Volusia County Rental Laws . This is a list of the volusia county law library’s resources for the topic of landlord / tenant law. 38 rows please see section 118.91 of the county’s code of ordinances for complete information on volusia county’s towing ordinance. Denotes where a resource is located and indicates. Tourist development tax, also known as “resort tax” or “bed tax”, is a local option transient rental tax collected by volusia. Katz & associates law firm. Rentals of less than 30 days are regulated under volusia county’s hotel/motel zoning rule. Landlord & tenant lawyers serving volusia.
from www.templateroller.com
Tourist development tax, also known as “resort tax” or “bed tax”, is a local option transient rental tax collected by volusia. 38 rows please see section 118.91 of the county’s code of ordinances for complete information on volusia county’s towing ordinance. Denotes where a resource is located and indicates. This is a list of the volusia county law library’s resources for the topic of landlord / tenant law. Landlord & tenant lawyers serving volusia. Katz & associates law firm. Rentals of less than 30 days are regulated under volusia county’s hotel/motel zoning rule.
County of Volusia, Florida Application for Temporary Meter Fill Out
Volusia County Rental Laws Denotes where a resource is located and indicates. Katz & associates law firm. Tourist development tax, also known as “resort tax” or “bed tax”, is a local option transient rental tax collected by volusia. Rentals of less than 30 days are regulated under volusia county’s hotel/motel zoning rule. 38 rows please see section 118.91 of the county’s code of ordinances for complete information on volusia county’s towing ordinance. Landlord & tenant lawyers serving volusia. This is a list of the volusia county law library’s resources for the topic of landlord / tenant law. Denotes where a resource is located and indicates.
From www.templateroller.com
Form CL03410606 Fill Out, Sign Online and Download Printable PDF Volusia County Rental Laws Katz & associates law firm. This is a list of the volusia county law library’s resources for the topic of landlord / tenant law. Tourist development tax, also known as “resort tax” or “bed tax”, is a local option transient rental tax collected by volusia. Landlord & tenant lawyers serving volusia. 38 rows please see section 118.91 of the county’s. Volusia County Rental Laws.
From www.pdffiller.com
Volusia County Eviction Forms Fill Online, Printable, Fillable, Blank Volusia County Rental Laws Tourist development tax, also known as “resort tax” or “bed tax”, is a local option transient rental tax collected by volusia. Denotes where a resource is located and indicates. Rentals of less than 30 days are regulated under volusia county’s hotel/motel zoning rule. Katz & associates law firm. This is a list of the volusia county law library’s resources for. Volusia County Rental Laws.
From www.pinterest.com
Volusia County Property Appraiser Limited Senior Volusia County Volusia County Rental Laws 38 rows please see section 118.91 of the county’s code of ordinances for complete information on volusia county’s towing ordinance. Tourist development tax, also known as “resort tax” or “bed tax”, is a local option transient rental tax collected by volusia. Landlord & tenant lawyers serving volusia. Katz & associates law firm. This is a list of the volusia county. Volusia County Rental Laws.
From www.wesh.com
Volusia County emergency rental assistance portal reopens Volusia County Rental Laws This is a list of the volusia county law library’s resources for the topic of landlord / tenant law. Denotes where a resource is located and indicates. Katz & associates law firm. 38 rows please see section 118.91 of the county’s code of ordinances for complete information on volusia county’s towing ordinance. Tourist development tax, also known as “resort tax”. Volusia County Rental Laws.
From eccurrent.com
Fireworks Laws in Volusia County and Florida East Coast Current Volusia County Rental Laws 38 rows please see section 118.91 of the county’s code of ordinances for complete information on volusia county’s towing ordinance. Landlord & tenant lawyers serving volusia. Denotes where a resource is located and indicates. Tourist development tax, also known as “resort tax” or “bed tax”, is a local option transient rental tax collected by volusia. Rentals of less than 30. Volusia County Rental Laws.
From www.templateroller.com
Form CL08240604 Fill Out, Sign Online and Download Printable PDF Volusia County Rental Laws This is a list of the volusia county law library’s resources for the topic of landlord / tenant law. 38 rows please see section 118.91 of the county’s code of ordinances for complete information on volusia county’s towing ordinance. Katz & associates law firm. Rentals of less than 30 days are regulated under volusia county’s hotel/motel zoning rule. Landlord &. Volusia County Rental Laws.
From beacononlinenews.com
Volusia County set to reopen Emergency Rental Assistance portal The Volusia County Rental Laws Rentals of less than 30 days are regulated under volusia county’s hotel/motel zoning rule. Tourist development tax, also known as “resort tax” or “bed tax”, is a local option transient rental tax collected by volusia. This is a list of the volusia county law library’s resources for the topic of landlord / tenant law. 38 rows please see section 118.91. Volusia County Rental Laws.
From www.templateroller.com
County of Volusia, Florida Application for Temporary Meter Fill Out Volusia County Rental Laws Landlord & tenant lawyers serving volusia. Katz & associates law firm. This is a list of the volusia county law library’s resources for the topic of landlord / tenant law. 38 rows please see section 118.91 of the county’s code of ordinances for complete information on volusia county’s towing ordinance. Denotes where a resource is located and indicates. Rentals of. Volusia County Rental Laws.
From www.observerlocalnews.com
Volusia County Council votes to keep shortterm rental ordinance as is Volusia County Rental Laws Denotes where a resource is located and indicates. Landlord & tenant lawyers serving volusia. Rentals of less than 30 days are regulated under volusia county’s hotel/motel zoning rule. Katz & associates law firm. This is a list of the volusia county law library’s resources for the topic of landlord / tenant law. 38 rows please see section 118.91 of the. Volusia County Rental Laws.
From bestneighborhood.org
Race, Diversity, and Ethnicity in Volusia County, FL Volusia County Rental Laws Katz & associates law firm. Denotes where a resource is located and indicates. Landlord & tenant lawyers serving volusia. This is a list of the volusia county law library’s resources for the topic of landlord / tenant law. Tourist development tax, also known as “resort tax” or “bed tax”, is a local option transient rental tax collected by volusia. Rentals. Volusia County Rental Laws.
From www.volusia.org
Planning and Development Services Volusia County Rental Laws Tourist development tax, also known as “resort tax” or “bed tax”, is a local option transient rental tax collected by volusia. Landlord & tenant lawyers serving volusia. Katz & associates law firm. Rentals of less than 30 days are regulated under volusia county’s hotel/motel zoning rule. Denotes where a resource is located and indicates. This is a list of the. Volusia County Rental Laws.
From www.news-journalonline.com
Volusia County Council considers lifting shortterm rental ban Volusia County Rental Laws Katz & associates law firm. Landlord & tenant lawyers serving volusia. Denotes where a resource is located and indicates. Tourist development tax, also known as “resort tax” or “bed tax”, is a local option transient rental tax collected by volusia. 38 rows please see section 118.91 of the county’s code of ordinances for complete information on volusia county’s towing ordinance.. Volusia County Rental Laws.
From www.observerlocalnews.com
Volusia County Council reverses decision on shortterm rental code Volusia County Rental Laws Landlord & tenant lawyers serving volusia. Denotes where a resource is located and indicates. Katz & associates law firm. 38 rows please see section 118.91 of the county’s code of ordinances for complete information on volusia county’s towing ordinance. This is a list of the volusia county law library’s resources for the topic of landlord / tenant law. Rentals of. Volusia County Rental Laws.
From ucreview.com
The 5 Worst Neighborhoods in Volusia County, Florida Volusia County Rental Laws Landlord & tenant lawyers serving volusia. Tourist development tax, also known as “resort tax” or “bed tax”, is a local option transient rental tax collected by volusia. 38 rows please see section 118.91 of the county’s code of ordinances for complete information on volusia county’s towing ordinance. Katz & associates law firm. This is a list of the volusia county. Volusia County Rental Laws.
From www.templateroller.com
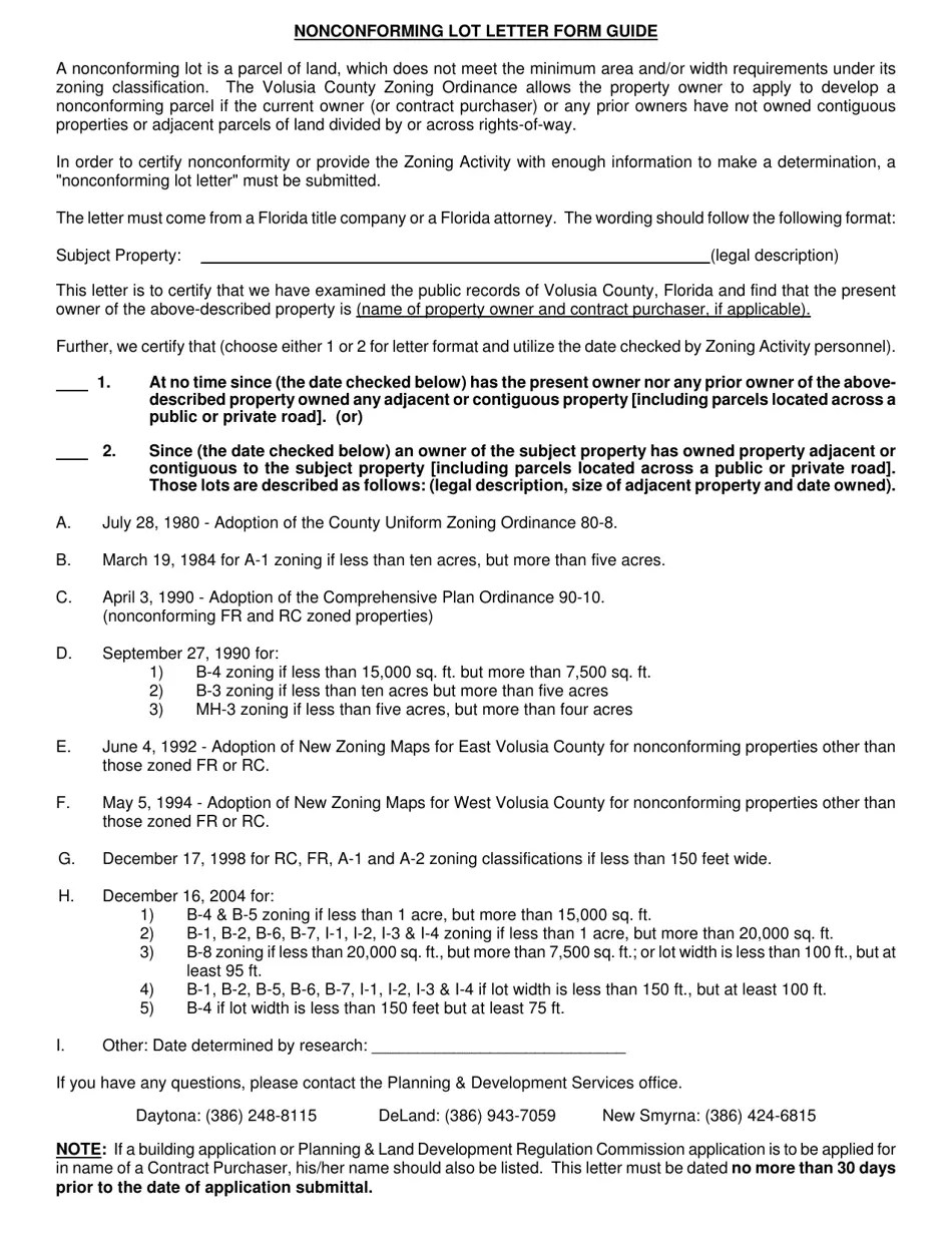
Volusia County, Florida Nonconforming Lot Letter Form Guide Fill Out Volusia County Rental Laws Katz & associates law firm. Rentals of less than 30 days are regulated under volusia county’s hotel/motel zoning rule. Tourist development tax, also known as “resort tax” or “bed tax”, is a local option transient rental tax collected by volusia. Landlord & tenant lawyers serving volusia. This is a list of the volusia county law library’s resources for the topic. Volusia County Rental Laws.
From www.templateroller.com
Volusia County, Florida Notice to Affected Nonparty Fill Out, Sign Volusia County Rental Laws Rentals of less than 30 days are regulated under volusia county’s hotel/motel zoning rule. Katz & associates law firm. Denotes where a resource is located and indicates. Tourist development tax, also known as “resort tax” or “bed tax”, is a local option transient rental tax collected by volusia. Landlord & tenant lawyers serving volusia. 38 rows please see section 118.91. Volusia County Rental Laws.
From crimegrade.org
Volusia County, FL Violent Crime Rates and Maps Volusia County Rental Laws 38 rows please see section 118.91 of the county’s code of ordinances for complete information on volusia county’s towing ordinance. Landlord & tenant lawyers serving volusia. Tourist development tax, also known as “resort tax” or “bed tax”, is a local option transient rental tax collected by volusia. Katz & associates law firm. This is a list of the volusia county. Volusia County Rental Laws.
From www.oceanspropertymanagement.com
Moving Out of State? Why You Should Rent Your Volusia County Home Volusia County Rental Laws Tourist development tax, also known as “resort tax” or “bed tax”, is a local option transient rental tax collected by volusia. 38 rows please see section 118.91 of the county’s code of ordinances for complete information on volusia county’s towing ordinance. Katz & associates law firm. Landlord & tenant lawyers serving volusia. Rentals of less than 30 days are regulated. Volusia County Rental Laws.
From business.floridasmart.com
Volusia County Florida Public School District Florida Smart Business Volusia County Rental Laws Denotes where a resource is located and indicates. Tourist development tax, also known as “resort tax” or “bed tax”, is a local option transient rental tax collected by volusia. Rentals of less than 30 days are regulated under volusia county’s hotel/motel zoning rule. This is a list of the volusia county law library’s resources for the topic of landlord /. Volusia County Rental Laws.
From en.wikipedia.org
Volusia County, Florida Wikipedia Volusia County Rental Laws Katz & associates law firm. This is a list of the volusia county law library’s resources for the topic of landlord / tenant law. Tourist development tax, also known as “resort tax” or “bed tax”, is a local option transient rental tax collected by volusia. Denotes where a resource is located and indicates. 38 rows please see section 118.91 of. Volusia County Rental Laws.
From www.atlasbig.com
Florida Volusia County Volusia County Rental Laws 38 rows please see section 118.91 of the county’s code of ordinances for complete information on volusia county’s towing ordinance. Katz & associates law firm. Landlord & tenant lawyers serving volusia. Denotes where a resource is located and indicates. Rentals of less than 30 days are regulated under volusia county’s hotel/motel zoning rule. Tourist development tax, also known as “resort. Volusia County Rental Laws.
From www.observerlocalnews.com
Volusia County judge upholds county's shortterm rental regulations Volusia County Rental Laws Denotes where a resource is located and indicates. 38 rows please see section 118.91 of the county’s code of ordinances for complete information on volusia county’s towing ordinance. Tourist development tax, also known as “resort tax” or “bed tax”, is a local option transient rental tax collected by volusia. Rentals of less than 30 days are regulated under volusia county’s. Volusia County Rental Laws.
From namecensus.com
Volusia County Zip Codes List of 67 Zip Codes in Volusia County, Florida Volusia County Rental Laws This is a list of the volusia county law library’s resources for the topic of landlord / tenant law. 38 rows please see section 118.91 of the county’s code of ordinances for complete information on volusia county’s towing ordinance. Denotes where a resource is located and indicates. Landlord & tenant lawyers serving volusia. Katz & associates law firm. Rentals of. Volusia County Rental Laws.
From www.scribd.com
Volusia County Surge Zone Volusia County Rental Laws 38 rows please see section 118.91 of the county’s code of ordinances for complete information on volusia county’s towing ordinance. This is a list of the volusia county law library’s resources for the topic of landlord / tenant law. Denotes where a resource is located and indicates. Landlord & tenant lawyers serving volusia. Rentals of less than 30 days are. Volusia County Rental Laws.
From studylib.net
Volusia County, Florida Volusia County Rental Laws Landlord & tenant lawyers serving volusia. Denotes where a resource is located and indicates. 38 rows please see section 118.91 of the county’s code of ordinances for complete information on volusia county’s towing ordinance. Tourist development tax, also known as “resort tax” or “bed tax”, is a local option transient rental tax collected by volusia. Katz & associates law firm.. Volusia County Rental Laws.
From www.news-journalonline.com
Volusia County vacation rental prohibition upheld by judge Volusia County Rental Laws This is a list of the volusia county law library’s resources for the topic of landlord / tenant law. Landlord & tenant lawyers serving volusia. Tourist development tax, also known as “resort tax” or “bed tax”, is a local option transient rental tax collected by volusia. Denotes where a resource is located and indicates. Rentals of less than 30 days. Volusia County Rental Laws.
From mapsofflorida.net
Political Map Of Volusia County Maps Of Florida Volusia County Rental Laws Tourist development tax, also known as “resort tax” or “bed tax”, is a local option transient rental tax collected by volusia. Landlord & tenant lawyers serving volusia. Denotes where a resource is located and indicates. 38 rows please see section 118.91 of the county’s code of ordinances for complete information on volusia county’s towing ordinance. Katz & associates law firm.. Volusia County Rental Laws.
From www.templateroller.com
County of Volusia, Florida Certification Electrical Service limited Volusia County Rental Laws This is a list of the volusia county law library’s resources for the topic of landlord / tenant law. Landlord & tenant lawyers serving volusia. Denotes where a resource is located and indicates. Rentals of less than 30 days are regulated under volusia county’s hotel/motel zoning rule. Tourist development tax, also known as “resort tax” or “bed tax”, is a. Volusia County Rental Laws.
From www.clickorlando.com
Volusia_County_Council Volusia County Rental Laws Landlord & tenant lawyers serving volusia. 38 rows please see section 118.91 of the county’s code of ordinances for complete information on volusia county’s towing ordinance. This is a list of the volusia county law library’s resources for the topic of landlord / tenant law. Katz & associates law firm. Rentals of less than 30 days are regulated under volusia. Volusia County Rental Laws.
From studylib.net
volusia county sheriff's office Volusia County Rental Laws Katz & associates law firm. Rentals of less than 30 days are regulated under volusia county’s hotel/motel zoning rule. Denotes where a resource is located and indicates. This is a list of the volusia county law library’s resources for the topic of landlord / tenant law. Tourist development tax, also known as “resort tax” or “bed tax”, is a local. Volusia County Rental Laws.
From www.templateroller.com
County of Volusia, Florida Contractor/Subcontractor Permit Listing Form Volusia County Rental Laws Rentals of less than 30 days are regulated under volusia county’s hotel/motel zoning rule. Denotes where a resource is located and indicates. Katz & associates law firm. This is a list of the volusia county law library’s resources for the topic of landlord / tenant law. Landlord & tenant lawyers serving volusia. 38 rows please see section 118.91 of the. Volusia County Rental Laws.
From storymaps.arcgis.com
Redistricting Volusia County Volusia County Rental Laws This is a list of the volusia county law library’s resources for the topic of landlord / tenant law. Rentals of less than 30 days are regulated under volusia county’s hotel/motel zoning rule. Tourist development tax, also known as “resort tax” or “bed tax”, is a local option transient rental tax collected by volusia. Katz & associates law firm. 38. Volusia County Rental Laws.
From www.templateroller.com
County of Volusia, Florida Permit Extension and/or Closure Request Volusia County Rental Laws Landlord & tenant lawyers serving volusia. Tourist development tax, also known as “resort tax” or “bed tax”, is a local option transient rental tax collected by volusia. 38 rows please see section 118.91 of the county’s code of ordinances for complete information on volusia county’s towing ordinance. Denotes where a resource is located and indicates. Rentals of less than 30. Volusia County Rental Laws.
From www.wmfe.org
Volusia County Manager To Leave Job This Week Local News 90.7 WMFE Volusia County Rental Laws 38 rows please see section 118.91 of the county’s code of ordinances for complete information on volusia county’s towing ordinance. This is a list of the volusia county law library’s resources for the topic of landlord / tenant law. Katz & associates law firm. Landlord & tenant lawyers serving volusia. Denotes where a resource is located and indicates. Tourist development. Volusia County Rental Laws.
From www.whereig.com
Volusia County Map, Florida, USA Cities, Population, Facts, Where is Volusia County Rental Laws 38 rows please see section 118.91 of the county’s code of ordinances for complete information on volusia county’s towing ordinance. Katz & associates law firm. Denotes where a resource is located and indicates. Rentals of less than 30 days are regulated under volusia county’s hotel/motel zoning rule. This is a list of the volusia county law library’s resources for the. Volusia County Rental Laws.