What Is Considered Trespassing In Illinois . Under the illinois criminal code, trespass is misdemeanor. Learn the elements and requirements of criminal trespass to real property in illinois, a class b misdemeanor. Find out the possible fines and imprisonment for different. Learn about the different types of criminal trespass in illinois, such as trespass to real property, residence, and vehicles. What is considered criminal trespassing? What constitutes criminal trespass in illinois? This can get you 30 days to 6 months in jail, and a maximum $500 fine. Learn what constitutes criminal trespassing in illinois and how it can be charged as a misdemeanor or a felony. Here’s what you need to know about what constitutes trespassing in this state: Criminal trespassing can, at its simplest, be defined as being on someone. In illinois, criminal trespass is defined under several statutes within the illinois. In illinois, trespassing is an act that infringes on another’s property rights.
from www.contrapositionmagazine.com
Learn what constitutes criminal trespassing in illinois and how it can be charged as a misdemeanor or a felony. Learn about the different types of criminal trespass in illinois, such as trespass to real property, residence, and vehicles. Find out the possible fines and imprisonment for different. In illinois, criminal trespass is defined under several statutes within the illinois. What constitutes criminal trespass in illinois? Criminal trespassing can, at its simplest, be defined as being on someone. In illinois, trespassing is an act that infringes on another’s property rights. Learn the elements and requirements of criminal trespass to real property in illinois, a class b misdemeanor. Here’s what you need to know about what constitutes trespassing in this state: Under the illinois criminal code, trespass is misdemeanor.
Illinois No Trespassing Form Form Resume Examples EZVgZvodYJ
What Is Considered Trespassing In Illinois What constitutes criminal trespass in illinois? In illinois, criminal trespass is defined under several statutes within the illinois. Under the illinois criminal code, trespass is misdemeanor. What constitutes criminal trespass in illinois? In illinois, trespassing is an act that infringes on another’s property rights. Find out the possible fines and imprisonment for different. Learn what constitutes criminal trespassing in illinois and how it can be charged as a misdemeanor or a felony. This can get you 30 days to 6 months in jail, and a maximum $500 fine. Here’s what you need to know about what constitutes trespassing in this state: What is considered criminal trespassing? Learn the elements and requirements of criminal trespass to real property in illinois, a class b misdemeanor. Learn about the different types of criminal trespass in illinois, such as trespass to real property, residence, and vehicles. Criminal trespassing can, at its simplest, be defined as being on someone.
From www.kfvs12.com
New "no trespassing" law in Illinois What Is Considered Trespassing In Illinois What is considered criminal trespassing? Criminal trespassing can, at its simplest, be defined as being on someone. This can get you 30 days to 6 months in jail, and a maximum $500 fine. In illinois, trespassing is an act that infringes on another’s property rights. Here’s what you need to know about what constitutes trespassing in this state: Find out. What Is Considered Trespassing In Illinois.
From www.pinterest.com
Trespassing Laws and Penalties Illinois Criminal Defense Attorney What Is Considered Trespassing In Illinois This can get you 30 days to 6 months in jail, and a maximum $500 fine. In illinois, criminal trespass is defined under several statutes within the illinois. In illinois, trespassing is an act that infringes on another’s property rights. Learn what constitutes criminal trespassing in illinois and how it can be charged as a misdemeanor or a felony. What. What Is Considered Trespassing In Illinois.
From gurionlegal.com
What Is Criminal Trespass in Phoenix? Gurion Legal What Is Considered Trespassing In Illinois Under the illinois criminal code, trespass is misdemeanor. Learn what constitutes criminal trespassing in illinois and how it can be charged as a misdemeanor or a felony. Find out the possible fines and imprisonment for different. Learn about the different types of criminal trespass in illinois, such as trespass to real property, residence, and vehicles. What constitutes criminal trespass in. What Is Considered Trespassing In Illinois.
From www.flickr.com
I&M RAILLINK NO TRESPASSING SIGN DAVIS JCT,ILLINOIS 9200… Flickr What Is Considered Trespassing In Illinois Learn what constitutes criminal trespassing in illinois and how it can be charged as a misdemeanor or a felony. Find out the possible fines and imprisonment for different. What constitutes criminal trespass in illinois? This can get you 30 days to 6 months in jail, and a maximum $500 fine. Learn the elements and requirements of criminal trespass to real. What Is Considered Trespassing In Illinois.
From www.killerurbex.com
Ultimate Guide To Trespassing Laws In All 50 States For 2023 Killer Urbex What Is Considered Trespassing In Illinois Criminal trespassing can, at its simplest, be defined as being on someone. This can get you 30 days to 6 months in jail, and a maximum $500 fine. In illinois, criminal trespass is defined under several statutes within the illinois. Learn what constitutes criminal trespassing in illinois and how it can be charged as a misdemeanor or a felony. What. What Is Considered Trespassing In Illinois.
From www.pinterest.com
Pin on Illinois. Property ownership What Is Considered Trespassing In Illinois In illinois, criminal trespass is defined under several statutes within the illinois. Here’s what you need to know about what constitutes trespassing in this state: What constitutes criminal trespass in illinois? Learn about the different types of criminal trespass in illinois, such as trespass to real property, residence, and vehicles. Under the illinois criminal code, trespass is misdemeanor. Learn the. What Is Considered Trespassing In Illinois.
From www.mysecuritysign.com
Illinois Private Property No Trespassing Sign, Horizontal, SKU K1125IL What Is Considered Trespassing In Illinois Learn about the different types of criminal trespass in illinois, such as trespass to real property, residence, and vehicles. In illinois, criminal trespass is defined under several statutes within the illinois. Find out the possible fines and imprisonment for different. What is considered criminal trespassing? Here’s what you need to know about what constitutes trespassing in this state: Under the. What Is Considered Trespassing In Illinois.
From www.pinterest.com
Pin on illinois criminal law resources What Is Considered Trespassing In Illinois Here’s what you need to know about what constitutes trespassing in this state: Learn about the different types of criminal trespass in illinois, such as trespass to real property, residence, and vehicles. Learn what constitutes criminal trespassing in illinois and how it can be charged as a misdemeanor or a felony. Learn the elements and requirements of criminal trespass to. What Is Considered Trespassing In Illinois.
From www.oflaherty-law.com
What Are Trespassing Laws in Indiana? What Is Considered Trespassing In Illinois This can get you 30 days to 6 months in jail, and a maximum $500 fine. In illinois, criminal trespass is defined under several statutes within the illinois. What constitutes criminal trespass in illinois? Learn what constitutes criminal trespassing in illinois and how it can be charged as a misdemeanor or a felony. Learn the elements and requirements of criminal. What Is Considered Trespassing In Illinois.
From www.uslegalforms.com
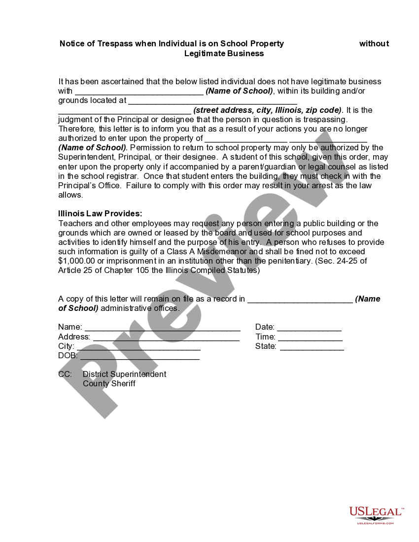
Illinois Notice of Trespass when Individual is on School Property What Is Considered Trespassing In Illinois Here’s what you need to know about what constitutes trespassing in this state: In illinois, trespassing is an act that infringes on another’s property rights. Learn what constitutes criminal trespassing in illinois and how it can be charged as a misdemeanor or a felony. Find out the possible fines and imprisonment for different. Criminal trespassing can, at its simplest, be. What Is Considered Trespassing In Illinois.
From www.deweybrinkleylaw.com
What's The Difference Between Trespassing And Criminal Trespassing In What Is Considered Trespassing In Illinois What constitutes criminal trespass in illinois? Here’s what you need to know about what constitutes trespassing in this state: Find out the possible fines and imprisonment for different. Learn what constitutes criminal trespassing in illinois and how it can be charged as a misdemeanor or a felony. In illinois, trespassing is an act that infringes on another’s property rights. What. What Is Considered Trespassing In Illinois.
From www.dochub.com
How to get a no trespass order in illinois Fill out & sign online DocHub What Is Considered Trespassing In Illinois Learn the elements and requirements of criminal trespass to real property in illinois, a class b misdemeanor. Learn what constitutes criminal trespassing in illinois and how it can be charged as a misdemeanor or a felony. What is considered criminal trespassing? This can get you 30 days to 6 months in jail, and a maximum $500 fine. Learn about the. What Is Considered Trespassing In Illinois.
From www.contrapositionmagazine.com
Illinois No Trespassing Form Form Resume Examples EZVgZvodYJ What Is Considered Trespassing In Illinois Criminal trespassing can, at its simplest, be defined as being on someone. What constitutes criminal trespass in illinois? In illinois, trespassing is an act that infringes on another’s property rights. Learn the elements and requirements of criminal trespass to real property in illinois, a class b misdemeanor. Under the illinois criminal code, trespass is misdemeanor. Learn what constitutes criminal trespassing. What Is Considered Trespassing In Illinois.
From edit-pdf.dochub.com
Illinois notice trespass Fill out & sign online DocHub What Is Considered Trespassing In Illinois Learn what constitutes criminal trespassing in illinois and how it can be charged as a misdemeanor or a felony. In illinois, trespassing is an act that infringes on another’s property rights. Learn about the different types of criminal trespass in illinois, such as trespass to real property, residence, and vehicles. Find out the possible fines and imprisonment for different. This. What Is Considered Trespassing In Illinois.
From www.chicagocriminallawyer.com
When Can Trespassing Land You Felony Charges in IL? What Is Considered Trespassing In Illinois In illinois, criminal trespass is defined under several statutes within the illinois. What is considered criminal trespassing? Under the illinois criminal code, trespass is misdemeanor. What constitutes criminal trespass in illinois? Here’s what you need to know about what constitutes trespassing in this state: This can get you 30 days to 6 months in jail, and a maximum $500 fine.. What Is Considered Trespassing In Illinois.
From criminaldefensefortcollins.com
Three Degrees of Trespassing in Fort Collins What is the Difference What Is Considered Trespassing In Illinois What constitutes criminal trespass in illinois? Learn what constitutes criminal trespassing in illinois and how it can be charged as a misdemeanor or a felony. Criminal trespassing can, at its simplest, be defined as being on someone. This can get you 30 days to 6 months in jail, and a maximum $500 fine. Under the illinois criminal code, trespass is. What Is Considered Trespassing In Illinois.
From columbuscriminaldefenseattorney.com
Criminal Trespass Charges Columbus Defense Attorney, James D. Owen What Is Considered Trespassing In Illinois What is considered criminal trespassing? Find out the possible fines and imprisonment for different. In illinois, trespassing is an act that infringes on another’s property rights. Learn the elements and requirements of criminal trespass to real property in illinois, a class b misdemeanor. Learn about the different types of criminal trespass in illinois, such as trespass to real property, residence,. What Is Considered Trespassing In Illinois.
From www.danburkelaw.com
What is Considered Trespassing in Texas? Dan Burke Attorney at Law What Is Considered Trespassing In Illinois What constitutes criminal trespass in illinois? Learn about the different types of criminal trespass in illinois, such as trespass to real property, residence, and vehicles. This can get you 30 days to 6 months in jail, and a maximum $500 fine. In illinois, criminal trespass is defined under several statutes within the illinois. Under the illinois criminal code, trespass is. What Is Considered Trespassing In Illinois.
From www.circadianrisk.com
Trespassing Risk Assessment Software and Security Compliance Tool What Is Considered Trespassing In Illinois Learn what constitutes criminal trespassing in illinois and how it can be charged as a misdemeanor or a felony. In illinois, criminal trespass is defined under several statutes within the illinois. This can get you 30 days to 6 months in jail, and a maximum $500 fine. Criminal trespassing can, at its simplest, be defined as being on someone. Learn. What Is Considered Trespassing In Illinois.
From www.chicagocriminallawyer.com
What Constitutes Criminal Trespass in Illinois? What Is Considered Trespassing In Illinois Under the illinois criminal code, trespass is misdemeanor. Criminal trespassing can, at its simplest, be defined as being on someone. What is considered criminal trespassing? In illinois, trespassing is an act that infringes on another’s property rights. In illinois, criminal trespass is defined under several statutes within the illinois. Here’s what you need to know about what constitutes trespassing in. What Is Considered Trespassing In Illinois.
From www.rrpicturearchives.net
C&IM no trespassing sign What Is Considered Trespassing In Illinois Here’s what you need to know about what constitutes trespassing in this state: Learn what constitutes criminal trespassing in illinois and how it can be charged as a misdemeanor or a felony. What constitutes criminal trespass in illinois? Find out the possible fines and imprisonment for different. Learn about the different types of criminal trespass in illinois, such as trespass. What Is Considered Trespassing In Illinois.
From www.legalmatch.com
What Are the Elements & Damages of Trespass to Land? LegalMatch What Is Considered Trespassing In Illinois Learn what constitutes criminal trespassing in illinois and how it can be charged as a misdemeanor or a felony. In illinois, trespassing is an act that infringes on another’s property rights. Here’s what you need to know about what constitutes trespassing in this state: Find out the possible fines and imprisonment for different. Criminal trespassing can, at its simplest, be. What Is Considered Trespassing In Illinois.
From www.bannerbuzz.com
Illinois Private Property No Trespassing Aluminum Sign (Non Reflective) What Is Considered Trespassing In Illinois Here’s what you need to know about what constitutes trespassing in this state: Learn about the different types of criminal trespass in illinois, such as trespass to real property, residence, and vehicles. In illinois, trespassing is an act that infringes on another’s property rights. What is considered criminal trespassing? In illinois, criminal trespass is defined under several statutes within the. What Is Considered Trespassing In Illinois.
From gonetramping.com
What Is Considered Trespassing In New Zealand We Have Gone Tramping What Is Considered Trespassing In Illinois This can get you 30 days to 6 months in jail, and a maximum $500 fine. Criminal trespassing can, at its simplest, be defined as being on someone. In illinois, trespassing is an act that infringes on another’s property rights. Under the illinois criminal code, trespass is misdemeanor. What constitutes criminal trespass in illinois? In illinois, criminal trespass is defined. What Is Considered Trespassing In Illinois.
From real-estate-crunch.com
What Is A Trespassing Warrant? Real Estate Crunch What Is Considered Trespassing In Illinois In illinois, criminal trespass is defined under several statutes within the illinois. What constitutes criminal trespass in illinois? Criminal trespassing can, at its simplest, be defined as being on someone. Here’s what you need to know about what constitutes trespassing in this state: This can get you 30 days to 6 months in jail, and a maximum $500 fine. Under. What Is Considered Trespassing In Illinois.
From www.pinterest.com
The National Association of Rural Landowners No trespassing signs What Is Considered Trespassing In Illinois Learn the elements and requirements of criminal trespass to real property in illinois, a class b misdemeanor. Find out the possible fines and imprisonment for different. Learn about the different types of criminal trespass in illinois, such as trespass to real property, residence, and vehicles. Here’s what you need to know about what constitutes trespassing in this state: Criminal trespassing. What Is Considered Trespassing In Illinois.
From www.lawyersnjurists.com
LAW OF TRESPASS TO GOODS The Lawyers & Jurists What Is Considered Trespassing In Illinois In illinois, trespassing is an act that infringes on another’s property rights. What constitutes criminal trespass in illinois? What is considered criminal trespassing? In illinois, criminal trespass is defined under several statutes within the illinois. Learn the elements and requirements of criminal trespass to real property in illinois, a class b misdemeanor. Under the illinois criminal code, trespass is misdemeanor.. What Is Considered Trespassing In Illinois.
From spslawoffice.com
What is Trespassing? » Criminal Defense & DUI/DWI Defense Baltimore County What Is Considered Trespassing In Illinois Learn about the different types of criminal trespass in illinois, such as trespass to real property, residence, and vehicles. Under the illinois criminal code, trespass is misdemeanor. Learn what constitutes criminal trespassing in illinois and how it can be charged as a misdemeanor or a felony. Criminal trespassing can, at its simplest, be defined as being on someone. In illinois,. What Is Considered Trespassing In Illinois.
From www.signnow.com
Illinois No Trespass Complete with ease airSlate SignNow What Is Considered Trespassing In Illinois In illinois, criminal trespass is defined under several statutes within the illinois. Learn about the different types of criminal trespass in illinois, such as trespass to real property, residence, and vehicles. Learn the elements and requirements of criminal trespass to real property in illinois, a class b misdemeanor. In illinois, trespassing is an act that infringes on another’s property rights.. What Is Considered Trespassing In Illinois.
From www.gotocourt.com.au
Trespass in the ACT What Are Your Civil Law Rights To Sue? What Is Considered Trespassing In Illinois In illinois, criminal trespass is defined under several statutes within the illinois. Criminal trespassing can, at its simplest, be defined as being on someone. Learn the elements and requirements of criminal trespass to real property in illinois, a class b misdemeanor. In illinois, trespassing is an act that infringes on another’s property rights. Learn what constitutes criminal trespassing in illinois. What Is Considered Trespassing In Illinois.
From www.chicagocriminallawyer.com
What Constitutes Criminal Trespass in Illinois? What Is Considered Trespassing In Illinois Criminal trespassing can, at its simplest, be defined as being on someone. Under the illinois criminal code, trespass is misdemeanor. Here’s what you need to know about what constitutes trespassing in this state: Learn the elements and requirements of criminal trespass to real property in illinois, a class b misdemeanor. This can get you 30 days to 6 months in. What Is Considered Trespassing In Illinois.
From www.skokiedefenseattorney.com
Criminal Trespass Lawyer Fighting Cases At Skokie Courthouse What Is Considered Trespassing In Illinois Here’s what you need to know about what constitutes trespassing in this state: Under the illinois criminal code, trespass is misdemeanor. What constitutes criminal trespass in illinois? In illinois, trespassing is an act that infringes on another’s property rights. This can get you 30 days to 6 months in jail, and a maximum $500 fine. In illinois, criminal trespass is. What Is Considered Trespassing In Illinois.
From levisolicitors.co.uk
Trespass to Land Levi Solicitors LLP What Is Considered Trespassing In Illinois This can get you 30 days to 6 months in jail, and a maximum $500 fine. In illinois, criminal trespass is defined under several statutes within the illinois. Learn the elements and requirements of criminal trespass to real property in illinois, a class b misdemeanor. Under the illinois criminal code, trespass is misdemeanor. Learn what constitutes criminal trespassing in illinois. What Is Considered Trespassing In Illinois.
From www.aerlawgroup.com
What Is Considered Criminal Trespass in California? What Is Considered Trespassing In Illinois What is considered criminal trespassing? Criminal trespassing can, at its simplest, be defined as being on someone. In illinois, trespassing is an act that infringes on another’s property rights. This can get you 30 days to 6 months in jail, and a maximum $500 fine. Find out the possible fines and imprisonment for different. Learn about the different types of. What Is Considered Trespassing In Illinois.
From kallyqrianon.pages.dev
Trespassing Law Illinois 2024 Sara Nellie What Is Considered Trespassing In Illinois Learn the elements and requirements of criminal trespass to real property in illinois, a class b misdemeanor. What is considered criminal trespassing? In illinois, criminal trespass is defined under several statutes within the illinois. Here’s what you need to know about what constitutes trespassing in this state: Criminal trespassing can, at its simplest, be defined as being on someone. Under. What Is Considered Trespassing In Illinois.