A Garden Hose With An Internal Diameter Of 1.9 Cm Is . A garden hose with an internal diameter of 1.9 cm is connected to a (stationary) lawn sprinkler that consists merely of a. A garden hose with an internal diameter of 1.9 cm is connected to a (stationary) lawn sprinkler that consists merely of an enclosure with 23 holes,. A garden hose with an internal diameter of 1.9 cm is connected to a (stationary) lawn sprinkler that consists merely of a container with 24 holes, each 0.13 cm in diameter. Given the diameter, you can find the radius by dividing the diameter by two. In the exercise, the hose's inner diameter is 1.9 cm. A garden hose with an internal diameter of 1.9 cm is connected to a (stationary) lawn sprinkler that consists merely of a container with 24 holes,. Write the continuity equation in terms of the diameter of each hole and the diameter of a garden hose. Then inserting the given values in. A garden hose having an internal diameter of 1.9 cm is connected to a lawn sprinkler that consists of an enclosure with 25. The diameter of the hose is given as $1.9.
from www.chegg.com
Then inserting the given values in. In the exercise, the hose's inner diameter is 1.9 cm. The diameter of the hose is given as $1.9. A garden hose with an internal diameter of 1.9 cm is connected to a (stationary) lawn sprinkler that consists merely of a. A garden hose having an internal diameter of 1.9 cm is connected to a lawn sprinkler that consists of an enclosure with 25. A garden hose with an internal diameter of 1.9 cm is connected to a (stationary) lawn sprinkler that consists merely of an enclosure with 23 holes,. A garden hose with an internal diameter of 1.9 cm is connected to a (stationary) lawn sprinkler that consists merely of a container with 24 holes,. Given the diameter, you can find the radius by dividing the diameter by two. Write the continuity equation in terms of the diameter of each hole and the diameter of a garden hose. A garden hose with an internal diameter of 1.9 cm is connected to a (stationary) lawn sprinkler that consists merely of a container with 24 holes, each 0.13 cm in diameter.
Solved 7) A garden hose with an internal diameter of 1.9 cm
A Garden Hose With An Internal Diameter Of 1.9 Cm Is A garden hose having an internal diameter of 1.9 cm is connected to a lawn sprinkler that consists of an enclosure with 25. A garden hose having an internal diameter of 1.9 cm is connected to a lawn sprinkler that consists of an enclosure with 25. Given the diameter, you can find the radius by dividing the diameter by two. Write the continuity equation in terms of the diameter of each hole and the diameter of a garden hose. A garden hose with an internal diameter of 1.9 cm is connected to a (stationary) lawn sprinkler that consists merely of a container with 24 holes, each 0.13 cm in diameter. Then inserting the given values in. The diameter of the hose is given as $1.9. A garden hose with an internal diameter of 1.9 cm is connected to a (stationary) lawn sprinkler that consists merely of a container with 24 holes,. A garden hose with an internal diameter of 1.9 cm is connected to a (stationary) lawn sprinkler that consists merely of an enclosure with 23 holes,. A garden hose with an internal diameter of 1.9 cm is connected to a (stationary) lawn sprinkler that consists merely of a. In the exercise, the hose's inner diameter is 1.9 cm.
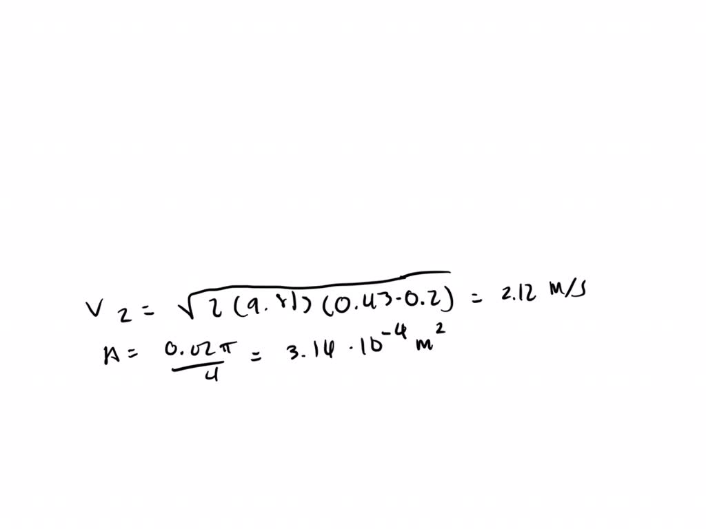
From www.numerade.com
SOLVEDA garden hose with an internal diameter of 1.9 cm is connected A Garden Hose With An Internal Diameter Of 1.9 Cm Is In the exercise, the hose's inner diameter is 1.9 cm. Given the diameter, you can find the radius by dividing the diameter by two. A garden hose with an internal diameter of 1.9 cm is connected to a (stationary) lawn sprinkler that consists merely of a. A garden hose having an internal diameter of 1.9 cm is connected to a. A Garden Hose With An Internal Diameter Of 1.9 Cm Is.
From www.chegg.com
Solved 5) A garden hose with an internal diameter of 2.5 cm A Garden Hose With An Internal Diameter Of 1.9 Cm Is A garden hose with an internal diameter of 1.9 cm is connected to a (stationary) lawn sprinkler that consists merely of a. A garden hose with an internal diameter of 1.9 cm is connected to a (stationary) lawn sprinkler that consists merely of a container with 24 holes, each 0.13 cm in diameter. Then inserting the given values in. Write. A Garden Hose With An Internal Diameter Of 1.9 Cm Is.
From designingidea.com
Garden Hose Sizes (Standard Length & Diameter) Designing Idea A Garden Hose With An Internal Diameter Of 1.9 Cm Is In the exercise, the hose's inner diameter is 1.9 cm. A garden hose with an internal diameter of 1.9 cm is connected to a (stationary) lawn sprinkler that consists merely of an enclosure with 23 holes,. A garden hose having an internal diameter of 1.9 cm is connected to a lawn sprinkler that consists of an enclosure with 25. The. A Garden Hose With An Internal Diameter Of 1.9 Cm Is.
From www.chegg.com
Solved Problem 1 A smooth plastic, 10mlong garden hose A Garden Hose With An Internal Diameter Of 1.9 Cm Is Then inserting the given values in. A garden hose with an internal diameter of 1.9 cm is connected to a (stationary) lawn sprinkler that consists merely of a container with 24 holes, each 0.13 cm in diameter. A garden hose with an internal diameter of 1.9 cm is connected to a (stationary) lawn sprinkler that consists merely of an enclosure. A Garden Hose With An Internal Diameter Of 1.9 Cm Is.
From fyoacbitp.blob.core.windows.net
Garden Hose Internal Diameter Uk at Tyler Boss blog A Garden Hose With An Internal Diameter Of 1.9 Cm Is The diameter of the hose is given as $1.9. Given the diameter, you can find the radius by dividing the diameter by two. A garden hose with an internal diameter of 1.9 cm is connected to a (stationary) lawn sprinkler that consists merely of an enclosure with 23 holes,. A garden hose with an internal diameter of 1.9 cm is. A Garden Hose With An Internal Diameter Of 1.9 Cm Is.
From www.gardeningknowhow.com
Different Types Of Garden Hoses Learn About Various Uses For Garden Hoses A Garden Hose With An Internal Diameter Of 1.9 Cm Is A garden hose having an internal diameter of 1.9 cm is connected to a lawn sprinkler that consists of an enclosure with 25. The diameter of the hose is given as $1.9. A garden hose with an internal diameter of 1.9 cm is connected to a (stationary) lawn sprinkler that consists merely of a container with 24 holes,. Given the. A Garden Hose With An Internal Diameter Of 1.9 Cm Is.
From dekaran.blogspot.com
A Garden Hose Having An Internal Diameter Of / How To Measure The A Garden Hose With An Internal Diameter Of 1.9 Cm Is A garden hose having an internal diameter of 1.9 cm is connected to a lawn sprinkler that consists of an enclosure with 25. Write the continuity equation in terms of the diameter of each hole and the diameter of a garden hose. In the exercise, the hose's inner diameter is 1.9 cm. Given the diameter, you can find the radius. A Garden Hose With An Internal Diameter Of 1.9 Cm Is.
From dengarden.com
The Complete Guide to Garden Hose Fittings Dengarden A Garden Hose With An Internal Diameter Of 1.9 Cm Is A garden hose with an internal diameter of 1.9 cm is connected to a (stationary) lawn sprinkler that consists merely of a container with 24 holes, each 0.13 cm in diameter. A garden hose with an internal diameter of 1.9 cm is connected to a (stationary) lawn sprinkler that consists merely of a. Given the diameter, you can find the. A Garden Hose With An Internal Diameter Of 1.9 Cm Is.
From www.fascinatewithzea.com
How To Measure Garden Hose Diameter Fasci Garden A Garden Hose With An Internal Diameter Of 1.9 Cm Is A garden hose having an internal diameter of 1.9 cm is connected to a lawn sprinkler that consists of an enclosure with 25. In the exercise, the hose's inner diameter is 1.9 cm. Then inserting the given values in. The diameter of the hose is given as $1.9. A garden hose with an internal diameter of 1.9 cm is connected. A Garden Hose With An Internal Diameter Of 1.9 Cm Is.
From www.gardeningstuffs.com
How Is A Garden Hose Diameter Measured? A Quick Guide A Garden Hose With An Internal Diameter Of 1.9 Cm Is A garden hose with an internal diameter of 1.9 cm is connected to a (stationary) lawn sprinkler that consists merely of an enclosure with 23 holes,. Given the diameter, you can find the radius by dividing the diameter by two. A garden hose with an internal diameter of 1.9 cm is connected to a (stationary) lawn sprinkler that consists merely. A Garden Hose With An Internal Diameter Of 1.9 Cm Is.
From www.coursehero.com
[Solved] . A garden hose with an internal diameter of 1.3 cm is A Garden Hose With An Internal Diameter Of 1.9 Cm Is A garden hose with an internal diameter of 1.9 cm is connected to a (stationary) lawn sprinkler that consists merely of a container with 24 holes,. Then inserting the given values in. A garden hose having an internal diameter of 1.9 cm is connected to a lawn sprinkler that consists of an enclosure with 25. Write the continuity equation in. A Garden Hose With An Internal Diameter Of 1.9 Cm Is.
From www.numerade.com
SOLVED A smooth plastic, 10 mlong garden hose with an inside A Garden Hose With An Internal Diameter Of 1.9 Cm Is A garden hose with an internal diameter of 1.9 cm is connected to a (stationary) lawn sprinkler that consists merely of a container with 24 holes,. The diameter of the hose is given as $1.9. A garden hose with an internal diameter of 1.9 cm is connected to a (stationary) lawn sprinkler that consists merely of an enclosure with 23. A Garden Hose With An Internal Diameter Of 1.9 Cm Is.
From www.chegg.com
Solved 7) A garden hose with an internal diameter of 1.9 cm A Garden Hose With An Internal Diameter Of 1.9 Cm Is Then inserting the given values in. A garden hose with an internal diameter of 1.9 cm is connected to a (stationary) lawn sprinkler that consists merely of a. In the exercise, the hose's inner diameter is 1.9 cm. The diameter of the hose is given as $1.9. A garden hose having an internal diameter of 1.9 cm is connected to. A Garden Hose With An Internal Diameter Of 1.9 Cm Is.
From www.chegg.com
Solved A smooth plastic garden hose with an inside diameter A Garden Hose With An Internal Diameter Of 1.9 Cm Is In the exercise, the hose's inner diameter is 1.9 cm. A garden hose having an internal diameter of 1.9 cm is connected to a lawn sprinkler that consists of an enclosure with 25. Then inserting the given values in. A garden hose with an internal diameter of 1.9 cm is connected to a (stationary) lawn sprinkler that consists merely of. A Garden Hose With An Internal Diameter Of 1.9 Cm Is.
From www.youtube.com
A garden hose with an internal diameter of \( 1.9 \mathrm{cm} \) is A Garden Hose With An Internal Diameter Of 1.9 Cm Is Then inserting the given values in. The diameter of the hose is given as $1.9. A garden hose having an internal diameter of 1.9 cm is connected to a lawn sprinkler that consists of an enclosure with 25. A garden hose with an internal diameter of 1.9 cm is connected to a (stationary) lawn sprinkler that consists merely of an. A Garden Hose With An Internal Diameter Of 1.9 Cm Is.
From www.numerade.com
SOLVED A garden hose attached with a nozzle is used to fill a 20gal A Garden Hose With An Internal Diameter Of 1.9 Cm Is A garden hose with an internal diameter of 1.9 cm is connected to a (stationary) lawn sprinkler that consists merely of a container with 24 holes,. A garden hose with an internal diameter of 1.9 cm is connected to a (stationary) lawn sprinkler that consists merely of a container with 24 holes, each 0.13 cm in diameter. Given the diameter,. A Garden Hose With An Internal Diameter Of 1.9 Cm Is.
From dengarden.com
The Complete Guide to Garden Hose Fittings Dengarden A Garden Hose With An Internal Diameter Of 1.9 Cm Is A garden hose with an internal diameter of 1.9 cm is connected to a (stationary) lawn sprinkler that consists merely of a container with 24 holes, each 0.13 cm in diameter. A garden hose with an internal diameter of 1.9 cm is connected to a (stationary) lawn sprinkler that consists merely of a container with 24 holes,. Given the diameter,. A Garden Hose With An Internal Diameter Of 1.9 Cm Is.
From www.numerade.com
SOLVEDA garden hose with an internal diameter of 1.9 cm is connected A Garden Hose With An Internal Diameter Of 1.9 Cm Is A garden hose with an internal diameter of 1.9 cm is connected to a (stationary) lawn sprinkler that consists merely of a container with 24 holes, each 0.13 cm in diameter. Given the diameter, you can find the radius by dividing the diameter by two. The diameter of the hose is given as $1.9. A garden hose with an internal. A Garden Hose With An Internal Diameter Of 1.9 Cm Is.
From www.numerade.com
SOLVED A garden hose having an internal diameter of 0.770 in. ( 1.9558 A Garden Hose With An Internal Diameter Of 1.9 Cm Is Given the diameter, you can find the radius by dividing the diameter by two. A garden hose with an internal diameter of 1.9 cm is connected to a (stationary) lawn sprinkler that consists merely of a container with 24 holes,. A garden hose with an internal diameter of 1.9 cm is connected to a (stationary) lawn sprinkler that consists merely. A Garden Hose With An Internal Diameter Of 1.9 Cm Is.
From fyoacbitp.blob.core.windows.net
Garden Hose Internal Diameter Uk at Tyler Boss blog A Garden Hose With An Internal Diameter Of 1.9 Cm Is Write the continuity equation in terms of the diameter of each hole and the diameter of a garden hose. A garden hose with an internal diameter of 1.9 cm is connected to a (stationary) lawn sprinkler that consists merely of an enclosure with 23 holes,. The diameter of the hose is given as $1.9. Then inserting the given values in.. A Garden Hose With An Internal Diameter Of 1.9 Cm Is.
From www.coursehero.com
[Solved] A garden hose has a diameter of 2 cm and water enters it at 0. A Garden Hose With An Internal Diameter Of 1.9 Cm Is Given the diameter, you can find the radius by dividing the diameter by two. A garden hose having an internal diameter of 1.9 cm is connected to a lawn sprinkler that consists of an enclosure with 25. Write the continuity equation in terms of the diameter of each hole and the diameter of a garden hose. Then inserting the given. A Garden Hose With An Internal Diameter Of 1.9 Cm Is.
From dengarden.com
The Complete Guide to Garden Hose Fittings Dengarden A Garden Hose With An Internal Diameter Of 1.9 Cm Is A garden hose with an internal diameter of 1.9 cm is connected to a (stationary) lawn sprinkler that consists merely of an enclosure with 23 holes,. The diameter of the hose is given as $1.9. Given the diameter, you can find the radius by dividing the diameter by two. Then inserting the given values in. Write the continuity equation in. A Garden Hose With An Internal Diameter Of 1.9 Cm Is.
From hosepipehub.com
WHAT IS THE STANDARD SIZE OF A GARDEN HOSE CONNECTOR? A Garden Hose With An Internal Diameter Of 1.9 Cm Is The diameter of the hose is given as $1.9. A garden hose with an internal diameter of 1.9 cm is connected to a (stationary) lawn sprinkler that consists merely of a container with 24 holes,. Then inserting the given values in. In the exercise, the hose's inner diameter is 1.9 cm. A garden hose having an internal diameter of 1.9. A Garden Hose With An Internal Diameter Of 1.9 Cm Is.
From www.numerade.com
SOLVED Water is moving at a velocity of 1.50 m/s through a hose with A Garden Hose With An Internal Diameter Of 1.9 Cm Is A garden hose with an internal diameter of 1.9 cm is connected to a (stationary) lawn sprinkler that consists merely of a container with 24 holes, each 0.13 cm in diameter. In the exercise, the hose's inner diameter is 1.9 cm. A garden hose with an internal diameter of 1.9 cm is connected to a (stationary) lawn sprinkler that consists. A Garden Hose With An Internal Diameter Of 1.9 Cm Is.
From www.chegg.com
Solved ! Required information A garden hose attached with a A Garden Hose With An Internal Diameter Of 1.9 Cm Is The diameter of the hose is given as $1.9. A garden hose with an internal diameter of 1.9 cm is connected to a (stationary) lawn sprinkler that consists merely of a container with 24 holes, each 0.13 cm in diameter. A garden hose with an internal diameter of 1.9 cm is connected to a (stationary) lawn sprinkler that consists merely. A Garden Hose With An Internal Diameter Of 1.9 Cm Is.
From gardenhosezone.com
How To Measure A Garden Hose Diameter A Guide to Understanding Hose A Garden Hose With An Internal Diameter Of 1.9 Cm Is A garden hose with an internal diameter of 1.9 cm is connected to a (stationary) lawn sprinkler that consists merely of a. The diameter of the hose is given as $1.9. Write the continuity equation in terms of the diameter of each hole and the diameter of a garden hose. A garden hose with an internal diameter of 1.9 cm. A Garden Hose With An Internal Diameter Of 1.9 Cm Is.
From dekaran.blogspot.com
A Garden Hose Having An Internal Diameter Of / How To Measure The A Garden Hose With An Internal Diameter Of 1.9 Cm Is Write the continuity equation in terms of the diameter of each hole and the diameter of a garden hose. A garden hose with an internal diameter of 1.9 cm is connected to a (stationary) lawn sprinkler that consists merely of a container with 24 holes,. A garden hose with an internal diameter of 1.9 cm is connected to a (stationary). A Garden Hose With An Internal Diameter Of 1.9 Cm Is.
From www.numerade.com
SOLVED garden hose with an internal diameter of 1.5 cm is connected to A Garden Hose With An Internal Diameter Of 1.9 Cm Is The diameter of the hose is given as $1.9. A garden hose with an internal diameter of 1.9 cm is connected to a (stationary) lawn sprinkler that consists merely of an enclosure with 23 holes,. A garden hose with an internal diameter of 1.9 cm is connected to a (stationary) lawn sprinkler that consists merely of a. Write the continuity. A Garden Hose With An Internal Diameter Of 1.9 Cm Is.
From www.numerade.com
SOLVEDA garden hose with an internal diameter of 1.9 cm is connected A Garden Hose With An Internal Diameter Of 1.9 Cm Is A garden hose with an internal diameter of 1.9 cm is connected to a (stationary) lawn sprinkler that consists merely of an enclosure with 23 holes,. A garden hose having an internal diameter of 1.9 cm is connected to a lawn sprinkler that consists of an enclosure with 25. In the exercise, the hose's inner diameter is 1.9 cm. A. A Garden Hose With An Internal Diameter Of 1.9 Cm Is.
From www.gardeningstuffs.com
How Is A Garden Hose Diameter Measured? A Quick Guide A Garden Hose With An Internal Diameter Of 1.9 Cm Is In the exercise, the hose's inner diameter is 1.9 cm. A garden hose having an internal diameter of 1.9 cm is connected to a lawn sprinkler that consists of an enclosure with 25. A garden hose with an internal diameter of 1.9 cm is connected to a (stationary) lawn sprinkler that consists merely of a. A garden hose with an. A Garden Hose With An Internal Diameter Of 1.9 Cm Is.
From dekaran.blogspot.com
A Garden Hose Having An Internal Diameter Of / How To Measure The A Garden Hose With An Internal Diameter Of 1.9 Cm Is In the exercise, the hose's inner diameter is 1.9 cm. The diameter of the hose is given as $1.9. A garden hose with an internal diameter of 1.9 cm is connected to a (stationary) lawn sprinkler that consists merely of a. A garden hose with an internal diameter of 1.9 cm is connected to a (stationary) lawn sprinkler that consists. A Garden Hose With An Internal Diameter Of 1.9 Cm Is.
From www.toppr.com
un WILL ! (Ans. 2017 11 ) 2. A garden hose having an internal diameter A Garden Hose With An Internal Diameter Of 1.9 Cm Is In the exercise, the hose's inner diameter is 1.9 cm. Then inserting the given values in. A garden hose with an internal diameter of 1.9 cm is connected to a (stationary) lawn sprinkler that consists merely of a container with 24 holes, each 0.13 cm in diameter. A garden hose with an internal diameter of 1.9 cm is connected to. A Garden Hose With An Internal Diameter Of 1.9 Cm Is.
From dengarden.com
The Complete Guide to Garden Hose Fittings Dengarden A Garden Hose With An Internal Diameter Of 1.9 Cm Is A garden hose with an internal diameter of 1.9 cm is connected to a (stationary) lawn sprinkler that consists merely of a container with 24 holes, each 0.13 cm in diameter. Write the continuity equation in terms of the diameter of each hole and the diameter of a garden hose. In the exercise, the hose's inner diameter is 1.9 cm.. A Garden Hose With An Internal Diameter Of 1.9 Cm Is.
From gardeningleave.org
How To Connect Two Garden Hoses Of Different Diameters GardeningLeave A Garden Hose With An Internal Diameter Of 1.9 Cm Is A garden hose having an internal diameter of 1.9 cm is connected to a lawn sprinkler that consists of an enclosure with 25. Given the diameter, you can find the radius by dividing the diameter by two. The diameter of the hose is given as $1.9. A garden hose with an internal diameter of 1.9 cm is connected to a. A Garden Hose With An Internal Diameter Of 1.9 Cm Is.
From www.numerade.com
A smooth plastic, 10mlong garden hose with an inside diameter of 20 A Garden Hose With An Internal Diameter Of 1.9 Cm Is A garden hose with an internal diameter of 1.9 cm is connected to a (stationary) lawn sprinkler that consists merely of an enclosure with 23 holes,. Then inserting the given values in. The diameter of the hose is given as $1.9. A garden hose having an internal diameter of 1.9 cm is connected to a lawn sprinkler that consists of. A Garden Hose With An Internal Diameter Of 1.9 Cm Is.