Tobacco Companies Have Actively Attempted To Remake . Melanie wakefield (a professor of applied psychology and researcher at the center for behavioral research in cancer in victoria,. Tobacco companies have actively attempted to remake their public image by launching a youth smoking prevention advertisement. Tobacco companies have actively attempted to remake their public image by launching a youth smoking prevention advertisement campaign. Tobacco companies have attempted to remake their public image by launching youth smoking prevention advertisement campaigns. The tobacco industry has actively attempted to remake its public image in response to evidence that it marketed products to youth and misled the. Notation for comparing two population means tobacco companies have actively attempted to remake their public image by launching a youth. Tobacco companies have actively attempted to remake their public image by launching a youth smoking prevention advertisement campaign.
from www.samaa.tv
Notation for comparing two population means tobacco companies have actively attempted to remake their public image by launching a youth. Tobacco companies have actively attempted to remake their public image by launching a youth smoking prevention advertisement. Tobacco companies have actively attempted to remake their public image by launching a youth smoking prevention advertisement campaign. Tobacco companies have attempted to remake their public image by launching youth smoking prevention advertisement campaigns. Tobacco companies have actively attempted to remake their public image by launching a youth smoking prevention advertisement campaign. The tobacco industry has actively attempted to remake its public image in response to evidence that it marketed products to youth and misled the. Melanie wakefield (a professor of applied psychology and researcher at the center for behavioral research in cancer in victoria,.
Deception, manipulation cause Rs567 billion loss to tobacco industry
Tobacco Companies Have Actively Attempted To Remake Notation for comparing two population means tobacco companies have actively attempted to remake their public image by launching a youth. Melanie wakefield (a professor of applied psychology and researcher at the center for behavioral research in cancer in victoria,. Tobacco companies have actively attempted to remake their public image by launching a youth smoking prevention advertisement. The tobacco industry has actively attempted to remake its public image in response to evidence that it marketed products to youth and misled the. Tobacco companies have actively attempted to remake their public image by launching a youth smoking prevention advertisement campaign. Notation for comparing two population means tobacco companies have actively attempted to remake their public image by launching a youth. Tobacco companies have actively attempted to remake their public image by launching a youth smoking prevention advertisement campaign. Tobacco companies have attempted to remake their public image by launching youth smoking prevention advertisement campaigns.
From www.chegg.com
Solved Tobacco companies have actively attempted to remake Tobacco Companies Have Actively Attempted To Remake Tobacco companies have attempted to remake their public image by launching youth smoking prevention advertisement campaigns. Tobacco companies have actively attempted to remake their public image by launching a youth smoking prevention advertisement. Melanie wakefield (a professor of applied psychology and researcher at the center for behavioral research in cancer in victoria,. The tobacco industry has actively attempted to remake. Tobacco Companies Have Actively Attempted To Remake.
From www.coursehero.com
[Solved] Tobacco companies have actively attempted to remake their Tobacco Companies Have Actively Attempted To Remake Tobacco companies have actively attempted to remake their public image by launching a youth smoking prevention advertisement campaign. Melanie wakefield (a professor of applied psychology and researcher at the center for behavioral research in cancer in victoria,. Tobacco companies have actively attempted to remake their public image by launching a youth smoking prevention advertisement campaign. Tobacco companies have actively attempted. Tobacco Companies Have Actively Attempted To Remake.
From www.businessupturn.com
Top 5 cigarette/tobacco companies in the world in terms of market cap Tobacco Companies Have Actively Attempted To Remake Tobacco companies have actively attempted to remake their public image by launching a youth smoking prevention advertisement. Notation for comparing two population means tobacco companies have actively attempted to remake their public image by launching a youth. The tobacco industry has actively attempted to remake its public image in response to evidence that it marketed products to youth and misled. Tobacco Companies Have Actively Attempted To Remake.
From www.chegg.com
Solved Tobacco companies have actively attempted to remake Tobacco Companies Have Actively Attempted To Remake Tobacco companies have attempted to remake their public image by launching youth smoking prevention advertisement campaigns. Tobacco companies have actively attempted to remake their public image by launching a youth smoking prevention advertisement campaign. Tobacco companies have actively attempted to remake their public image by launching a youth smoking prevention advertisement. The tobacco industry has actively attempted to remake its. Tobacco Companies Have Actively Attempted To Remake.
From www.nytimes.com
F.D.A. Warns 3 Tobacco Makers About Language Used on Labels The New Tobacco Companies Have Actively Attempted To Remake Tobacco companies have attempted to remake their public image by launching youth smoking prevention advertisement campaigns. Tobacco companies have actively attempted to remake their public image by launching a youth smoking prevention advertisement campaign. Melanie wakefield (a professor of applied psychology and researcher at the center for behavioral research in cancer in victoria,. Notation for comparing two population means tobacco. Tobacco Companies Have Actively Attempted To Remake.
From timesofmalta.com
Tobacco companies spared attempted murder charges in Holland Tobacco Companies Have Actively Attempted To Remake Tobacco companies have actively attempted to remake their public image by launching a youth smoking prevention advertisement campaign. Notation for comparing two population means tobacco companies have actively attempted to remake their public image by launching a youth. Tobacco companies have attempted to remake their public image by launching youth smoking prevention advertisement campaigns. Tobacco companies have actively attempted to. Tobacco Companies Have Actively Attempted To Remake.
From time.news
Are the tobacco companies doomed to disappear? TIme News Tobacco Companies Have Actively Attempted To Remake Melanie wakefield (a professor of applied psychology and researcher at the center for behavioral research in cancer in victoria,. Tobacco companies have actively attempted to remake their public image by launching a youth smoking prevention advertisement campaign. Tobacco companies have actively attempted to remake their public image by launching a youth smoking prevention advertisement. Tobacco companies have actively attempted to. Tobacco Companies Have Actively Attempted To Remake.
From apnews.com
Age limit now 21 across US for cigarettes, tobacco products AP News Tobacco Companies Have Actively Attempted To Remake Tobacco companies have actively attempted to remake their public image by launching a youth smoking prevention advertisement campaign. Tobacco companies have attempted to remake their public image by launching youth smoking prevention advertisement campaigns. Melanie wakefield (a professor of applied psychology and researcher at the center for behavioral research in cancer in victoria,. The tobacco industry has actively attempted to. Tobacco Companies Have Actively Attempted To Remake.
From www.chegg.com
Solved Tobacco companies have actively attempted to remake Tobacco Companies Have Actively Attempted To Remake Notation for comparing two population means tobacco companies have actively attempted to remake their public image by launching a youth. Tobacco companies have actively attempted to remake their public image by launching a youth smoking prevention advertisement campaign. Melanie wakefield (a professor of applied psychology and researcher at the center for behavioral research in cancer in victoria,. Tobacco companies have. Tobacco Companies Have Actively Attempted To Remake.
From seatca.org
WNTD 2022 Tobacco industry harms people and SEATCA Tobacco Companies Have Actively Attempted To Remake Tobacco companies have actively attempted to remake their public image by launching a youth smoking prevention advertisement campaign. Tobacco companies have attempted to remake their public image by launching youth smoking prevention advertisement campaigns. The tobacco industry has actively attempted to remake its public image in response to evidence that it marketed products to youth and misled the. Notation for. Tobacco Companies Have Actively Attempted To Remake.
From www.numerade.com
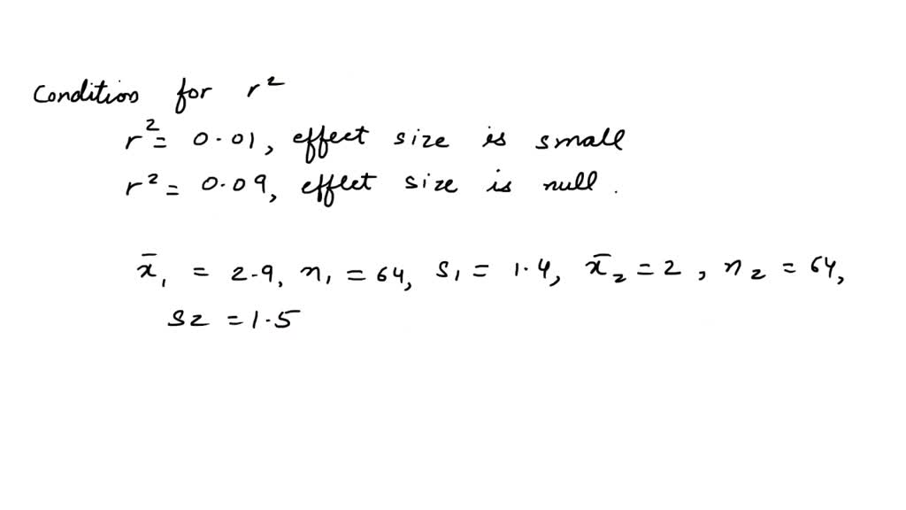
SOLVED "Attempts Effect size for independentmcasures test Cohen'and Tobacco Companies Have Actively Attempted To Remake Tobacco companies have attempted to remake their public image by launching youth smoking prevention advertisement campaigns. Tobacco companies have actively attempted to remake their public image by launching a youth smoking prevention advertisement campaign. Melanie wakefield (a professor of applied psychology and researcher at the center for behavioral research in cancer in victoria,. Tobacco companies have actively attempted to remake. Tobacco Companies Have Actively Attempted To Remake.
From www.samaa.tv
Deception, manipulation cause Rs567 billion loss to tobacco industry Tobacco Companies Have Actively Attempted To Remake The tobacco industry has actively attempted to remake its public image in response to evidence that it marketed products to youth and misled the. Tobacco companies have actively attempted to remake their public image by launching a youth smoking prevention advertisement campaign. Melanie wakefield (a professor of applied psychology and researcher at the center for behavioral research in cancer in. Tobacco Companies Have Actively Attempted To Remake.
From www.chegg.com
Solved Tobacco companies have actively attempted to remake Tobacco Companies Have Actively Attempted To Remake Melanie wakefield (a professor of applied psychology and researcher at the center for behavioral research in cancer in victoria,. Tobacco companies have actively attempted to remake their public image by launching a youth smoking prevention advertisement. The tobacco industry has actively attempted to remake its public image in response to evidence that it marketed products to youth and misled the.. Tobacco Companies Have Actively Attempted To Remake.
From www.chegg.com
Solved Tobacco companies have actively attempted to remake Tobacco Companies Have Actively Attempted To Remake The tobacco industry has actively attempted to remake its public image in response to evidence that it marketed products to youth and misled the. Melanie wakefield (a professor of applied psychology and researcher at the center for behavioral research in cancer in victoria,. Tobacco companies have actively attempted to remake their public image by launching a youth smoking prevention advertisement.. Tobacco Companies Have Actively Attempted To Remake.
From tlz.ae
Start a tobacco business in Dubai StepbyStep TRADE LICENSE ZONE Tobacco Companies Have Actively Attempted To Remake The tobacco industry has actively attempted to remake its public image in response to evidence that it marketed products to youth and misled the. Notation for comparing two population means tobacco companies have actively attempted to remake their public image by launching a youth. Tobacco companies have attempted to remake their public image by launching youth smoking prevention advertisement campaigns.. Tobacco Companies Have Actively Attempted To Remake.
From observer.com
Legalization Has Tobacco Companies Interested in Marijuana Industry Tobacco Companies Have Actively Attempted To Remake Tobacco companies have actively attempted to remake their public image by launching a youth smoking prevention advertisement. Tobacco companies have actively attempted to remake their public image by launching a youth smoking prevention advertisement campaign. Tobacco companies have attempted to remake their public image by launching youth smoking prevention advertisement campaigns. Tobacco companies have actively attempted to remake their public. Tobacco Companies Have Actively Attempted To Remake.
From blog.bizvibe.com
Top 10 Largest Tobacco Companies in the World 2020 Global Tobacco Tobacco Companies Have Actively Attempted To Remake Tobacco companies have actively attempted to remake their public image by launching a youth smoking prevention advertisement campaign. The tobacco industry has actively attempted to remake its public image in response to evidence that it marketed products to youth and misled the. Tobacco companies have attempted to remake their public image by launching youth smoking prevention advertisement campaigns. Notation for. Tobacco Companies Have Actively Attempted To Remake.
From thewest.com.au
Leading tobacco company exposed for funding vape research Tobacco Companies Have Actively Attempted To Remake Tobacco companies have actively attempted to remake their public image by launching a youth smoking prevention advertisement campaign. Tobacco companies have attempted to remake their public image by launching youth smoking prevention advertisement campaigns. Notation for comparing two population means tobacco companies have actively attempted to remake their public image by launching a youth. Tobacco companies have actively attempted to. Tobacco Companies Have Actively Attempted To Remake.
From www.chegg.com
Solved Tobacco companies have actively attempted to remake Tobacco Companies Have Actively Attempted To Remake Melanie wakefield (a professor of applied psychology and researcher at the center for behavioral research in cancer in victoria,. Notation for comparing two population means tobacco companies have actively attempted to remake their public image by launching a youth. Tobacco companies have actively attempted to remake their public image by launching a youth smoking prevention advertisement campaign. The tobacco industry. Tobacco Companies Have Actively Attempted To Remake.
From prod.truthinitiative.org
How tobacco companies use experiential marketing Tobacco Companies Have Actively Attempted To Remake Notation for comparing two population means tobacco companies have actively attempted to remake their public image by launching a youth. The tobacco industry has actively attempted to remake its public image in response to evidence that it marketed products to youth and misled the. Tobacco companies have actively attempted to remake their public image by launching a youth smoking prevention. Tobacco Companies Have Actively Attempted To Remake.
From tobaccoinsider.com
Tobacco Industry Manufacturing Tobacco Insider Tobacco Companies Have Actively Attempted To Remake Tobacco companies have actively attempted to remake their public image by launching a youth smoking prevention advertisement. Tobacco companies have attempted to remake their public image by launching youth smoking prevention advertisement campaigns. Tobacco companies have actively attempted to remake their public image by launching a youth smoking prevention advertisement campaign. Tobacco companies have actively attempted to remake their public. Tobacco Companies Have Actively Attempted To Remake.
From www.chegg.com
Solved Tobacco companies have actively attempted to remake Tobacco Companies Have Actively Attempted To Remake Notation for comparing two population means tobacco companies have actively attempted to remake their public image by launching a youth. Tobacco companies have attempted to remake their public image by launching youth smoking prevention advertisement campaigns. The tobacco industry has actively attempted to remake its public image in response to evidence that it marketed products to youth and misled the.. Tobacco Companies Have Actively Attempted To Remake.
From www.chegg.com
Solved Tobacco companies have actively attempted to remake Tobacco Companies Have Actively Attempted To Remake Tobacco companies have actively attempted to remake their public image by launching a youth smoking prevention advertisement campaign. Notation for comparing two population means tobacco companies have actively attempted to remake their public image by launching a youth. Tobacco companies have actively attempted to remake their public image by launching a youth smoking prevention advertisement campaign. Tobacco companies have attempted. Tobacco Companies Have Actively Attempted To Remake.
From www.chegg.com
Solved Tobacco companies have actively attempted to remake Tobacco Companies Have Actively Attempted To Remake Melanie wakefield (a professor of applied psychology and researcher at the center for behavioral research in cancer in victoria,. Notation for comparing two population means tobacco companies have actively attempted to remake their public image by launching a youth. The tobacco industry has actively attempted to remake its public image in response to evidence that it marketed products to youth. Tobacco Companies Have Actively Attempted To Remake.
From www.chegg.com
Solved Tobacco companies have actively attempted to remake Tobacco Companies Have Actively Attempted To Remake Tobacco companies have actively attempted to remake their public image by launching a youth smoking prevention advertisement campaign. Tobacco companies have actively attempted to remake their public image by launching a youth smoking prevention advertisement campaign. The tobacco industry has actively attempted to remake its public image in response to evidence that it marketed products to youth and misled the.. Tobacco Companies Have Actively Attempted To Remake.
From www.chegg.com
Solved Complete Chapter 10 Problem Set Tobacco companies Tobacco Companies Have Actively Attempted To Remake The tobacco industry has actively attempted to remake its public image in response to evidence that it marketed products to youth and misled the. Tobacco companies have actively attempted to remake their public image by launching a youth smoking prevention advertisement. Tobacco companies have attempted to remake their public image by launching youth smoking prevention advertisement campaigns. Melanie wakefield (a. Tobacco Companies Have Actively Attempted To Remake.
From dailynews.co.zw
3 tobacco companies suspended DailyNews Tobacco Companies Have Actively Attempted To Remake Tobacco companies have actively attempted to remake their public image by launching a youth smoking prevention advertisement campaign. Tobacco companies have actively attempted to remake their public image by launching a youth smoking prevention advertisement campaign. Melanie wakefield (a professor of applied psychology and researcher at the center for behavioral research in cancer in victoria,. Tobacco companies have attempted to. Tobacco Companies Have Actively Attempted To Remake.
From twitter.com
CDC Tobacco Free on Twitter "Menthol is a chemical compound that Tobacco Companies Have Actively Attempted To Remake Tobacco companies have attempted to remake their public image by launching youth smoking prevention advertisement campaigns. Notation for comparing two population means tobacco companies have actively attempted to remake their public image by launching a youth. Tobacco companies have actively attempted to remake their public image by launching a youth smoking prevention advertisement campaign. Tobacco companies have actively attempted to. Tobacco Companies Have Actively Attempted To Remake.
From www.chegg.com
Solved Tobacco companies have actively attempted to remake Tobacco Companies Have Actively Attempted To Remake Tobacco companies have attempted to remake their public image by launching youth smoking prevention advertisement campaigns. Tobacco companies have actively attempted to remake their public image by launching a youth smoking prevention advertisement. Melanie wakefield (a professor of applied psychology and researcher at the center for behavioral research in cancer in victoria,. Notation for comparing two population means tobacco companies. Tobacco Companies Have Actively Attempted To Remake.
From www.chegg.com
Solved Tobacco companies have actively attempted to remake Tobacco Companies Have Actively Attempted To Remake The tobacco industry has actively attempted to remake its public image in response to evidence that it marketed products to youth and misled the. Tobacco companies have actively attempted to remake their public image by launching a youth smoking prevention advertisement. Tobacco companies have actively attempted to remake their public image by launching a youth smoking prevention advertisement campaign. Melanie. Tobacco Companies Have Actively Attempted To Remake.
From www.greyb.com
Tobacco Industry Trends Report GreyB Tobacco Companies Have Actively Attempted To Remake Notation for comparing two population means tobacco companies have actively attempted to remake their public image by launching a youth. Tobacco companies have actively attempted to remake their public image by launching a youth smoking prevention advertisement. The tobacco industry has actively attempted to remake its public image in response to evidence that it marketed products to youth and misled. Tobacco Companies Have Actively Attempted To Remake.
From www.chegg.com
Solved 9. Effect size for independentmeasures t test Tobacco Companies Have Actively Attempted To Remake Melanie wakefield (a professor of applied psychology and researcher at the center for behavioral research in cancer in victoria,. Tobacco companies have actively attempted to remake their public image by launching a youth smoking prevention advertisement campaign. The tobacco industry has actively attempted to remake its public image in response to evidence that it marketed products to youth and misled. Tobacco Companies Have Actively Attempted To Remake.
From www.chegg.com
Solved Tobacco companies have actively attempted to remake Tobacco Companies Have Actively Attempted To Remake The tobacco industry has actively attempted to remake its public image in response to evidence that it marketed products to youth and misled the. Tobacco companies have actively attempted to remake their public image by launching a youth smoking prevention advertisement. Notation for comparing two population means tobacco companies have actively attempted to remake their public image by launching a. Tobacco Companies Have Actively Attempted To Remake.
From www.bartleby.com
Answered answer all the questions bartleby Tobacco Companies Have Actively Attempted To Remake Tobacco companies have actively attempted to remake their public image by launching a youth smoking prevention advertisement campaign. Melanie wakefield (a professor of applied psychology and researcher at the center for behavioral research in cancer in victoria,. Notation for comparing two population means tobacco companies have actively attempted to remake their public image by launching a youth. Tobacco companies have. Tobacco Companies Have Actively Attempted To Remake.
From www.chegg.com
Solved Tobacco companies have actively attempted to remake Tobacco Companies Have Actively Attempted To Remake Tobacco companies have actively attempted to remake their public image by launching a youth smoking prevention advertisement. The tobacco industry has actively attempted to remake its public image in response to evidence that it marketed products to youth and misled the. Melanie wakefield (a professor of applied psychology and researcher at the center for behavioral research in cancer in victoria,.. Tobacco Companies Have Actively Attempted To Remake.