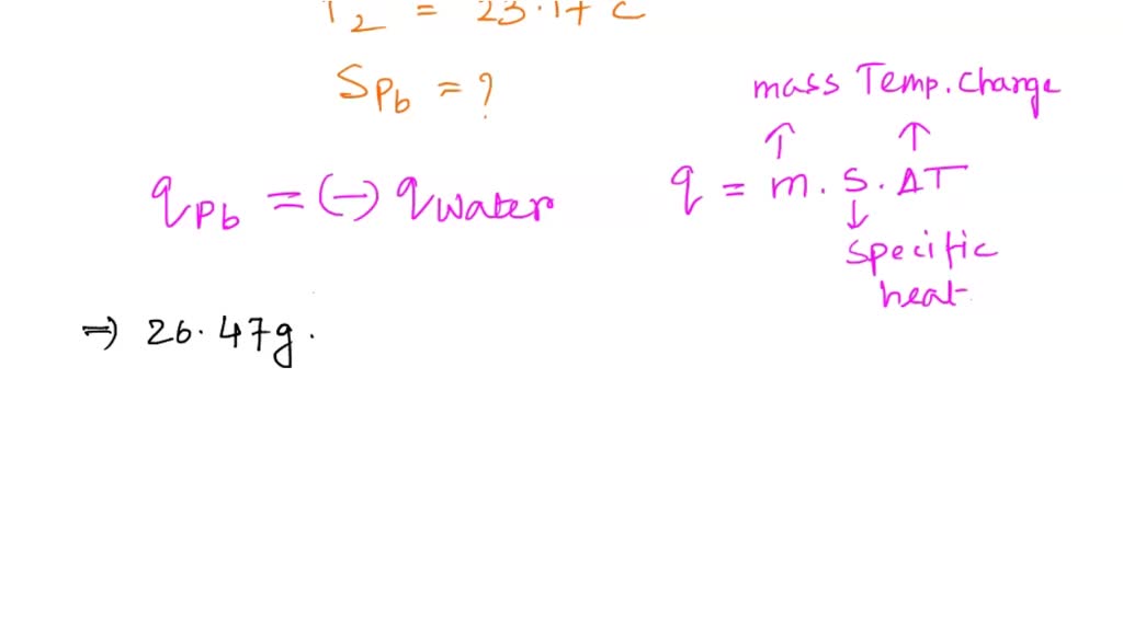
A Lead Pellet Having A Mass Of 26.47 . A lead (pb) pellet having a mass of 26.47 g at 89.98°c was placed in a calorimeter containing 100.0 ml of water. In this question, we are given the mass and initial and final temperatures of a lead pellet, as well as the change in temperature of. A lead (pb) pellet having a mass of 26.47 g at 89.989â°c was placed in a calorimeter containing 100.0 ml of water. A lead pellet having a mass of 26.47 grams at 89.98 degrees celsius is dropped into 100.0 grams of water in an insulated container. The water temperature rose from 22.50°c to 23.17°c. The water temperature rose from 22.50â°c to 23.18â°c.
from www.chegg.com
A lead (pb) pellet having a mass of 26.47 g at 89.98°c was placed in a calorimeter containing 100.0 ml of water. In this question, we are given the mass and initial and final temperatures of a lead pellet, as well as the change in temperature of. A lead pellet having a mass of 26.47 grams at 89.98 degrees celsius is dropped into 100.0 grams of water in an insulated container. A lead (pb) pellet having a mass of 26.47 g at 89.989â°c was placed in a calorimeter containing 100.0 ml of water. The water temperature rose from 22.50°c to 23.17°c. The water temperature rose from 22.50â°c to 23.18â°c.
Solved 4. An air rifle pellet of mass 2.0 g is fired
A Lead Pellet Having A Mass Of 26.47 A lead pellet having a mass of 26.47 grams at 89.98 degrees celsius is dropped into 100.0 grams of water in an insulated container. The water temperature rose from 22.50°c to 23.17°c. The water temperature rose from 22.50â°c to 23.18â°c. In this question, we are given the mass and initial and final temperatures of a lead pellet, as well as the change in temperature of. A lead (pb) pellet having a mass of 26.47 g at 89.98°c was placed in a calorimeter containing 100.0 ml of water. A lead pellet having a mass of 26.47 grams at 89.98 degrees celsius is dropped into 100.0 grams of water in an insulated container. A lead (pb) pellet having a mass of 26.47 g at 89.989â°c was placed in a calorimeter containing 100.0 ml of water.
From slideplayer.com
Heat changes in chemical reactions ppt download A Lead Pellet Having A Mass Of 26.47 A lead (pb) pellet having a mass of 26.47 g at 89.989â°c was placed in a calorimeter containing 100.0 ml of water. The water temperature rose from 22.50°c to 23.17°c. A lead pellet having a mass of 26.47 grams at 89.98 degrees celsius is dropped into 100.0 grams of water in an insulated container. The water temperature rose from 22.50â°c. A Lead Pellet Having A Mass Of 26.47.
From www.chegg.com
A lead pellet having a mass of 26.47g at 89.98\deg C A Lead Pellet Having A Mass Of 26.47 The water temperature rose from 22.50°c to 23.17°c. The water temperature rose from 22.50â°c to 23.18â°c. A lead pellet having a mass of 26.47 grams at 89.98 degrees celsius is dropped into 100.0 grams of water in an insulated container. A lead (pb) pellet having a mass of 26.47 g at 89.989â°c was placed in a calorimeter containing 100.0 ml. A Lead Pellet Having A Mass Of 26.47.
From www.ecologia-environmental.com
lead pellets in soil Ecologia Environmental A Lead Pellet Having A Mass Of 26.47 A lead pellet having a mass of 26.47 grams at 89.98 degrees celsius is dropped into 100.0 grams of water in an insulated container. In this question, we are given the mass and initial and final temperatures of a lead pellet, as well as the change in temperature of. A lead (pb) pellet having a mass of 26.47 g at. A Lead Pellet Having A Mass Of 26.47.
From www.chegg.com
Solved A pellet of an unknown metal having a mass of 30.02 A Lead Pellet Having A Mass Of 26.47 In this question, we are given the mass and initial and final temperatures of a lead pellet, as well as the change in temperature of. A lead (pb) pellet having a mass of 26.47 g at 89.989â°c was placed in a calorimeter containing 100.0 ml of water. A lead pellet having a mass of 26.47 grams at 89.98 degrees celsius. A Lead Pellet Having A Mass Of 26.47.
From www.sportsmansguide.com
Benjamin Hollow Point Lead Pellets, .177 Caliber, 7.9 grain, 750 Pack A Lead Pellet Having A Mass Of 26.47 The water temperature rose from 22.50°c to 23.17°c. In this question, we are given the mass and initial and final temperatures of a lead pellet, as well as the change in temperature of. A lead (pb) pellet having a mass of 26.47 g at 89.98°c was placed in a calorimeter containing 100.0 ml of water. A lead pellet having a. A Lead Pellet Having A Mass Of 26.47.
From www.numerade.com
SOLVED A copper pellet having mass of 26.47 g at 89.989C was placed in A Lead Pellet Having A Mass Of 26.47 The water temperature rose from 22.50â°c to 23.18â°c. A lead pellet having a mass of 26.47 grams at 89.98 degrees celsius is dropped into 100.0 grams of water in an insulated container. In this question, we are given the mass and initial and final temperatures of a lead pellet, as well as the change in temperature of. The water temperature. A Lead Pellet Having A Mass Of 26.47.
From www.numerade.com
A lead pellet having a mass of 26.47 g at 89.98 C was placed in a A Lead Pellet Having A Mass Of 26.47 The water temperature rose from 22.50°c to 23.17°c. In this question, we are given the mass and initial and final temperatures of a lead pellet, as well as the change in temperature of. A lead (pb) pellet having a mass of 26.47 g at 89.98°c was placed in a calorimeter containing 100.0 ml of water. A lead pellet having a. A Lead Pellet Having A Mass Of 26.47.
From mycrafts.com
HOW TO CAST LEAD .22 PELLETS! A Lead Pellet Having A Mass Of 26.47 A lead (pb) pellet having a mass of 26.47 g at 89.98°c was placed in a calorimeter containing 100.0 ml of water. A lead pellet having a mass of 26.47 grams at 89.98 degrees celsius is dropped into 100.0 grams of water in an insulated container. The water temperature rose from 22.50°c to 23.17°c. In this question, we are given. A Lead Pellet Having A Mass Of 26.47.
From www.chegg.com
Solved Lead pellets, each of mass 1.10 g, are heated to 200 A Lead Pellet Having A Mass Of 26.47 A lead pellet having a mass of 26.47 grams at 89.98 degrees celsius is dropped into 100.0 grams of water in an insulated container. A lead (pb) pellet having a mass of 26.47 g at 89.989â°c was placed in a calorimeter containing 100.0 ml of water. The water temperature rose from 22.50°c to 23.17°c. The water temperature rose from 22.50â°c. A Lead Pellet Having A Mass Of 26.47.
From www.dreamstime.com
Lead airgun pellets. stock image. Image of outdoor, game 124205245 A Lead Pellet Having A Mass Of 26.47 The water temperature rose from 22.50°c to 23.17°c. A lead (pb) pellet having a mass of 26.47 g at 89.98°c was placed in a calorimeter containing 100.0 ml of water. The water temperature rose from 22.50â°c to 23.18â°c. In this question, we are given the mass and initial and final temperatures of a lead pellet, as well as the change. A Lead Pellet Having A Mass Of 26.47.
From stock.adobe.com
Pile lead pellets for air rifle, diabolo pellets Stock Photo Adobe Stock A Lead Pellet Having A Mass Of 26.47 A lead (pb) pellet having a mass of 26.47 g at 89.989â°c was placed in a calorimeter containing 100.0 ml of water. The water temperature rose from 22.50°c to 23.17°c. A lead (pb) pellet having a mass of 26.47 g at 89.98°c was placed in a calorimeter containing 100.0 ml of water. In this question, we are given the mass. A Lead Pellet Having A Mass Of 26.47.
From www.chegg.com
Solved 8. A lead (Pb) pellet having a mass of 26.47 g at A Lead Pellet Having A Mass Of 26.47 In this question, we are given the mass and initial and final temperatures of a lead pellet, as well as the change in temperature of. A lead pellet having a mass of 26.47 grams at 89.98 degrees celsius is dropped into 100.0 grams of water in an insulated container. The water temperature rose from 22.50°c to 23.17°c. A lead (pb). A Lead Pellet Having A Mass Of 26.47.
From www.alamy.com
A can of lead pellets for an air gun. USA. White background Stock Photo A Lead Pellet Having A Mass Of 26.47 The water temperature rose from 22.50°c to 23.17°c. In this question, we are given the mass and initial and final temperatures of a lead pellet, as well as the change in temperature of. A lead (pb) pellet having a mass of 26.47 g at 89.989â°c was placed in a calorimeter containing 100.0 ml of water. A lead pellet having a. A Lead Pellet Having A Mass Of 26.47.
From www.kcsmallarms.com
Benjamin P50 Cylindrical Pellets .20 Pellet Lead Pointed Hunting Pellet A Lead Pellet Having A Mass Of 26.47 In this question, we are given the mass and initial and final temperatures of a lead pellet, as well as the change in temperature of. The water temperature rose from 22.50â°c to 23.18â°c. A lead (pb) pellet having a mass of 26.47 g at 89.98°c was placed in a calorimeter containing 100.0 ml of water. A lead pellet having a. A Lead Pellet Having A Mass Of 26.47.
From www.numerade.com
SOLVED Lead pellets, each of mass 1.00 g, are heated to 200 .^∘ C A Lead Pellet Having A Mass Of 26.47 The water temperature rose from 22.50â°c to 23.18â°c. In this question, we are given the mass and initial and final temperatures of a lead pellet, as well as the change in temperature of. A lead (pb) pellet having a mass of 26.47 g at 89.98°c was placed in a calorimeter containing 100.0 ml of water. The water temperature rose from. A Lead Pellet Having A Mass Of 26.47.
From www.dreamstime.com
Lead airgun pellets stock photo. Image of pellets, guns 185739584 A Lead Pellet Having A Mass Of 26.47 A lead (pb) pellet having a mass of 26.47 g at 89.98°c was placed in a calorimeter containing 100.0 ml of water. A lead pellet having a mass of 26.47 grams at 89.98 degrees celsius is dropped into 100.0 grams of water in an insulated container. In this question, we are given the mass and initial and final temperatures of. A Lead Pellet Having A Mass Of 26.47.
From www.dreamstime.com
A lot of lead pellet stock image. Image of projectile 1659075 A Lead Pellet Having A Mass Of 26.47 In this question, we are given the mass and initial and final temperatures of a lead pellet, as well as the change in temperature of. The water temperature rose from 22.50°c to 23.17°c. A lead (pb) pellet having a mass of 26.47 g at 89.98°c was placed in a calorimeter containing 100.0 ml of water. The water temperature rose from. A Lead Pellet Having A Mass Of 26.47.
From www.chegg.com
Solved 4. (14) A lead (Pb) pellet having a mass of 26.47 A Lead Pellet Having A Mass Of 26.47 A lead (pb) pellet having a mass of 26.47 g at 89.989â°c was placed in a calorimeter containing 100.0 ml of water. In this question, we are given the mass and initial and final temperatures of a lead pellet, as well as the change in temperature of. A lead (pb) pellet having a mass of 26.47 g at 89.98°c was. A Lead Pellet Having A Mass Of 26.47.
From texomaprecisionpellet.com
(50) Zeus 72 caliber 1275gr lead pellets Texoma Precision Pellet A Lead Pellet Having A Mass Of 26.47 A lead pellet having a mass of 26.47 grams at 89.98 degrees celsius is dropped into 100.0 grams of water in an insulated container. In this question, we are given the mass and initial and final temperatures of a lead pellet, as well as the change in temperature of. A lead (pb) pellet having a mass of 26.47 g at. A Lead Pellet Having A Mass Of 26.47.
From slideplayer.com
Energy and Chemical Change ppt download A Lead Pellet Having A Mass Of 26.47 The water temperature rose from 22.50°c to 23.17°c. A lead pellet having a mass of 26.47 grams at 89.98 degrees celsius is dropped into 100.0 grams of water in an insulated container. A lead (pb) pellet having a mass of 26.47 g at 89.989â°c was placed in a calorimeter containing 100.0 ml of water. The water temperature rose from 22.50â°c. A Lead Pellet Having A Mass Of 26.47.
From gunstuff.tv
Benjamin BD225 Domed .25 Lead Pellet 200 GunStuff A Lead Pellet Having A Mass Of 26.47 A lead (pb) pellet having a mass of 26.47 g at 89.98°c was placed in a calorimeter containing 100.0 ml of water. The water temperature rose from 22.50â°c to 23.18â°c. A lead (pb) pellet having a mass of 26.47 g at 89.989â°c was placed in a calorimeter containing 100.0 ml of water. In this question, we are given the mass. A Lead Pellet Having A Mass Of 26.47.
From solware.co.uk
JSB Exact Heavy 177 4.52 Lead Pellets A Lead Pellet Having A Mass Of 26.47 A lead (pb) pellet having a mass of 26.47 g at 89.98°c was placed in a calorimeter containing 100.0 ml of water. In this question, we are given the mass and initial and final temperatures of a lead pellet, as well as the change in temperature of. A lead pellet having a mass of 26.47 grams at 89.98 degrees celsius. A Lead Pellet Having A Mass Of 26.47.
From texomaprecisionpellet.com
(50) Zeus 72 caliber 1275gr lead pellets Texoma Precision Pellet A Lead Pellet Having A Mass Of 26.47 The water temperature rose from 22.50â°c to 23.18â°c. A lead pellet having a mass of 26.47 grams at 89.98 degrees celsius is dropped into 100.0 grams of water in an insulated container. A lead (pb) pellet having a mass of 26.47 g at 89.989â°c was placed in a calorimeter containing 100.0 ml of water. In this question, we are given. A Lead Pellet Having A Mass Of 26.47.
From wicked-store.com
GAMO MAGNUM ENERGY 4.5mm LEAD PELLETS x500 A Lead Pellet Having A Mass Of 26.47 A lead (pb) pellet having a mass of 26.47 g at 89.989â°c was placed in a calorimeter containing 100.0 ml of water. The water temperature rose from 22.50°c to 23.17°c. In this question, we are given the mass and initial and final temperatures of a lead pellet, as well as the change in temperature of. A lead (pb) pellet having. A Lead Pellet Having A Mass Of 26.47.
From slideplayer.com
Energy and Chemical Change ppt download A Lead Pellet Having A Mass Of 26.47 A lead (pb) pellet having a mass of 26.47 g at 89.989â°c was placed in a calorimeter containing 100.0 ml of water. The water temperature rose from 22.50â°c to 23.18â°c. The water temperature rose from 22.50°c to 23.17°c. A lead (pb) pellet having a mass of 26.47 g at 89.98°c was placed in a calorimeter containing 100.0 ml of water.. A Lead Pellet Having A Mass Of 26.47.
From www.sportsmansguide.com
150Pk. of .177 Highquality Lead Pellets 617038, Pellets & BB's at A Lead Pellet Having A Mass Of 26.47 The water temperature rose from 22.50°c to 23.17°c. In this question, we are given the mass and initial and final temperatures of a lead pellet, as well as the change in temperature of. A lead (pb) pellet having a mass of 26.47 g at 89.989â°c was placed in a calorimeter containing 100.0 ml of water. A lead (pb) pellet having. A Lead Pellet Having A Mass Of 26.47.
From www.dreamstime.com
Lead airgun pellets stock photo. Image of calibre, life 185739738 A Lead Pellet Having A Mass Of 26.47 The water temperature rose from 22.50°c to 23.17°c. The water temperature rose from 22.50â°c to 23.18â°c. A lead pellet having a mass of 26.47 grams at 89.98 degrees celsius is dropped into 100.0 grams of water in an insulated container. In this question, we are given the mass and initial and final temperatures of a lead pellet, as well as. A Lead Pellet Having A Mass Of 26.47.
From www.slideserve.com
PPT Calorimetry PowerPoint Presentation, free download ID1875569 A Lead Pellet Having A Mass Of 26.47 A lead pellet having a mass of 26.47 grams at 89.98 degrees celsius is dropped into 100.0 grams of water in an insulated container. In this question, we are given the mass and initial and final temperatures of a lead pellet, as well as the change in temperature of. A lead (pb) pellet having a mass of 26.47 g at. A Lead Pellet Having A Mass Of 26.47.
From periodictable.com
Lead BB gun pellets, a sample of the element Lead in the Periodic Table A Lead Pellet Having A Mass Of 26.47 In this question, we are given the mass and initial and final temperatures of a lead pellet, as well as the change in temperature of. A lead (pb) pellet having a mass of 26.47 g at 89.989â°c was placed in a calorimeter containing 100.0 ml of water. A lead (pb) pellet having a mass of 26.47 g at 89.98°c was. A Lead Pellet Having A Mass Of 26.47.
From journals.lww.com
Management of Ingested Lead Pellets With Elevated Blood Lead A Lead Pellet Having A Mass Of 26.47 A lead (pb) pellet having a mass of 26.47 g at 89.989â°c was placed in a calorimeter containing 100.0 ml of water. In this question, we are given the mass and initial and final temperatures of a lead pellet, as well as the change in temperature of. A lead (pb) pellet having a mass of 26.47 g at 89.98°c was. A Lead Pellet Having A Mass Of 26.47.
From www.slideserve.com
PPT 1 November 2011 PowerPoint Presentation, free download ID1549748 A Lead Pellet Having A Mass Of 26.47 A lead (pb) pellet having a mass of 26.47 g at 89.989â°c was placed in a calorimeter containing 100.0 ml of water. The water temperature rose from 22.50°c to 23.17°c. A lead (pb) pellet having a mass of 26.47 g at 89.98°c was placed in a calorimeter containing 100.0 ml of water. In this question, we are given the mass. A Lead Pellet Having A Mass Of 26.47.
From www.alamy.com
open shot gun cartridge showing lead pellets Stock Photo Alamy A Lead Pellet Having A Mass Of 26.47 A lead (pb) pellet having a mass of 26.47 g at 89.98°c was placed in a calorimeter containing 100.0 ml of water. The water temperature rose from 22.50°c to 23.17°c. A lead (pb) pellet having a mass of 26.47 g at 89.989â°c was placed in a calorimeter containing 100.0 ml of water. A lead pellet having a mass of 26.47. A Lead Pellet Having A Mass Of 26.47.
From www.chegg.com
Solved 4. An air rifle pellet of mass 2.0 g is fired A Lead Pellet Having A Mass Of 26.47 A lead (pb) pellet having a mass of 26.47 g at 89.989â°c was placed in a calorimeter containing 100.0 ml of water. The water temperature rose from 22.50â°c to 23.18â°c. A lead (pb) pellet having a mass of 26.47 g at 89.98°c was placed in a calorimeter containing 100.0 ml of water. The water temperature rose from 22.50°c to 23.17°c.. A Lead Pellet Having A Mass Of 26.47.
From atlasecommercellc.com
Crosman Premier Lead Pellets (500Count) ATLAS A Lead Pellet Having A Mass Of 26.47 In this question, we are given the mass and initial and final temperatures of a lead pellet, as well as the change in temperature of. A lead (pb) pellet having a mass of 26.47 g at 89.98°c was placed in a calorimeter containing 100.0 ml of water. The water temperature rose from 22.50â°c to 23.18â°c. A lead pellet having a. A Lead Pellet Having A Mass Of 26.47.
From texomaprecisionpellet.com
(50) Zeus 72 caliber 1275gr lead pellets Texoma Precision Pellet A Lead Pellet Having A Mass Of 26.47 A lead (pb) pellet having a mass of 26.47 g at 89.989â°c was placed in a calorimeter containing 100.0 ml of water. In this question, we are given the mass and initial and final temperatures of a lead pellet, as well as the change in temperature of. The water temperature rose from 22.50â°c to 23.18â°c. A lead (pb) pellet having. A Lead Pellet Having A Mass Of 26.47.