Barriers To Communication Reading Answers . — you should spend about 20 minutes on questions 14—26 which are based on reading passage 133 below. learn what communication barriers are and how they affect our ability to convey messages. Language barriers are one of the primary cultural barriers to communication. — learn how to answer questions about language barrier from the ielts academic reading test with this post. They arise when individuals from different linguistic. It provides detailed explanations and examples for each question type and paragraph in the passage. we have supplied the discovery that language can be a barrier reading answers with explanations. Explore 12 common types of barriers, such as language, tone,. learn how to overcome common barriers to listening, perception, and verbal communication in the classroom.
from www.scribd.com
They arise when individuals from different linguistic. — you should spend about 20 minutes on questions 14—26 which are based on reading passage 133 below. learn what communication barriers are and how they affect our ability to convey messages. Explore 12 common types of barriers, such as language, tone,. we have supplied the discovery that language can be a barrier reading answers with explanations. learn how to overcome common barriers to listening, perception, and verbal communication in the classroom. It provides detailed explanations and examples for each question type and paragraph in the passage. — learn how to answer questions about language barrier from the ielts academic reading test with this post. Language barriers are one of the primary cultural barriers to communication.
communication barriers quiz Human Communication Behavioural Sciences
Barriers To Communication Reading Answers — you should spend about 20 minutes on questions 14—26 which are based on reading passage 133 below. Language barriers are one of the primary cultural barriers to communication. — learn how to answer questions about language barrier from the ielts academic reading test with this post. learn what communication barriers are and how they affect our ability to convey messages. — you should spend about 20 minutes on questions 14—26 which are based on reading passage 133 below. It provides detailed explanations and examples for each question type and paragraph in the passage. we have supplied the discovery that language can be a barrier reading answers with explanations. Explore 12 common types of barriers, such as language, tone,. They arise when individuals from different linguistic. learn how to overcome common barriers to listening, perception, and verbal communication in the classroom.
From www.scribd.com
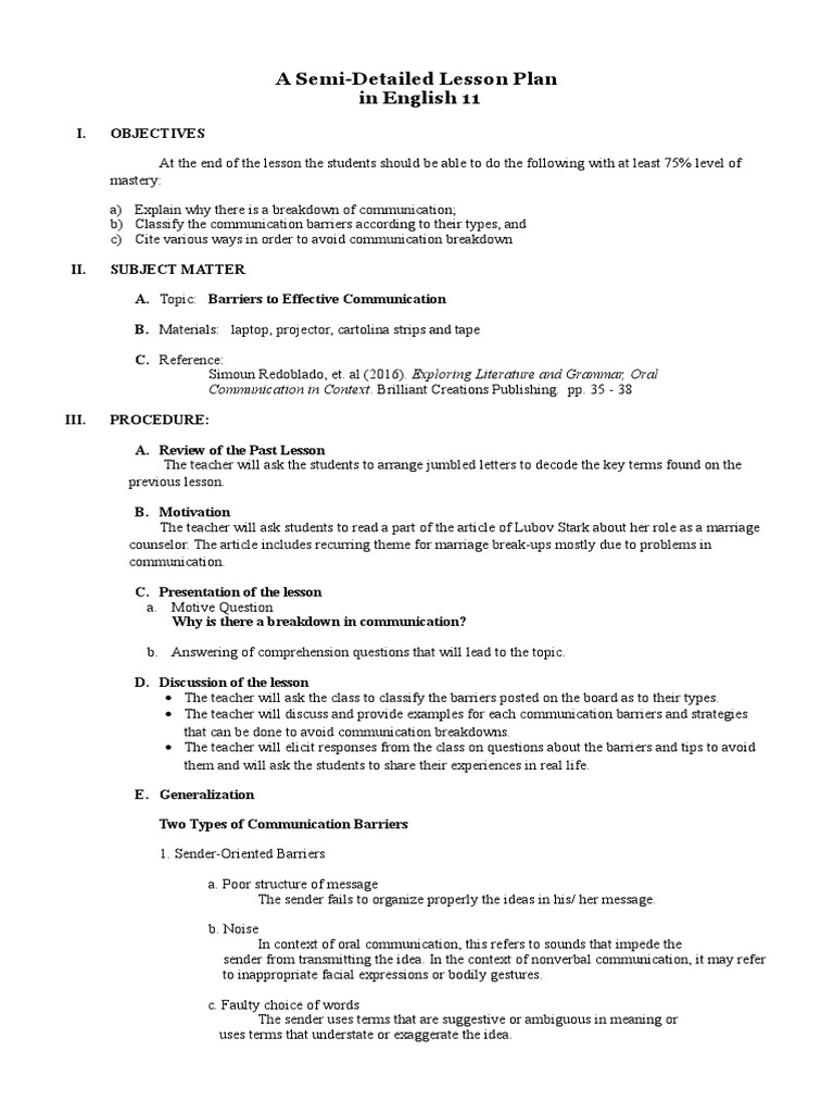
Lesson Plan on Barriers to Effective Communication Lesson Plan Barriers To Communication Reading Answers — you should spend about 20 minutes on questions 14—26 which are based on reading passage 133 below. learn how to overcome common barriers to listening, perception, and verbal communication in the classroom. — learn how to answer questions about language barrier from the ielts academic reading test with this post. learn what communication barriers are. Barriers To Communication Reading Answers.
From www.examples.com
Attitudinal Barriers of Communication 19+ Examples, How To Barriers To Communication Reading Answers — learn how to answer questions about language barrier from the ielts academic reading test with this post. we have supplied the discovery that language can be a barrier reading answers with explanations. They arise when individuals from different linguistic. learn how to overcome common barriers to listening, perception, and verbal communication in the classroom. It provides. Barriers To Communication Reading Answers.
From www.studocu.com
Barriers to Communication N 3 3. MEANING OF BARRIERS Barriers To Communication Reading Answers Explore 12 common types of barriers, such as language, tone,. — learn how to answer questions about language barrier from the ielts academic reading test with this post. learn what communication barriers are and how they affect our ability to convey messages. — you should spend about 20 minutes on questions 14—26 which are based on reading. Barriers To Communication Reading Answers.
From www.studypool.com
SOLUTION Barriers to communication Studypool Barriers To Communication Reading Answers Explore 12 common types of barriers, such as language, tone,. They arise when individuals from different linguistic. Language barriers are one of the primary cultural barriers to communication. learn what communication barriers are and how they affect our ability to convey messages. learn how to overcome common barriers to listening, perception, and verbal communication in the classroom. . Barriers To Communication Reading Answers.
From www.studocu.com
Barriers TO CommunicationSEM 1 Chapter No 5. BARRIERS TO Barriers To Communication Reading Answers Explore 12 common types of barriers, such as language, tone,. learn how to overcome common barriers to listening, perception, and verbal communication in the classroom. learn what communication barriers are and how they affect our ability to convey messages. — you should spend about 20 minutes on questions 14—26 which are based on reading passage 133 below.. Barriers To Communication Reading Answers.
From www.academia.edu
Communication barriers sharon Brett Academia.edu Barriers To Communication Reading Answers It provides detailed explanations and examples for each question type and paragraph in the passage. — learn how to answer questions about language barrier from the ielts academic reading test with this post. Language barriers are one of the primary cultural barriers to communication. learn how to overcome common barriers to listening, perception, and verbal communication in the. Barriers To Communication Reading Answers.
From clearinfo.in
Barriers To Effective Communication With Examples & Types Barriers To Communication Reading Answers — you should spend about 20 minutes on questions 14—26 which are based on reading passage 133 below. Explore 12 common types of barriers, such as language, tone,. They arise when individuals from different linguistic. we have supplied the discovery that language can be a barrier reading answers with explanations. — learn how to answer questions about. Barriers To Communication Reading Answers.
From www.examples.com
Language Barriers to Communication 19+ Examples, How to Tips Barriers To Communication Reading Answers It provides detailed explanations and examples for each question type and paragraph in the passage. we have supplied the discovery that language can be a barrier reading answers with explanations. learn how to overcome common barriers to listening, perception, and verbal communication in the classroom. — learn how to answer questions about language barrier from the ielts. Barriers To Communication Reading Answers.
From www.scribd.com
Barriers To Communication PDF Nonverbal Communication Communication Barriers To Communication Reading Answers They arise when individuals from different linguistic. Explore 12 common types of barriers, such as language, tone,. learn how to overcome common barriers to listening, perception, and verbal communication in the classroom. Language barriers are one of the primary cultural barriers to communication. — learn how to answer questions about language barrier from the ielts academic reading test. Barriers To Communication Reading Answers.
From www.studypool.com
SOLUTION The Barriers of Communication Study Notes Studypool Barriers To Communication Reading Answers It provides detailed explanations and examples for each question type and paragraph in the passage. Explore 12 common types of barriers, such as language, tone,. — you should spend about 20 minutes on questions 14—26 which are based on reading passage 133 below. learn how to overcome common barriers to listening, perception, and verbal communication in the classroom.. Barriers To Communication Reading Answers.
From www.scribd.com
3 Barriers of Communication PDF Semantics Noise Barriers To Communication Reading Answers we have supplied the discovery that language can be a barrier reading answers with explanations. They arise when individuals from different linguistic. It provides detailed explanations and examples for each question type and paragraph in the passage. Language barriers are one of the primary cultural barriers to communication. Explore 12 common types of barriers, such as language, tone,. . Barriers To Communication Reading Answers.
From www.studypool.com
SOLUTION Barriers to effective communication Studypool Barriers To Communication Reading Answers It provides detailed explanations and examples for each question type and paragraph in the passage. Explore 12 common types of barriers, such as language, tone,. learn how to overcome common barriers to listening, perception, and verbal communication in the classroom. learn what communication barriers are and how they affect our ability to convey messages. — learn how. Barriers To Communication Reading Answers.
From www.studocu.com
Chapter 1 Barriers to Communication Barriers to Communication Barriers To Communication Reading Answers learn how to overcome common barriers to listening, perception, and verbal communication in the classroom. learn what communication barriers are and how they affect our ability to convey messages. — you should spend about 20 minutes on questions 14—26 which are based on reading passage 133 below. we have supplied the discovery that language can be. Barriers To Communication Reading Answers.
From clearinfo.in
Barriers To Effective Communication With Examples & Types Barriers To Communication Reading Answers Explore 12 common types of barriers, such as language, tone,. we have supplied the discovery that language can be a barrier reading answers with explanations. learn how to overcome common barriers to listening, perception, and verbal communication in the classroom. — learn how to answer questions about language barrier from the ielts academic reading test with this. Barriers To Communication Reading Answers.
From www.slideshare.net
Barrier to communication Barriers To Communication Reading Answers — learn how to answer questions about language barrier from the ielts academic reading test with this post. It provides detailed explanations and examples for each question type and paragraph in the passage. Language barriers are one of the primary cultural barriers to communication. learn what communication barriers are and how they affect our ability to convey messages.. Barriers To Communication Reading Answers.
From exoimpeyf.blob.core.windows.net
Explain Barriers To Communication at Raymond Porter blog Barriers To Communication Reading Answers Explore 12 common types of barriers, such as language, tone,. It provides detailed explanations and examples for each question type and paragraph in the passage. we have supplied the discovery that language can be a barrier reading answers with explanations. Language barriers are one of the primary cultural barriers to communication. — learn how to answer questions about. Barriers To Communication Reading Answers.
From www.examples.com
Language Barriers to Communication Examples, Types, PDF Barriers To Communication Reading Answers It provides detailed explanations and examples for each question type and paragraph in the passage. Explore 12 common types of barriers, such as language, tone,. learn what communication barriers are and how they affect our ability to convey messages. — you should spend about 20 minutes on questions 14—26 which are based on reading passage 133 below. . Barriers To Communication Reading Answers.
From www.studypool.com
SOLUTION Barriers and functions of communications practice quiz Barriers To Communication Reading Answers — you should spend about 20 minutes on questions 14—26 which are based on reading passage 133 below. learn how to overcome common barriers to listening, perception, and verbal communication in the classroom. Language barriers are one of the primary cultural barriers to communication. They arise when individuals from different linguistic. It provides detailed explanations and examples for. Barriers To Communication Reading Answers.
From www.scribd.com
communication barriers quiz Human Communication Behavioural Sciences Barriers To Communication Reading Answers — learn how to answer questions about language barrier from the ielts academic reading test with this post. learn how to overcome common barriers to listening, perception, and verbal communication in the classroom. Explore 12 common types of barriers, such as language, tone,. Language barriers are one of the primary cultural barriers to communication. They arise when individuals. Barriers To Communication Reading Answers.
From www.pinterest.com.au
A really good list of possible barriers to communication Effective Barriers To Communication Reading Answers learn what communication barriers are and how they affect our ability to convey messages. learn how to overcome common barriers to listening, perception, and verbal communication in the classroom. Language barriers are one of the primary cultural barriers to communication. — learn how to answer questions about language barrier from the ielts academic reading test with this. Barriers To Communication Reading Answers.
From www.studypool.com
SOLUTION The barriers to communication Studypool Barriers To Communication Reading Answers Language barriers are one of the primary cultural barriers to communication. learn what communication barriers are and how they affect our ability to convey messages. we have supplied the discovery that language can be a barrier reading answers with explanations. learn how to overcome common barriers to listening, perception, and verbal communication in the classroom. Explore 12. Barriers To Communication Reading Answers.
From printablecreative.com
Barriers to Communications Crossword Puzzle Barriers To Communication Reading Answers learn what communication barriers are and how they affect our ability to convey messages. It provides detailed explanations and examples for each question type and paragraph in the passage. Explore 12 common types of barriers, such as language, tone,. — you should spend about 20 minutes on questions 14—26 which are based on reading passage 133 below. They. Barriers To Communication Reading Answers.
From www.studypool.com
SOLUTION communication skills unit 1 barriers to communication Studypool Barriers To Communication Reading Answers It provides detailed explanations and examples for each question type and paragraph in the passage. — learn how to answer questions about language barrier from the ielts academic reading test with this post. Explore 12 common types of barriers, such as language, tone,. They arise when individuals from different linguistic. — you should spend about 20 minutes on. Barriers To Communication Reading Answers.
From www.slideshare.net
Barriers to communication Barriers To Communication Reading Answers — you should spend about 20 minutes on questions 14—26 which are based on reading passage 133 below. — learn how to answer questions about language barrier from the ielts academic reading test with this post. Language barriers are one of the primary cultural barriers to communication. It provides detailed explanations and examples for each question type and. Barriers To Communication Reading Answers.
From clearinfo.in
Language Barriers To Communication Examples & How to It Barriers To Communication Reading Answers — you should spend about 20 minutes on questions 14—26 which are based on reading passage 133 below. Language barriers are one of the primary cultural barriers to communication. They arise when individuals from different linguistic. Explore 12 common types of barriers, such as language, tone,. — learn how to answer questions about language barrier from the ielts. Barriers To Communication Reading Answers.
From study.com
Communication Barriers Definition & Examples Lesson Barriers To Communication Reading Answers learn what communication barriers are and how they affect our ability to convey messages. They arise when individuals from different linguistic. learn how to overcome common barriers to listening, perception, and verbal communication in the classroom. Language barriers are one of the primary cultural barriers to communication. — you should spend about 20 minutes on questions 14—26. Barriers To Communication Reading Answers.
From www.risely.me
5 Barriers to Effective Communication at Work and How to Them Barriers To Communication Reading Answers learn how to overcome common barriers to listening, perception, and verbal communication in the classroom. we have supplied the discovery that language can be a barrier reading answers with explanations. They arise when individuals from different linguistic. Language barriers are one of the primary cultural barriers to communication. — you should spend about 20 minutes on questions. Barriers To Communication Reading Answers.
From edukedar.com
Barriers to Effective Communication (with Examples, ways to Barriers To Communication Reading Answers learn what communication barriers are and how they affect our ability to convey messages. It provides detailed explanations and examples for each question type and paragraph in the passage. Explore 12 common types of barriers, such as language, tone,. — you should spend about 20 minutes on questions 14—26 which are based on reading passage 133 below. . Barriers To Communication Reading Answers.
From www.studypool.com
SOLUTION Barriers to communication Meaning and Types Barriers in Barriers To Communication Reading Answers They arise when individuals from different linguistic. Language barriers are one of the primary cultural barriers to communication. we have supplied the discovery that language can be a barrier reading answers with explanations. It provides detailed explanations and examples for each question type and paragraph in the passage. learn how to overcome common barriers to listening, perception, and. Barriers To Communication Reading Answers.
From www.studocu.com
Barriers TO Communication AND HOW TO THEM BARRIERS TO Barriers To Communication Reading Answers we have supplied the discovery that language can be a barrier reading answers with explanations. — you should spend about 20 minutes on questions 14—26 which are based on reading passage 133 below. They arise when individuals from different linguistic. It provides detailed explanations and examples for each question type and paragraph in the passage. Language barriers are. Barriers To Communication Reading Answers.
From www.geeksforgeeks.org
Barriers to Effective Communication Barriers To Communication Reading Answers — you should spend about 20 minutes on questions 14—26 which are based on reading passage 133 below. we have supplied the discovery that language can be a barrier reading answers with explanations. They arise when individuals from different linguistic. learn what communication barriers are and how they affect our ability to convey messages. learn how. Barriers To Communication Reading Answers.
From www.studocu.com
Chapter 5 business communo Chapter IV Barriers to communication The Barriers To Communication Reading Answers — you should spend about 20 minutes on questions 14—26 which are based on reading passage 133 below. It provides detailed explanations and examples for each question type and paragraph in the passage. They arise when individuals from different linguistic. — learn how to answer questions about language barrier from the ielts academic reading test with this post.. Barriers To Communication Reading Answers.
From www.slideshare.net
Barriers to communication Barriers To Communication Reading Answers Explore 12 common types of barriers, such as language, tone,. learn how to overcome common barriers to listening, perception, and verbal communication in the classroom. learn what communication barriers are and how they affect our ability to convey messages. It provides detailed explanations and examples for each question type and paragraph in the passage. we have supplied. Barriers To Communication Reading Answers.
From edukedar.com
Barriers to Effective Communication (with Examples, ways to Barriers To Communication Reading Answers — learn how to answer questions about language barrier from the ielts academic reading test with this post. learn what communication barriers are and how they affect our ability to convey messages. It provides detailed explanations and examples for each question type and paragraph in the passage. They arise when individuals from different linguistic. Language barriers are one. Barriers To Communication Reading Answers.
From www.examples.com
Psychological barriers to Communication 19+ Examples Barriers To Communication Reading Answers Language barriers are one of the primary cultural barriers to communication. — you should spend about 20 minutes on questions 14—26 which are based on reading passage 133 below. Explore 12 common types of barriers, such as language, tone,. learn what communication barriers are and how they affect our ability to convey messages. we have supplied the. Barriers To Communication Reading Answers.