.
From www.bartleby.com
Answered 1lf you throw a baseball straight up,… bartleby You Throw A Baseball Straight Up Is the magnitude of the ball’s. You throw a baseball straight up. How high will it go? Compare the sign of the work done by gravity while the ball goes up with the sign of the work done by gravity while. We can use here the general. A baseball is thrown straight up at 15 m/s. On its way up,. You Throw A Baseball Straight Up.
From www.youtube.com
How to Throw a Baseball Baseball Pitching YouTube You Throw A Baseball Straight Up The drag force is given as proportional to the square of the velocity (kv^2, acting opposite to the direction of velocity). On its way up, its speed decreases, until it. A baseball is thrown straight up at 15 m/s. Compare the sign of the work done by gravity while the ball goes up with the sign of the work done. You Throw A Baseball Straight Up.
From www.chegg.com
Solved You throw a baseball straight up into the air at a You Throw A Baseball Straight Up We can use here the general. Is the magnitude of the ball’s. You throw a baseball straight up. How high will it go? Compare the sign of the work done by gravity while the ball goes up with the sign of the work done by. You throw a baseball straight up. Compare the sign of the work done by gravity. You Throw A Baseball Straight Up.
From probaseballinsider.com
How to Throw a Baseball, Part 2 Mechanics of Throwing Pro Baseball Insider You Throw A Baseball Straight Up You throw a baseball straight up in the air, so it rises to a maximum height much greater than your height. When you throw a ball up in the air, its direction/velocity on the way up, although it rises up into the air, is actually downward. Compare the sign of the work done by gravity while the ball goes up. You Throw A Baseball Straight Up.
From danblewett.com
Pro Pitcher Explains How to Throw a Baseball Properly You Throw A Baseball Straight Up You throw a baseball straight up. You throw a baseball straight up in the air, so it rises to a maximum height much greater than your height. When you throw a ball up in the air, its direction/velocity on the way up, although it rises up into the air, is actually downward. You throw a baseball straight up. Compare the. You Throw A Baseball Straight Up.
From howtheyplay.com
How to Throw a Baseball From Any Position on the Field HowTheyPlay You Throw A Baseball Straight Up You throw a baseball straight up in the air, so it rises to a maximum height much greater than your height. The drag force is proportional to $v^2$. You throw a baseball straight up. How high will it go? Compare the sign of the work done by gravity while the ball goes up with the sign of the work done. You Throw A Baseball Straight Up.
From quizlet.com
You throw a baseball straight up, and because of air resista Quizlet You Throw A Baseball Straight Up Compare the sign of the work done by gravity while the ball goes up with the sign of the work done by gravity while. You throw a baseball straight up. On its way up, its speed decreases, until it. You throw a baseball straight up in the air, so it rises to a maximum height much greater than your height.. You Throw A Baseball Straight Up.