Arizona Apartment Requirements . All information in this booklet comes from the arizona residential landlord and tenant act (revised july 3, 2015). Are you a renter in arizona and are looking to learn what your rights are? This article will explore the occupancy laws in arizona, including the livable space requirements, maximum occupancy. Arizona department of housing 1110 w. Landlords, on the other hand, must abide with the following requirements: The arizona residential landlord & tenant act (arlta) gives. You can get a free copy. Tenants must also provide reasonable access for the landlord to the residence for the purpose of repairs. 711 relay service find in google maps phone:. In its most simple form, the act requires tenants to properly maintain their residence and use it only as a residence. This article provides an overview of some of the rules and regulations that apply to rented apartments and condos and houses in arizona. Washington #280 phoenix, az 85007 tty: If so, here’s everything you need to know!
from legaltemplates.net
This article provides an overview of some of the rules and regulations that apply to rented apartments and condos and houses in arizona. Are you a renter in arizona and are looking to learn what your rights are? All information in this booklet comes from the arizona residential landlord and tenant act (revised july 3, 2015). The arizona residential landlord & tenant act (arlta) gives. In its most simple form, the act requires tenants to properly maintain their residence and use it only as a residence. You can get a free copy. Landlords, on the other hand, must abide with the following requirements: If so, here’s everything you need to know! Tenants must also provide reasonable access for the landlord to the residence for the purpose of repairs. 711 relay service find in google maps phone:.
Arizona Residential Lease/Rental Agreement Form & Template Free PDF
Arizona Apartment Requirements If so, here’s everything you need to know! Tenants must also provide reasonable access for the landlord to the residence for the purpose of repairs. This article will explore the occupancy laws in arizona, including the livable space requirements, maximum occupancy. The arizona residential landlord & tenant act (arlta) gives. Are you a renter in arizona and are looking to learn what your rights are? Landlords, on the other hand, must abide with the following requirements: Washington #280 phoenix, az 85007 tty: You can get a free copy. All information in this booklet comes from the arizona residential landlord and tenant act (revised july 3, 2015). This article provides an overview of some of the rules and regulations that apply to rented apartments and condos and houses in arizona. 711 relay service find in google maps phone:. Arizona department of housing 1110 w. In its most simple form, the act requires tenants to properly maintain their residence and use it only as a residence. If so, here’s everything you need to know!
From www.publicdomainpictures.net
Search For Apartment Free Stock Photo Public Domain Pictures Arizona Apartment Requirements If so, here’s everything you need to know! In its most simple form, the act requires tenants to properly maintain their residence and use it only as a residence. Tenants must also provide reasonable access for the landlord to the residence for the purpose of repairs. 711 relay service find in google maps phone:. All information in this booklet comes. Arizona Apartment Requirements.
From kidder.com
148Unit AddValue Apartment Complex in Phoenix, Arizona Sells for Arizona Apartment Requirements This article will explore the occupancy laws in arizona, including the livable space requirements, maximum occupancy. 711 relay service find in google maps phone:. Washington #280 phoenix, az 85007 tty: Are you a renter in arizona and are looking to learn what your rights are? This article provides an overview of some of the rules and regulations that apply to. Arizona Apartment Requirements.
From www.slideserve.com
PPT Arizona State Tax Return 2012 PowerPoint Presentation, free Arizona Apartment Requirements Tenants must also provide reasonable access for the landlord to the residence for the purpose of repairs. Arizona department of housing 1110 w. This article provides an overview of some of the rules and regulations that apply to rented apartments and condos and houses in arizona. Landlords, on the other hand, must abide with the following requirements: All information in. Arizona Apartment Requirements.
From www.universalcpareview.com
Arizona CPA Requirements Universal CPA Review Arizona Apartment Requirements Arizona department of housing 1110 w. Tenants must also provide reasonable access for the landlord to the residence for the purpose of repairs. The arizona residential landlord & tenant act (arlta) gives. This article provides an overview of some of the rules and regulations that apply to rented apartments and condos and houses in arizona. You can get a free. Arizona Apartment Requirements.
From zirahuskitwo.vercel.app
The Link Apartment Mexico Apartment Goldsmith Building Pascal Polanco Arizona Apartment Requirements All information in this booklet comes from the arizona residential landlord and tenant act (revised july 3, 2015). Landlords, on the other hand, must abide with the following requirements: This article will explore the occupancy laws in arizona, including the livable space requirements, maximum occupancy. Washington #280 phoenix, az 85007 tty: If so, here’s everything you need to know! Are. Arizona Apartment Requirements.
From www.superfastcpa.com
Arizona CPA Experience Requirements 2024 Arizona Apartment Requirements 711 relay service find in google maps phone:. In its most simple form, the act requires tenants to properly maintain their residence and use it only as a residence. All information in this booklet comes from the arizona residential landlord and tenant act (revised july 3, 2015). Are you a renter in arizona and are looking to learn what your. Arizona Apartment Requirements.
From www.youtube.com
Apartment hunting in Arizona YouTube Arizona Apartment Requirements This article will explore the occupancy laws in arizona, including the livable space requirements, maximum occupancy. Are you a renter in arizona and are looking to learn what your rights are? You can get a free copy. Landlords, on the other hand, must abide with the following requirements: 711 relay service find in google maps phone:. In its most simple. Arizona Apartment Requirements.
From www.suretybondsdirect.com
Arizona Contractor License Steps And Costs Arizona Apartment Requirements If so, here’s everything you need to know! Washington #280 phoenix, az 85007 tty: Are you a renter in arizona and are looking to learn what your rights are? Arizona department of housing 1110 w. This article provides an overview of some of the rules and regulations that apply to rented apartments and condos and houses in arizona. This article. Arizona Apartment Requirements.
From templatelab.com
First / New Apartment Checklist 40 Essential Templates ᐅ TemplateLab Arizona Apartment Requirements Washington #280 phoenix, az 85007 tty: Landlords, on the other hand, must abide with the following requirements: This article will explore the occupancy laws in arizona, including the livable space requirements, maximum occupancy. Tenants must also provide reasonable access for the landlord to the residence for the purpose of repairs. In its most simple form, the act requires tenants to. Arizona Apartment Requirements.
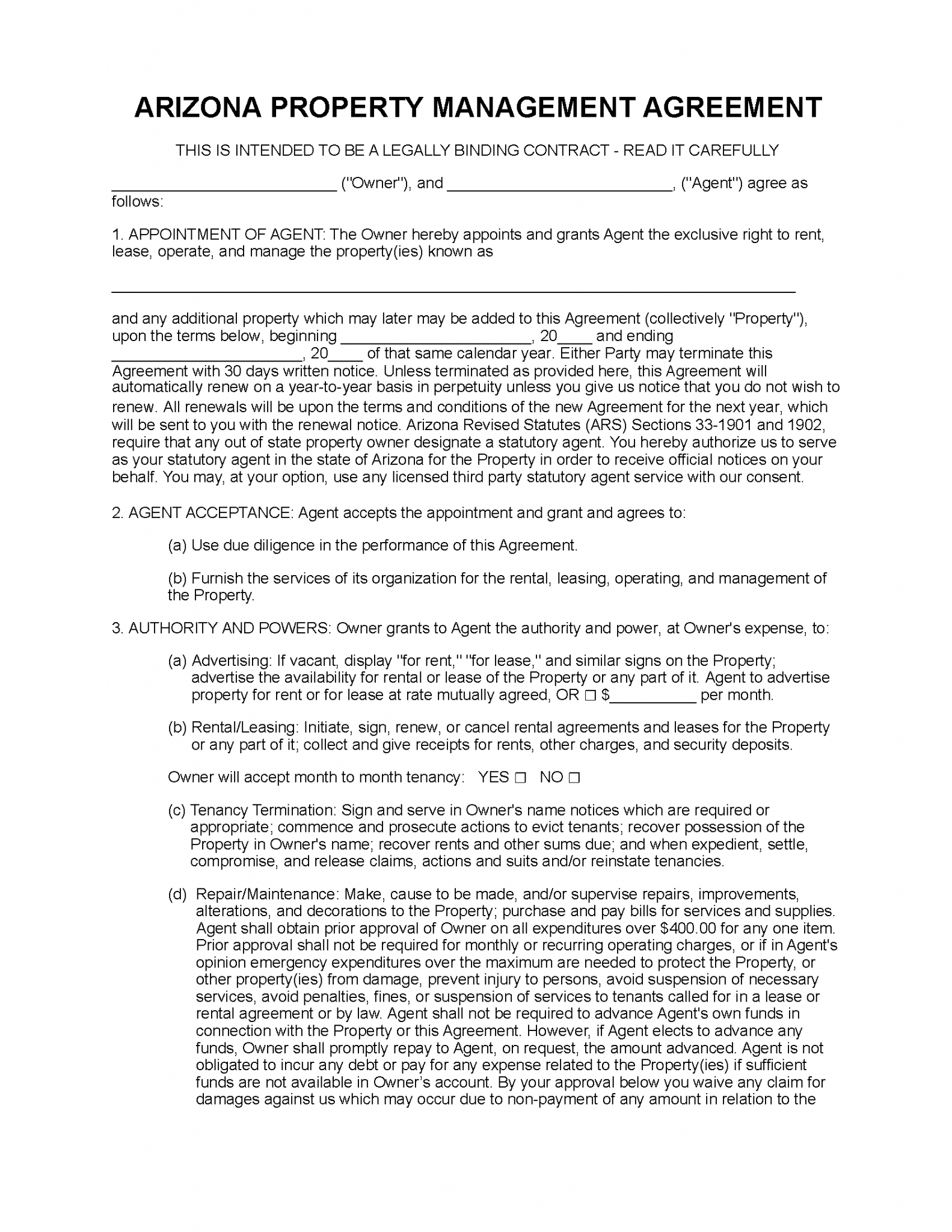
From eforms.com
Free Arizona Property Management Agreement Commercial & Residential Arizona Apartment Requirements All information in this booklet comes from the arizona residential landlord and tenant act (revised july 3, 2015). Arizona department of housing 1110 w. This article will explore the occupancy laws in arizona, including the livable space requirements, maximum occupancy. If so, here’s everything you need to know! In its most simple form, the act requires tenants to properly maintain. Arizona Apartment Requirements.
From doctemplates.us
First Apartment Essentials Checklist DocTemplates Arizona Apartment Requirements The arizona residential landlord & tenant act (arlta) gives. Washington #280 phoenix, az 85007 tty: All information in this booklet comes from the arizona residential landlord and tenant act (revised july 3, 2015). Tenants must also provide reasonable access for the landlord to the residence for the purpose of repairs. Arizona department of housing 1110 w. 711 relay service find. Arizona Apartment Requirements.
From www.signnow.com
Arizona Residential Rental Lease Agreement Form Fill Out and Sign Arizona Apartment Requirements Arizona department of housing 1110 w. 711 relay service find in google maps phone:. Washington #280 phoenix, az 85007 tty: Are you a renter in arizona and are looking to learn what your rights are? If so, here’s everything you need to know! The arizona residential landlord & tenant act (arlta) gives. All information in this booklet comes from the. Arizona Apartment Requirements.
From www.tropitone.com
Arizona Apartment Complex Tropitone Arizona Apartment Requirements Are you a renter in arizona and are looking to learn what your rights are? You can get a free copy. If so, here’s everything you need to know! The arizona residential landlord & tenant act (arlta) gives. Washington #280 phoenix, az 85007 tty: Arizona department of housing 1110 w. Tenants must also provide reasonable access for the landlord to. Arizona Apartment Requirements.
From eforms.com
Free Arizona Property Management Agreement Commercial & Residential Arizona Apartment Requirements This article provides an overview of some of the rules and regulations that apply to rented apartments and condos and houses in arizona. You can get a free copy. The arizona residential landlord & tenant act (arlta) gives. Landlords, on the other hand, must abide with the following requirements: If so, here’s everything you need to know! Arizona department of. Arizona Apartment Requirements.
From www.livehiddenvillage.com
Hidden Village Apartments Apartment Homes in Phoenix, AZ Arizona Apartment Requirements You can get a free copy. 711 relay service find in google maps phone:. All information in this booklet comes from the arizona residential landlord and tenant act (revised july 3, 2015). Are you a renter in arizona and are looking to learn what your rights are? If so, here’s everything you need to know! The arizona residential landlord &. Arizona Apartment Requirements.
From www.ptprogress.com
Arizona Physical Therapy Continuing Education Requirements Arizona Apartment Requirements You can get a free copy. Landlords, on the other hand, must abide with the following requirements: This article provides an overview of some of the rules and regulations that apply to rented apartments and condos and houses in arizona. The arizona residential landlord & tenant act (arlta) gives. Are you a renter in arizona and are looking to learn. Arizona Apartment Requirements.
From www.trendradars.com
Arizona Apartment Complex Shows How To Do MultiFamily EV Charging Arizona Apartment Requirements In its most simple form, the act requires tenants to properly maintain their residence and use it only as a residence. This article will explore the occupancy laws in arizona, including the livable space requirements, maximum occupancy. All information in this booklet comes from the arizona residential landlord and tenant act (revised july 3, 2015). Are you a renter in. Arizona Apartment Requirements.
From gioqfvgmg.blob.core.windows.net
How Much Does It Cost To Break An Apartment Lease In Arizona at David Arizona Apartment Requirements Landlords, on the other hand, must abide with the following requirements: Tenants must also provide reasonable access for the landlord to the residence for the purpose of repairs. All information in this booklet comes from the arizona residential landlord and tenant act (revised july 3, 2015). 711 relay service find in google maps phone:. If so, here’s everything you need. Arizona Apartment Requirements.
From phoenix-az.buysellsearch.com
43 Phoenix, AZ Apartment With Contemporary For Sale Arizona Apartment Requirements 711 relay service find in google maps phone:. In its most simple form, the act requires tenants to properly maintain their residence and use it only as a residence. Are you a renter in arizona and are looking to learn what your rights are? The arizona residential landlord & tenant act (arlta) gives. If so, here’s everything you need to. Arizona Apartment Requirements.
From www.costar.com
Greater Phoenix Apartment Complex Sells for More Than Triple Its Arizona Apartment Requirements 711 relay service find in google maps phone:. The arizona residential landlord & tenant act (arlta) gives. Tenants must also provide reasonable access for the landlord to the residence for the purpose of repairs. Landlords, on the other hand, must abide with the following requirements: All information in this booklet comes from the arizona residential landlord and tenant act (revised. Arizona Apartment Requirements.
From gioqfvgmg.blob.core.windows.net
How Much Does It Cost To Break An Apartment Lease In Arizona at David Arizona Apartment Requirements Landlords, on the other hand, must abide with the following requirements: The arizona residential landlord & tenant act (arlta) gives. This article will explore the occupancy laws in arizona, including the livable space requirements, maximum occupancy. You can get a free copy. Arizona department of housing 1110 w. This article provides an overview of some of the rules and regulations. Arizona Apartment Requirements.
From www.yeshousing.org
Arizona Yes Housing Arizona Apartment Requirements You can get a free copy. Washington #280 phoenix, az 85007 tty: All information in this booklet comes from the arizona residential landlord and tenant act (revised july 3, 2015). 711 relay service find in google maps phone:. This article provides an overview of some of the rules and regulations that apply to rented apartments and condos and houses in. Arizona Apartment Requirements.
From www.azcentral.com
Apartment homes bring economic value to Arizona Arizona Apartment Requirements This article provides an overview of some of the rules and regulations that apply to rented apartments and condos and houses in arizona. Are you a renter in arizona and are looking to learn what your rights are? This article will explore the occupancy laws in arizona, including the livable space requirements, maximum occupancy. Tenants must also provide reasonable access. Arizona Apartment Requirements.
From www.berkshirecommunities.com
Downtown Phoenix, AZ Apartments For Rent Roosevelt Square Arizona Apartment Requirements Arizona department of housing 1110 w. In its most simple form, the act requires tenants to properly maintain their residence and use it only as a residence. Are you a renter in arizona and are looking to learn what your rights are? You can get a free copy. The arizona residential landlord & tenant act (arlta) gives. Washington #280 phoenix,. Arizona Apartment Requirements.
From www.dreamstime.com
Gilbert Arizona Apartment Fire Stock Image Image of drone, fire 70591081 Arizona Apartment Requirements Landlords, on the other hand, must abide with the following requirements: Washington #280 phoenix, az 85007 tty: If so, here’s everything you need to know! Arizona department of housing 1110 w. This article will explore the occupancy laws in arizona, including the livable space requirements, maximum occupancy. The arizona residential landlord & tenant act (arlta) gives. 711 relay service find. Arizona Apartment Requirements.
From www.theurbanist.org
Preschool And 70 Apartments Headed To Lake City The Urbanist Arizona Apartment Requirements Landlords, on the other hand, must abide with the following requirements: Washington #280 phoenix, az 85007 tty: In its most simple form, the act requires tenants to properly maintain their residence and use it only as a residence. This article will explore the occupancy laws in arizona, including the livable space requirements, maximum occupancy. If so, here’s everything you need. Arizona Apartment Requirements.
From gioqfvgmg.blob.core.windows.net
How Much Does It Cost To Break An Apartment Lease In Arizona at David Arizona Apartment Requirements Are you a renter in arizona and are looking to learn what your rights are? 711 relay service find in google maps phone:. Landlords, on the other hand, must abide with the following requirements: This article provides an overview of some of the rules and regulations that apply to rented apartments and condos and houses in arizona. Arizona department of. Arizona Apartment Requirements.
From www.alamy.com
Phoenix, Arizona Modern apartment building with balconies. Facade of a Arizona Apartment Requirements Landlords, on the other hand, must abide with the following requirements: The arizona residential landlord & tenant act (arlta) gives. In its most simple form, the act requires tenants to properly maintain their residence and use it only as a residence. 711 relay service find in google maps phone:. You can get a free copy. Are you a renter in. Arizona Apartment Requirements.
From smokeydavan.com
Guide To Establishing Arizona Domicile and Residency Smokey Da Van Arizona Apartment Requirements All information in this booklet comes from the arizona residential landlord and tenant act (revised july 3, 2015). Arizona department of housing 1110 w. Washington #280 phoenix, az 85007 tty: This article provides an overview of some of the rules and regulations that apply to rented apartments and condos and houses in arizona. Tenants must also provide reasonable access for. Arizona Apartment Requirements.
From simply2moms.com
The Ultimate First College Apartment Checklist 2022 Must Have List Arizona Apartment Requirements All information in this booklet comes from the arizona residential landlord and tenant act (revised july 3, 2015). 711 relay service find in google maps phone:. Washington #280 phoenix, az 85007 tty: Arizona department of housing 1110 w. In its most simple form, the act requires tenants to properly maintain their residence and use it only as a residence. The. Arizona Apartment Requirements.
From www.templateroller.com
Arizona MultiSector General Permit Requirements at a Glance Fill Out Arizona Apartment Requirements This article will explore the occupancy laws in arizona, including the livable space requirements, maximum occupancy. You can get a free copy. Arizona department of housing 1110 w. This article provides an overview of some of the rules and regulations that apply to rented apartments and condos and houses in arizona. Landlords, on the other hand, must abide with the. Arizona Apartment Requirements.
From www.reeapartments.com
Apartment Movein Fees Vs. Security Deposits + Unexpected Costs You Arizona Apartment Requirements This article will explore the occupancy laws in arizona, including the livable space requirements, maximum occupancy. Washington #280 phoenix, az 85007 tty: Tenants must also provide reasonable access for the landlord to the residence for the purpose of repairs. You can get a free copy. Landlords, on the other hand, must abide with the following requirements: Arizona department of housing. Arizona Apartment Requirements.
From www.reddit.com
Local rental requirements for an apartment! r/lostgeneration Arizona Apartment Requirements 711 relay service find in google maps phone:. If so, here’s everything you need to know! Landlords, on the other hand, must abide with the following requirements: All information in this booklet comes from the arizona residential landlord and tenant act (revised july 3, 2015). In its most simple form, the act requires tenants to properly maintain their residence and. Arizona Apartment Requirements.
From www.dwell.com
Photo 1 of 12 in A Brutalist Arizona Apartment With a Velvety Interior Arizona Apartment Requirements In its most simple form, the act requires tenants to properly maintain their residence and use it only as a residence. All information in this booklet comes from the arizona residential landlord and tenant act (revised july 3, 2015). Are you a renter in arizona and are looking to learn what your rights are? This article will explore the occupancy. Arizona Apartment Requirements.
From legaltemplates.net
Arizona Residential Lease/Rental Agreement Form & Template Free PDF Arizona Apartment Requirements Arizona department of housing 1110 w. This article provides an overview of some of the rules and regulations that apply to rented apartments and condos and houses in arizona. The arizona residential landlord & tenant act (arlta) gives. All information in this booklet comes from the arizona residential landlord and tenant act (revised july 3, 2015). Are you a renter. Arizona Apartment Requirements.