Tsp Hardship Withdrawal Application . Under the new tsp withdrawal options, all participants can take one withdrawal every 30 days. How to apply for a financial hardship withdrawal. A hardship withdrawal from your tsp is generally taxable as ordinary income. Before you apply for a financial hardship withdrawal or an. To qualify for a financial hardship. Tsp participants who are ready to request a tsp hardship financial withdrawal should log onto “myaccount” to begin the. This means the amount you withdraw will be added to your taxable income for the year, potentially pushing you into a higher tax bracket and increasing the amount of tax you owe. To request a tsp withdrawal or distribution, log in to my account. If you want to do a withdrawal, a rollover, or a loan, i think you will need to put your receiving account information in your tsp profile 7 days ahead of.
from www.templateroller.com
Under the new tsp withdrawal options, all participants can take one withdrawal every 30 days. Tsp participants who are ready to request a tsp hardship financial withdrawal should log onto “myaccount” to begin the. Before you apply for a financial hardship withdrawal or an. How to apply for a financial hardship withdrawal. To qualify for a financial hardship. To request a tsp withdrawal or distribution, log in to my account. This means the amount you withdraw will be added to your taxable income for the year, potentially pushing you into a higher tax bracket and increasing the amount of tax you owe. If you want to do a withdrawal, a rollover, or a loan, i think you will need to put your receiving account information in your tsp profile 7 days ahead of. A hardship withdrawal from your tsp is generally taxable as ordinary income.
Form TSP75 Fill Out, Sign Online and Download Fillable PDF
Tsp Hardship Withdrawal Application Under the new tsp withdrawal options, all participants can take one withdrawal every 30 days. A hardship withdrawal from your tsp is generally taxable as ordinary income. Before you apply for a financial hardship withdrawal or an. To qualify for a financial hardship. If you want to do a withdrawal, a rollover, or a loan, i think you will need to put your receiving account information in your tsp profile 7 days ahead of. Tsp participants who are ready to request a tsp hardship financial withdrawal should log onto “myaccount” to begin the. How to apply for a financial hardship withdrawal. This means the amount you withdraw will be added to your taxable income for the year, potentially pushing you into a higher tax bracket and increasing the amount of tax you owe. Under the new tsp withdrawal options, all participants can take one withdrawal every 30 days. To request a tsp withdrawal or distribution, log in to my account.
From www.yumpu.com
APPLICATION FOR HARDSHIP WITHDRAWAL Tsp Hardship Withdrawal Application A hardship withdrawal from your tsp is generally taxable as ordinary income. To request a tsp withdrawal or distribution, log in to my account. Before you apply for a financial hardship withdrawal or an. Tsp participants who are ready to request a tsp hardship financial withdrawal should log onto “myaccount” to begin the. To qualify for a financial hardship. This. Tsp Hardship Withdrawal Application.
From www.signnow.com
Form TSP 76, Financial Hardship in Service Withdrawal Request Fill Tsp Hardship Withdrawal Application Before you apply for a financial hardship withdrawal or an. To qualify for a financial hardship. Tsp participants who are ready to request a tsp hardship financial withdrawal should log onto “myaccount” to begin the. To request a tsp withdrawal or distribution, log in to my account. If you want to do a withdrawal, a rollover, or a loan, i. Tsp Hardship Withdrawal Application.
From www.fedsmith.com
New TSP Hardship Withdrawal Option Likely Coming Soon Tsp Hardship Withdrawal Application To request a tsp withdrawal or distribution, log in to my account. How to apply for a financial hardship withdrawal. If you want to do a withdrawal, a rollover, or a loan, i think you will need to put your receiving account information in your tsp profile 7 days ahead of. A hardship withdrawal from your tsp is generally taxable. Tsp Hardship Withdrawal Application.
From www.planwellfp.com
Thrift Savings Plan TSP Hardship Withdrawals & TSP Loans Tsp Hardship Withdrawal Application How to apply for a financial hardship withdrawal. Under the new tsp withdrawal options, all participants can take one withdrawal every 30 days. To request a tsp withdrawal or distribution, log in to my account. To qualify for a financial hardship. A hardship withdrawal from your tsp is generally taxable as ordinary income. Before you apply for a financial hardship. Tsp Hardship Withdrawal Application.
From www.pdffiller.com
Fillable Online Tsp Hardship Withdrawal Form Fill Out and Sign Tsp Hardship Withdrawal Application Tsp participants who are ready to request a tsp hardship financial withdrawal should log onto “myaccount” to begin the. A hardship withdrawal from your tsp is generally taxable as ordinary income. To qualify for a financial hardship. To request a tsp withdrawal or distribution, log in to my account. If you want to do a withdrawal, a rollover, or a. Tsp Hardship Withdrawal Application.
From formspal.com
Tsp Form 76 ≡ Fill Out Printable PDF Forms Online Tsp Hardship Withdrawal Application To request a tsp withdrawal or distribution, log in to my account. A hardship withdrawal from your tsp is generally taxable as ordinary income. To qualify for a financial hardship. Tsp participants who are ready to request a tsp hardship financial withdrawal should log onto “myaccount” to begin the. If you want to do a withdrawal, a rollover, or a. Tsp Hardship Withdrawal Application.
From formswift.com
TSP76 Fillable Financial Hardship InService Withdrawal PDF Tsp Hardship Withdrawal Application Tsp participants who are ready to request a tsp hardship financial withdrawal should log onto “myaccount” to begin the. A hardship withdrawal from your tsp is generally taxable as ordinary income. To request a tsp withdrawal or distribution, log in to my account. Under the new tsp withdrawal options, all participants can take one withdrawal every 30 days. This means. Tsp Hardship Withdrawal Application.
From www.formsbank.com
Top 8 401k Hardship Withdrawal Form Templates free to download in PDF Tsp Hardship Withdrawal Application A hardship withdrawal from your tsp is generally taxable as ordinary income. How to apply for a financial hardship withdrawal. This means the amount you withdraw will be added to your taxable income for the year, potentially pushing you into a higher tax bracket and increasing the amount of tax you owe. To request a tsp withdrawal or distribution, log. Tsp Hardship Withdrawal Application.
From www.signnow.com
Transamerica Hardship Withdrawal Complete with ease airSlate SignNow Tsp Hardship Withdrawal Application Before you apply for a financial hardship withdrawal or an. If you want to do a withdrawal, a rollover, or a loan, i think you will need to put your receiving account information in your tsp profile 7 days ahead of. This means the amount you withdraw will be added to your taxable income for the year, potentially pushing you. Tsp Hardship Withdrawal Application.
From www.pdffiller.com
Fillable Online Request for Hardship Withdrawal Form Fax Email Print Tsp Hardship Withdrawal Application Under the new tsp withdrawal options, all participants can take one withdrawal every 30 days. To request a tsp withdrawal or distribution, log in to my account. To qualify for a financial hardship. This means the amount you withdraw will be added to your taxable income for the year, potentially pushing you into a higher tax bracket and increasing the. Tsp Hardship Withdrawal Application.
From www.templateroller.com
Form TSP70 Fill Out, Sign Online and Download Printable PDF Tsp Hardship Withdrawal Application Tsp participants who are ready to request a tsp hardship financial withdrawal should log onto “myaccount” to begin the. To qualify for a financial hardship. Under the new tsp withdrawal options, all participants can take one withdrawal every 30 days. How to apply for a financial hardship withdrawal. A hardship withdrawal from your tsp is generally taxable as ordinary income.. Tsp Hardship Withdrawal Application.
From www.scribd.com
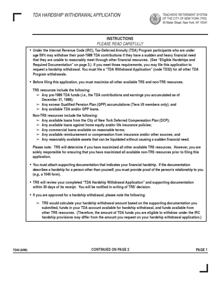
Tda Hardship Withdrawal Application PDF Withholding Tax Tsp Hardship Withdrawal Application Before you apply for a financial hardship withdrawal or an. This means the amount you withdraw will be added to your taxable income for the year, potentially pushing you into a higher tax bracket and increasing the amount of tax you owe. To request a tsp withdrawal or distribution, log in to my account. Under the new tsp withdrawal options,. Tsp Hardship Withdrawal Application.
From www.pdffiller.com
Fillable Online HARDSHIP WITHDRAWAL REQUEST FORM Fax Email Print Tsp Hardship Withdrawal Application Under the new tsp withdrawal options, all participants can take one withdrawal every 30 days. To request a tsp withdrawal or distribution, log in to my account. Tsp participants who are ready to request a tsp hardship financial withdrawal should log onto “myaccount” to begin the. This means the amount you withdraw will be added to your taxable income for. Tsp Hardship Withdrawal Application.
From www.financestrategists.com
Hardship Withdrawal Definition, Types, Criteria, & Process Tsp Hardship Withdrawal Application Under the new tsp withdrawal options, all participants can take one withdrawal every 30 days. This means the amount you withdraw will be added to your taxable income for the year, potentially pushing you into a higher tax bracket and increasing the amount of tax you owe. Before you apply for a financial hardship withdrawal or an. To qualify for. Tsp Hardship Withdrawal Application.
From www.pdffiller.com
Fillable Online Application for Hardship Withdrawal Fax Email Print Tsp Hardship Withdrawal Application Before you apply for a financial hardship withdrawal or an. Under the new tsp withdrawal options, all participants can take one withdrawal every 30 days. Tsp participants who are ready to request a tsp hardship financial withdrawal should log onto “myaccount” to begin the. How to apply for a financial hardship withdrawal. If you want to do a withdrawal, a. Tsp Hardship Withdrawal Application.
From www.formsbank.com
Request For Hardship Withdrawal printable pdf download Tsp Hardship Withdrawal Application A hardship withdrawal from your tsp is generally taxable as ordinary income. To qualify for a financial hardship. If you want to do a withdrawal, a rollover, or a loan, i think you will need to put your receiving account information in your tsp profile 7 days ahead of. This means the amount you withdraw will be added to your. Tsp Hardship Withdrawal Application.
From studylib.net
Hardship Withdrawal Information Tsp Hardship Withdrawal Application This means the amount you withdraw will be added to your taxable income for the year, potentially pushing you into a higher tax bracket and increasing the amount of tax you owe. Tsp participants who are ready to request a tsp hardship financial withdrawal should log onto “myaccount” to begin the. To request a tsp withdrawal or distribution, log in. Tsp Hardship Withdrawal Application.
From www.pdffiller.com
Fillable Online FINANCIAL HARDSHIP WITHDRAWAL APPLICATION FORM Fax Tsp Hardship Withdrawal Application To request a tsp withdrawal or distribution, log in to my account. To qualify for a financial hardship. How to apply for a financial hardship withdrawal. Before you apply for a financial hardship withdrawal or an. If you want to do a withdrawal, a rollover, or a loan, i think you will need to put your receiving account information in. Tsp Hardship Withdrawal Application.
From www.pdffiller.com
Fillable Online Tsp Hardship Withdrawal Form jukebox. Tsp Hardship Tsp Hardship Withdrawal Application To qualify for a financial hardship. How to apply for a financial hardship withdrawal. A hardship withdrawal from your tsp is generally taxable as ordinary income. If you want to do a withdrawal, a rollover, or a loan, i think you will need to put your receiving account information in your tsp profile 7 days ahead of. Tsp participants who. Tsp Hardship Withdrawal Application.
From www.financestrategists.com
Hardship Withdrawal Definition, Types, Criteria, & Process Tsp Hardship Withdrawal Application How to apply for a financial hardship withdrawal. Under the new tsp withdrawal options, all participants can take one withdrawal every 30 days. To request a tsp withdrawal or distribution, log in to my account. Before you apply for a financial hardship withdrawal or an. To qualify for a financial hardship. This means the amount you withdraw will be added. Tsp Hardship Withdrawal Application.
From www.msn.com
How a TSP Hardship Withdrawal Works Tsp Hardship Withdrawal Application How to apply for a financial hardship withdrawal. A hardship withdrawal from your tsp is generally taxable as ordinary income. Tsp participants who are ready to request a tsp hardship financial withdrawal should log onto “myaccount” to begin the. To request a tsp withdrawal or distribution, log in to my account. If you want to do a withdrawal, a rollover,. Tsp Hardship Withdrawal Application.
From www.formsbank.com
401(K) Hardship Withdrawal Form printable pdf download Tsp Hardship Withdrawal Application To qualify for a financial hardship. If you want to do a withdrawal, a rollover, or a loan, i think you will need to put your receiving account information in your tsp profile 7 days ahead of. This means the amount you withdraw will be added to your taxable income for the year, potentially pushing you into a higher tax. Tsp Hardship Withdrawal Application.
From www.dochub.com
Tsp withdrawal form Fill out & sign online DocHub Tsp Hardship Withdrawal Application To request a tsp withdrawal or distribution, log in to my account. Under the new tsp withdrawal options, all participants can take one withdrawal every 30 days. This means the amount you withdraw will be added to your taxable income for the year, potentially pushing you into a higher tax bracket and increasing the amount of tax you owe. A. Tsp Hardship Withdrawal Application.
From www.formsbank.com
Form 11 Hardship Withdrawal Request 401(K) Plan printable pdf download Tsp Hardship Withdrawal Application Under the new tsp withdrawal options, all participants can take one withdrawal every 30 days. To qualify for a financial hardship. Tsp participants who are ready to request a tsp hardship financial withdrawal should log onto “myaccount” to begin the. How to apply for a financial hardship withdrawal. To request a tsp withdrawal or distribution, log in to my account.. Tsp Hardship Withdrawal Application.
From studylib.net
U.S. TSP Form tsptsp76 Tsp Hardship Withdrawal Application Before you apply for a financial hardship withdrawal or an. To request a tsp withdrawal or distribution, log in to my account. Under the new tsp withdrawal options, all participants can take one withdrawal every 30 days. If you want to do a withdrawal, a rollover, or a loan, i think you will need to put your receiving account information. Tsp Hardship Withdrawal Application.
From www.dochub.com
Hardship withdrawal Fill out & sign online DocHub Tsp Hardship Withdrawal Application How to apply for a financial hardship withdrawal. Tsp participants who are ready to request a tsp hardship financial withdrawal should log onto “myaccount” to begin the. To request a tsp withdrawal or distribution, log in to my account. Before you apply for a financial hardship withdrawal or an. Under the new tsp withdrawal options, all participants can take one. Tsp Hardship Withdrawal Application.
From www.vrogue.co
Tsp Withdrawal 2018 2024 Form Fill Out And Sign Print vrogue.co Tsp Hardship Withdrawal Application How to apply for a financial hardship withdrawal. Under the new tsp withdrawal options, all participants can take one withdrawal every 30 days. If you want to do a withdrawal, a rollover, or a loan, i think you will need to put your receiving account information in your tsp profile 7 days ahead of. To request a tsp withdrawal or. Tsp Hardship Withdrawal Application.
From www.templateroller.com
Form TSP76 Fill Out, Sign Online and Download Printable PDF Tsp Hardship Withdrawal Application Under the new tsp withdrawal options, all participants can take one withdrawal every 30 days. A hardship withdrawal from your tsp is generally taxable as ordinary income. This means the amount you withdraw will be added to your taxable income for the year, potentially pushing you into a higher tax bracket and increasing the amount of tax you owe. To. Tsp Hardship Withdrawal Application.
From www.templateroller.com
Form TSP76 Fill Out, Sign Online and Download Printable PDF Tsp Hardship Withdrawal Application To qualify for a financial hardship. To request a tsp withdrawal or distribution, log in to my account. Tsp participants who are ready to request a tsp hardship financial withdrawal should log onto “myaccount” to begin the. If you want to do a withdrawal, a rollover, or a loan, i think you will need to put your receiving account information. Tsp Hardship Withdrawal Application.
From www.pdffiller.com
Fillable Online Hardship Withdrawal Application Form Fill Out and Tsp Hardship Withdrawal Application Before you apply for a financial hardship withdrawal or an. How to apply for a financial hardship withdrawal. To qualify for a financial hardship. To request a tsp withdrawal or distribution, log in to my account. Tsp participants who are ready to request a tsp hardship financial withdrawal should log onto “myaccount” to begin the. If you want to do. Tsp Hardship Withdrawal Application.
From www.signnow.com
Tsp S 20132024 Form Fill Out and Sign Printable PDF Template Tsp Hardship Withdrawal Application Under the new tsp withdrawal options, all participants can take one withdrawal every 30 days. How to apply for a financial hardship withdrawal. If you want to do a withdrawal, a rollover, or a loan, i think you will need to put your receiving account information in your tsp profile 7 days ahead of. This means the amount you withdraw. Tsp Hardship Withdrawal Application.
From www.templateroller.com
Form TSP76 Fill Out, Sign Online and Download Printable PDF Tsp Hardship Withdrawal Application To request a tsp withdrawal or distribution, log in to my account. If you want to do a withdrawal, a rollover, or a loan, i think you will need to put your receiving account information in your tsp profile 7 days ahead of. This means the amount you withdraw will be added to your taxable income for the year, potentially. Tsp Hardship Withdrawal Application.
From www.pdffiller.com
Fillable Online Hardship Withdrawal Request Form Fax Email Print Tsp Hardship Withdrawal Application This means the amount you withdraw will be added to your taxable income for the year, potentially pushing you into a higher tax bracket and increasing the amount of tax you owe. Tsp participants who are ready to request a tsp hardship financial withdrawal should log onto “myaccount” to begin the. If you want to do a withdrawal, a rollover,. Tsp Hardship Withdrawal Application.
From www.templateroller.com
Form TSP76 Fill Out, Sign Online and Download Printable PDF Tsp Hardship Withdrawal Application How to apply for a financial hardship withdrawal. To request a tsp withdrawal or distribution, log in to my account. If you want to do a withdrawal, a rollover, or a loan, i think you will need to put your receiving account information in your tsp profile 7 days ahead of. A hardship withdrawal from your tsp is generally taxable. Tsp Hardship Withdrawal Application.
From www.templateroller.com
Form TSP75 Fill Out, Sign Online and Download Fillable PDF Tsp Hardship Withdrawal Application Under the new tsp withdrawal options, all participants can take one withdrawal every 30 days. How to apply for a financial hardship withdrawal. Before you apply for a financial hardship withdrawal or an. To qualify for a financial hardship. Tsp participants who are ready to request a tsp hardship financial withdrawal should log onto “myaccount” to begin the. A hardship. Tsp Hardship Withdrawal Application.