Attorney Client Privilege Discovery Objection . The legal concept of privilege underpins much of the daily interaction between lawyers and clients because it allows a client uninhibited access to. This page provides a cheat sheet for discovery. Discovery objections cheat sheet for common interrogatories and other discovery objections. The relationship of attorney and client existed when the communication was made; This article explains the key considerations for counsel seeking discovery about an opposing party's efforts to preserve data and comply. Clients need to be able to speak frankly and openly with their attorneys, but that should not be a blank check for defendants to cover up. How to object to improper discovery requests. In english law, litigation privilege has a broader scope than legal advice privilege, meaning that where an internal investigation relates to a contentious matter, it is likely to be a last line of.
from slideplayer.com
This page provides a cheat sheet for discovery. The legal concept of privilege underpins much of the daily interaction between lawyers and clients because it allows a client uninhibited access to. Discovery objections cheat sheet for common interrogatories and other discovery objections. The relationship of attorney and client existed when the communication was made; How to object to improper discovery requests. In english law, litigation privilege has a broader scope than legal advice privilege, meaning that where an internal investigation relates to a contentious matter, it is likely to be a last line of. Clients need to be able to speak frankly and openly with their attorneys, but that should not be a blank check for defendants to cover up. This article explains the key considerations for counsel seeking discovery about an opposing party's efforts to preserve data and comply.
Understanding and maintaining the attorneyclient privilege ppt download
Attorney Client Privilege Discovery Objection This page provides a cheat sheet for discovery. The relationship of attorney and client existed when the communication was made; This page provides a cheat sheet for discovery. In english law, litigation privilege has a broader scope than legal advice privilege, meaning that where an internal investigation relates to a contentious matter, it is likely to be a last line of. How to object to improper discovery requests. This article explains the key considerations for counsel seeking discovery about an opposing party's efforts to preserve data and comply. Discovery objections cheat sheet for common interrogatories and other discovery objections. The legal concept of privilege underpins much of the daily interaction between lawyers and clients because it allows a client uninhibited access to. Clients need to be able to speak frankly and openly with their attorneys, but that should not be a blank check for defendants to cover up.
From www.scribd.com
54 Upjohn Company v. US PDF AttorneyClient Privilege Discovery Attorney Client Privilege Discovery Objection In english law, litigation privilege has a broader scope than legal advice privilege, meaning that where an internal investigation relates to a contentious matter, it is likely to be a last line of. The legal concept of privilege underpins much of the daily interaction between lawyers and clients because it allows a client uninhibited access to. Discovery objections cheat sheet. Attorney Client Privilege Discovery Objection.
From www.scribd.com
1320 Jan 3, 2024 Attach Ment 18 Exhibit DE 184 PDF AttorneyClient Attorney Client Privilege Discovery Objection The legal concept of privilege underpins much of the daily interaction between lawyers and clients because it allows a client uninhibited access to. Clients need to be able to speak frankly and openly with their attorneys, but that should not be a blank check for defendants to cover up. The relationship of attorney and client existed when the communication was. Attorney Client Privilege Discovery Objection.
From www.youtube.com
Understanding Attorney Client Privilege Applicability & Limitations Attorney Client Privilege Discovery Objection The relationship of attorney and client existed when the communication was made; This article explains the key considerations for counsel seeking discovery about an opposing party's efforts to preserve data and comply. Clients need to be able to speak frankly and openly with their attorneys, but that should not be a blank check for defendants to cover up. How to. Attorney Client Privilege Discovery Objection.
From exovcsmhj.blob.core.windows.net
Attorney Client Privilege Discovery at Jimmy Milan blog Attorney Client Privilege Discovery Objection This page provides a cheat sheet for discovery. The legal concept of privilege underpins much of the daily interaction between lawyers and clients because it allows a client uninhibited access to. The relationship of attorney and client existed when the communication was made; This article explains the key considerations for counsel seeking discovery about an opposing party's efforts to preserve. Attorney Client Privilege Discovery Objection.
From www.youtube.com
AttorneyClient Privilege pt.1 The Basics YouTube Attorney Client Privilege Discovery Objection This page provides a cheat sheet for discovery. The relationship of attorney and client existed when the communication was made; Discovery objections cheat sheet for common interrogatories and other discovery objections. The legal concept of privilege underpins much of the daily interaction between lawyers and clients because it allows a client uninhibited access to. Clients need to be able to. Attorney Client Privilege Discovery Objection.
From www.scribd.com
Regala v. Sandiganbayan (1986) PDF AttorneyClient Privilege Attorney Client Privilege Discovery Objection Clients need to be able to speak frankly and openly with their attorneys, but that should not be a blank check for defendants to cover up. How to object to improper discovery requests. In english law, litigation privilege has a broader scope than legal advice privilege, meaning that where an internal investigation relates to a contentious matter, it is likely. Attorney Client Privilege Discovery Objection.
From exovcsmhj.blob.core.windows.net
Attorney Client Privilege Discovery at Jimmy Milan blog Attorney Client Privilege Discovery Objection The relationship of attorney and client existed when the communication was made; Clients need to be able to speak frankly and openly with their attorneys, but that should not be a blank check for defendants to cover up. This article explains the key considerations for counsel seeking discovery about an opposing party's efforts to preserve data and comply. Discovery objections. Attorney Client Privilege Discovery Objection.
From www.scribd.com
Client Attorney Privilege Discovery Process PDF Attorney Client Privilege Discovery Objection In english law, litigation privilege has a broader scope than legal advice privilege, meaning that where an internal investigation relates to a contentious matter, it is likely to be a last line of. This page provides a cheat sheet for discovery. How to object to improper discovery requests. Discovery objections cheat sheet for common interrogatories and other discovery objections. The. Attorney Client Privilege Discovery Objection.
From www.scribd.com
Attorney Client Privilege (Acp) vs. Duty of Confidentiality PDF Attorney Client Privilege Discovery Objection In english law, litigation privilege has a broader scope than legal advice privilege, meaning that where an internal investigation relates to a contentious matter, it is likely to be a last line of. How to object to improper discovery requests. The relationship of attorney and client existed when the communication was made; The legal concept of privilege underpins much of. Attorney Client Privilege Discovery Objection.
From www.scribd.com
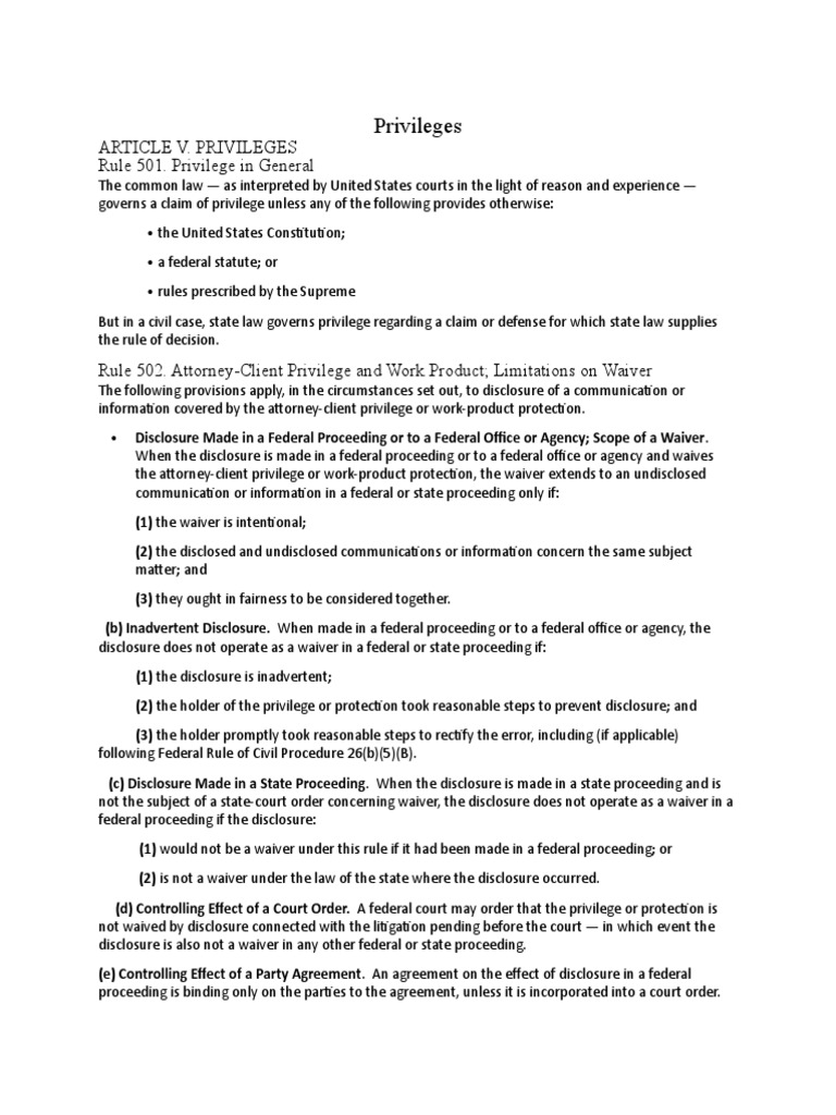
Privileges PDF AttorneyClient Privilege Discovery (Law) Attorney Client Privilege Discovery Objection How to object to improper discovery requests. The relationship of attorney and client existed when the communication was made; This page provides a cheat sheet for discovery. The legal concept of privilege underpins much of the daily interaction between lawyers and clients because it allows a client uninhibited access to. This article explains the key considerations for counsel seeking discovery. Attorney Client Privilege Discovery Objection.
From www.scribd.com
Sample Discovery Objections Discovery (Law) Discrimination Attorney Client Privilege Discovery Objection This page provides a cheat sheet for discovery. In english law, litigation privilege has a broader scope than legal advice privilege, meaning that where an internal investigation relates to a contentious matter, it is likely to be a last line of. Clients need to be able to speak frankly and openly with their attorneys, but that should not be a. Attorney Client Privilege Discovery Objection.
From www.scribd.com
Evidence Cases 3RD Batch PDF AttorneyClient Privilege Discovery Attorney Client Privilege Discovery Objection This article explains the key considerations for counsel seeking discovery about an opposing party's efforts to preserve data and comply. How to object to improper discovery requests. In english law, litigation privilege has a broader scope than legal advice privilege, meaning that where an internal investigation relates to a contentious matter, it is likely to be a last line of.. Attorney Client Privilege Discovery Objection.
From www.scribd.com
Jane Doe V Baylor Doc. No. 104 PDF AttorneyClient Privilege Attorney Client Privilege Discovery Objection This page provides a cheat sheet for discovery. The relationship of attorney and client existed when the communication was made; In english law, litigation privilege has a broader scope than legal advice privilege, meaning that where an internal investigation relates to a contentious matter, it is likely to be a last line of. Clients need to be able to speak. Attorney Client Privilege Discovery Objection.
From www.scribd.com
Middlesex v. Quest PDF AttorneyClient Privilege Discovery (Law) Attorney Client Privilege Discovery Objection This page provides a cheat sheet for discovery. The relationship of attorney and client existed when the communication was made; In english law, litigation privilege has a broader scope than legal advice privilege, meaning that where an internal investigation relates to a contentious matter, it is likely to be a last line of. The legal concept of privilege underpins much. Attorney Client Privilege Discovery Objection.
From attorney-faq.com
California When Asserting Attorney Client Objection Privilege Log Attorney Client Privilege Discovery Objection The relationship of attorney and client existed when the communication was made; In english law, litigation privilege has a broader scope than legal advice privilege, meaning that where an internal investigation relates to a contentious matter, it is likely to be a last line of. This page provides a cheat sheet for discovery. This article explains the key considerations for. Attorney Client Privilege Discovery Objection.
From legal.uworld.com
Evidence Quick Tip The AttorneyClient Privilege UWorld Legal Attorney Client Privilege Discovery Objection This page provides a cheat sheet for discovery. Discovery objections cheat sheet for common interrogatories and other discovery objections. This article explains the key considerations for counsel seeking discovery about an opposing party's efforts to preserve data and comply. In english law, litigation privilege has a broader scope than legal advice privilege, meaning that where an internal investigation relates to. Attorney Client Privilege Discovery Objection.
From hilgersgraben.com
attorneyclientprivilege Hilgers Graben Attorney Client Privilege Discovery Objection Clients need to be able to speak frankly and openly with their attorneys, but that should not be a blank check for defendants to cover up. This page provides a cheat sheet for discovery. This article explains the key considerations for counsel seeking discovery about an opposing party's efforts to preserve data and comply. How to object to improper discovery. Attorney Client Privilege Discovery Objection.
From www.dlgva.com
What to Know About Attorney Client Privilege During Discovery Davis Attorney Client Privilege Discovery Objection In english law, litigation privilege has a broader scope than legal advice privilege, meaning that where an internal investigation relates to a contentious matter, it is likely to be a last line of. This article explains the key considerations for counsel seeking discovery about an opposing party's efforts to preserve data and comply. The relationship of attorney and client existed. Attorney Client Privilege Discovery Objection.
From www.youtube.com
Attorney Client Privilege & Lawyer Confidentiality EXPLAINED YouTube Attorney Client Privilege Discovery Objection How to object to improper discovery requests. This article explains the key considerations for counsel seeking discovery about an opposing party's efforts to preserve data and comply. The relationship of attorney and client existed when the communication was made; This page provides a cheat sheet for discovery. Clients need to be able to speak frankly and openly with their attorneys,. Attorney Client Privilege Discovery Objection.
From exovcsmhj.blob.core.windows.net
Attorney Client Privilege Discovery at Jimmy Milan blog Attorney Client Privilege Discovery Objection In english law, litigation privilege has a broader scope than legal advice privilege, meaning that where an internal investigation relates to a contentious matter, it is likely to be a last line of. This page provides a cheat sheet for discovery. This article explains the key considerations for counsel seeking discovery about an opposing party's efforts to preserve data and. Attorney Client Privilege Discovery Objection.
From www.scribd.com
120717urologicalmotion 0 PDF AttorneyClient Privilege Discovery Attorney Client Privilege Discovery Objection This article explains the key considerations for counsel seeking discovery about an opposing party's efforts to preserve data and comply. This page provides a cheat sheet for discovery. The relationship of attorney and client existed when the communication was made; The legal concept of privilege underpins much of the daily interaction between lawyers and clients because it allows a client. Attorney Client Privilege Discovery Objection.
From www.scribd.com
129 Court Order Re Privilege PDF AttorneyClient Privilege Attorney Client Privilege Discovery Objection This article explains the key considerations for counsel seeking discovery about an opposing party's efforts to preserve data and comply. Clients need to be able to speak frankly and openly with their attorneys, but that should not be a blank check for defendants to cover up. The relationship of attorney and client existed when the communication was made; The legal. Attorney Client Privilege Discovery Objection.
From exovcsmhj.blob.core.windows.net
Attorney Client Privilege Discovery at Jimmy Milan blog Attorney Client Privilege Discovery Objection Discovery objections cheat sheet for common interrogatories and other discovery objections. The legal concept of privilege underpins much of the daily interaction between lawyers and clients because it allows a client uninhibited access to. Clients need to be able to speak frankly and openly with their attorneys, but that should not be a blank check for defendants to cover up.. Attorney Client Privilege Discovery Objection.
From kevinfisherlegal.com
Kevin Fisher Understanding the AttorneyClient Privilege Attorney Client Privilege Discovery Objection The legal concept of privilege underpins much of the daily interaction between lawyers and clients because it allows a client uninhibited access to. This article explains the key considerations for counsel seeking discovery about an opposing party's efforts to preserve data and comply. The relationship of attorney and client existed when the communication was made; In english law, litigation privilege. Attorney Client Privilege Discovery Objection.
From www.scribd.com
Discovery Checklist PDF AttorneyClient Privilege Discovery (Law) Attorney Client Privilege Discovery Objection This article explains the key considerations for counsel seeking discovery about an opposing party's efforts to preserve data and comply. Discovery objections cheat sheet for common interrogatories and other discovery objections. How to object to improper discovery requests. The relationship of attorney and client existed when the communication was made; Clients need to be able to speak frankly and openly. Attorney Client Privilege Discovery Objection.
From attorney-faq.com
Attorney Client Privilege And When It Applies Attorney Client Privilege Discovery Objection The relationship of attorney and client existed when the communication was made; Discovery objections cheat sheet for common interrogatories and other discovery objections. This page provides a cheat sheet for discovery. This article explains the key considerations for counsel seeking discovery about an opposing party's efforts to preserve data and comply. In english law, litigation privilege has a broader scope. Attorney Client Privilege Discovery Objection.
From www.scribd.com
2019 Jenner & Block AttorneyClient Privilege Handbook (Final) PDF Attorney Client Privilege Discovery Objection This article explains the key considerations for counsel seeking discovery about an opposing party's efforts to preserve data and comply. The legal concept of privilege underpins much of the daily interaction between lawyers and clients because it allows a client uninhibited access to. The relationship of attorney and client existed when the communication was made; Discovery objections cheat sheet for. Attorney Client Privilege Discovery Objection.
From attorneyatlawmagazine.com
Objecting to Discovery Problems With General Objections Attorney Client Privilege Discovery Objection This page provides a cheat sheet for discovery. This article explains the key considerations for counsel seeking discovery about an opposing party's efforts to preserve data and comply. The relationship of attorney and client existed when the communication was made; How to object to improper discovery requests. Discovery objections cheat sheet for common interrogatories and other discovery objections. In english. Attorney Client Privilege Discovery Objection.
From www.scribd.com
Fed Suit Motion For Bullard Investigation PDF AttorneyClient Attorney Client Privilege Discovery Objection The legal concept of privilege underpins much of the daily interaction between lawyers and clients because it allows a client uninhibited access to. How to object to improper discovery requests. This article explains the key considerations for counsel seeking discovery about an opposing party's efforts to preserve data and comply. This page provides a cheat sheet for discovery. Discovery objections. Attorney Client Privilege Discovery Objection.
From www.scribd.com
Wade Fights to Silence Terrence Bradley PDF AttorneyClient Attorney Client Privilege Discovery Objection Discovery objections cheat sheet for common interrogatories and other discovery objections. Clients need to be able to speak frankly and openly with their attorneys, but that should not be a blank check for defendants to cover up. This page provides a cheat sheet for discovery. The relationship of attorney and client existed when the communication was made; This article explains. Attorney Client Privilege Discovery Objection.
From attorney-faq.com
What Is Attorneyclient Privilege? Attorney Client Privilege Discovery Objection The relationship of attorney and client existed when the communication was made; The legal concept of privilege underpins much of the daily interaction between lawyers and clients because it allows a client uninhibited access to. Discovery objections cheat sheet for common interrogatories and other discovery objections. In english law, litigation privilege has a broader scope than legal advice privilege, meaning. Attorney Client Privilege Discovery Objection.
From www.scribd.com
Upjohn Co. vs. U.S PDF AttorneyClient Privilege Discovery (Law) Attorney Client Privilege Discovery Objection This page provides a cheat sheet for discovery. Clients need to be able to speak frankly and openly with their attorneys, but that should not be a blank check for defendants to cover up. How to object to improper discovery requests. Discovery objections cheat sheet for common interrogatories and other discovery objections. The relationship of attorney and client existed when. Attorney Client Privilege Discovery Objection.
From slideplayer.com
Understanding and maintaining the attorneyclient privilege ppt download Attorney Client Privilege Discovery Objection This article explains the key considerations for counsel seeking discovery about an opposing party's efforts to preserve data and comply. In english law, litigation privilege has a broader scope than legal advice privilege, meaning that where an internal investigation relates to a contentious matter, it is likely to be a last line of. The legal concept of privilege underpins much. Attorney Client Privilege Discovery Objection.
From www.youtube.com
How 2020 Vision Has Blurred Attorney Client Privilege in Incident Attorney Client Privilege Discovery Objection Clients need to be able to speak frankly and openly with their attorneys, but that should not be a blank check for defendants to cover up. This article explains the key considerations for counsel seeking discovery about an opposing party's efforts to preserve data and comply. This page provides a cheat sheet for discovery. The relationship of attorney and client. Attorney Client Privilege Discovery Objection.
From www.thomasianlaw.com
What is AttorneyClient Privilege? Attorney Client Privilege Discovery Objection The relationship of attorney and client existed when the communication was made; In english law, litigation privilege has a broader scope than legal advice privilege, meaning that where an internal investigation relates to a contentious matter, it is likely to be a last line of. Clients need to be able to speak frankly and openly with their attorneys, but that. Attorney Client Privilege Discovery Objection.