Bromine Has 28 Core Electrons. Group Of Answer Choices True False . T/f the ionization energy of lithium is higher than that of flourine. bromine has 28 core electrons. Bromine has 28 core electrons. 2)select the false statement below. The subshells of the orbital are represented by the possible letters: S, p, d, or f. t/f bromine has 28 core electrons. Water and oil do not mix because water molecules are nonpolar and molecules that compose oil. The condensed electron configuration of the bromine atom. click here π to get an answer to your question οΈ bromine has 28 core electrons. the bromine atom has 28 inner/core electrons and 7 valence electrons. 9781259911156 (4 more) jason overby, raymond chang. consider the bromine atom and select the false statement below. the valence electrons (i.e., the 2s22p4 2 s 2 2 p 4 part) are valence electrons, which do participate in the making and breaking of.
from www.chegg.com
S, p, d, or f. the bromine atom has 28 inner/core electrons and 7 valence electrons. 2)select the false statement below. 9781259911156 (4 more) jason overby, raymond chang. click here π to get an answer to your question οΈ bromine has 28 core electrons. The subshells of the orbital are represented by the possible letters: consider the bromine atom and select the false statement below. The condensed electron configuration of the bromine atom. bromine has 28 core electrons. Bromine has 28 core electrons.
Solved Model 4 Electron configuration of bromine After
Bromine Has 28 Core Electrons. Group Of Answer Choices True False Bromine has 28 core electrons. t/f bromine has 28 core electrons. consider the bromine atom and select the false statement below. 2)select the false statement below. The subshells of the orbital are represented by the possible letters: S, p, d, or f. the bromine atom has 28 inner/core electrons and 7 valence electrons. click here π to get an answer to your question οΈ bromine has 28 core electrons. Bromine has 28 core electrons. bromine has 28 core electrons. 9781259911156 (4 more) jason overby, raymond chang. the valence electrons (i.e., the 2s22p4 2 s 2 2 p 4 part) are valence electrons, which do participate in the making and breaking of. The condensed electron configuration of the bromine atom. T/f the ionization energy of lithium is higher than that of flourine. Water and oil do not mix because water molecules are nonpolar and molecules that compose oil.
From www.numerade.com
SOLVEDDetermine the charge on each of the following ions (a) Bromine Bromine Has 28 Core Electrons. Group Of Answer Choices True False bromine has 28 core electrons. Water and oil do not mix because water molecules are nonpolar and molecules that compose oil. S, p, d, or f. t/f bromine has 28 core electrons. the valence electrons (i.e., the 2s22p4 2 s 2 2 p 4 part) are valence electrons, which do participate in the making and breaking of.. Bromine Has 28 Core Electrons. Group Of Answer Choices True False.
From ar.inspiredpencil.com
Atomic Structure Of Bromine Bromine Has 28 Core Electrons. Group Of Answer Choices True False S, p, d, or f. Water and oil do not mix because water molecules are nonpolar and molecules that compose oil. consider the bromine atom and select the false statement below. 2)select the false statement below. The subshells of the orbital are represented by the possible letters: click here π to get an answer to your question οΈ. Bromine Has 28 Core Electrons. Group Of Answer Choices True False.
From periodictable.me
Bromine Electron Configuration (Br) with Orbital Diagram Bromine Has 28 Core Electrons. Group Of Answer Choices True False t/f bromine has 28 core electrons. T/f the ionization energy of lithium is higher than that of flourine. Water and oil do not mix because water molecules are nonpolar and molecules that compose oil. the valence electrons (i.e., the 2s22p4 2 s 2 2 p 4 part) are valence electrons, which do participate in the making and breaking. Bromine Has 28 Core Electrons. Group Of Answer Choices True False.
From www.animalia-life.club
Electron Configuration For Bromine Bromine Has 28 Core Electrons. Group Of Answer Choices True False T/f the ionization energy of lithium is higher than that of flourine. Bromine has 28 core electrons. consider the bromine atom and select the false statement below. the valence electrons (i.e., the 2s22p4 2 s 2 2 p 4 part) are valence electrons, which do participate in the making and breaking of. the bromine atom has 28. Bromine Has 28 Core Electrons. Group Of Answer Choices True False.
From www.bartleby.com
Answered How many core electrons does the⦠bartleby Bromine Has 28 Core Electrons. Group Of Answer Choices True False Water and oil do not mix because water molecules are nonpolar and molecules that compose oil. Bromine has 28 core electrons. T/f the ionization energy of lithium is higher than that of flourine. the valence electrons (i.e., the 2s22p4 2 s 2 2 p 4 part) are valence electrons, which do participate in the making and breaking of. S,. Bromine Has 28 Core Electrons. Group Of Answer Choices True False.
From www.chegg.com
Solved 28. Bromine has two naturallyoccurring isotopes. Br Bromine Has 28 Core Electrons. Group Of Answer Choices True False S, p, d, or f. t/f bromine has 28 core electrons. The subshells of the orbital are represented by the possible letters: 2)select the false statement below. click here π to get an answer to your question οΈ bromine has 28 core electrons. Water and oil do not mix because water molecules are nonpolar and molecules that compose. Bromine Has 28 Core Electrons. Group Of Answer Choices True False.
From brainly.com
accept electrons from ______ to form ionic compound. Group of answer Bromine Has 28 Core Electrons. Group Of Answer Choices True False 9781259911156 (4 more) jason overby, raymond chang. S, p, d, or f. Water and oil do not mix because water molecules are nonpolar and molecules that compose oil. The subshells of the orbital are represented by the possible letters: T/f the ionization energy of lithium is higher than that of flourine. t/f bromine has 28 core electrons. 2)select the. Bromine Has 28 Core Electrons. Group Of Answer Choices True False.
From www.schoolmykids.com
Bromine (Br) Element Information, Facts, Properties, Uses Periodic Bromine Has 28 Core Electrons. Group Of Answer Choices True False click here π to get an answer to your question οΈ bromine has 28 core electrons. T/f the ionization energy of lithium is higher than that of flourine. 9781259911156 (4 more) jason overby, raymond chang. bromine has 28 core electrons. The subshells of the orbital are represented by the possible letters: consider the bromine atom and select. Bromine Has 28 Core Electrons. Group Of Answer Choices True False.
From periodictable.me
Bromine Electron Configuration (Br) with Orbital Diagram Bromine Has 28 Core Electrons. Group Of Answer Choices True False 9781259911156 (4 more) jason overby, raymond chang. the valence electrons (i.e., the 2s22p4 2 s 2 2 p 4 part) are valence electrons, which do participate in the making and breaking of. The condensed electron configuration of the bromine atom. The subshells of the orbital are represented by the possible letters: Bromine has 28 core electrons. click here. Bromine Has 28 Core Electrons. Group Of Answer Choices True False.
From www.numerade.com
SOLVED Elements in the same period of the periodic table generally Bromine Has 28 Core Electrons. Group Of Answer Choices True False 9781259911156 (4 more) jason overby, raymond chang. click here π to get an answer to your question οΈ bromine has 28 core electrons. the bromine atom has 28 inner/core electrons and 7 valence electrons. Water and oil do not mix because water molecules are nonpolar and molecules that compose oil. The condensed electron configuration of the bromine atom.. Bromine Has 28 Core Electrons. Group Of Answer Choices True False.
From periodictable.me
Bromine Electron Configuration (Br) with Orbital Diagram Bromine Has 28 Core Electrons. Group Of Answer Choices True False 2)select the false statement below. Bromine has 28 core electrons. The condensed electron configuration of the bromine atom. 9781259911156 (4 more) jason overby, raymond chang. T/f the ionization energy of lithium is higher than that of flourine. consider the bromine atom and select the false statement below. the bromine atom has 28 inner/core electrons and 7 valence electrons.. Bromine Has 28 Core Electrons. Group Of Answer Choices True False.
From www.nuclear-power.com
Bromine Atomic Number Atomic Mass Density of Bromine nuclear Bromine Has 28 Core Electrons. Group Of Answer Choices True False The subshells of the orbital are represented by the possible letters: the bromine atom has 28 inner/core electrons and 7 valence electrons. Water and oil do not mix because water molecules are nonpolar and molecules that compose oil. 9781259911156 (4 more) jason overby, raymond chang. consider the bromine atom and select the false statement below. S, p, d,. Bromine Has 28 Core Electrons. Group Of Answer Choices True False.
From www.numerade.com
SOLVED According to modern theories, the number of bonding electrons Bromine Has 28 Core Electrons. Group Of Answer Choices True False T/f the ionization energy of lithium is higher than that of flourine. the valence electrons (i.e., the 2s22p4 2 s 2 2 p 4 part) are valence electrons, which do participate in the making and breaking of. consider the bromine atom and select the false statement below. The subshells of the orbital are represented by the possible letters:. Bromine Has 28 Core Electrons. Group Of Answer Choices True False.
From valenceelectrons.com
Complete Electron Configuration for Bromine (Br, Br ion) Bromine Has 28 Core Electrons. Group Of Answer Choices True False t/f bromine has 28 core electrons. consider the bromine atom and select the false statement below. bromine has 28 core electrons. the bromine atom has 28 inner/core electrons and 7 valence electrons. click here π to get an answer to your question οΈ bromine has 28 core electrons. 2)select the false statement below. T/f the. Bromine Has 28 Core Electrons. Group Of Answer Choices True False.
From proper-cooking.info
Bromine Valence Electrons Bromine Has 28 Core Electrons. Group Of Answer Choices True False consider the bromine atom and select the false statement below. Bromine has 28 core electrons. The subshells of the orbital are represented by the possible letters: S, p, d, or f. 2)select the false statement below. the valence electrons (i.e., the 2s22p4 2 s 2 2 p 4 part) are valence electrons, which do participate in the making. Bromine Has 28 Core Electrons. Group Of Answer Choices True False.
From www.numerade.com
SOLVED To answer the questions, interpret the following Lewis diagram Bromine Has 28 Core Electrons. Group Of Answer Choices True False Bromine has 28 core electrons. t/f bromine has 28 core electrons. Water and oil do not mix because water molecules are nonpolar and molecules that compose oil. the bromine atom has 28 inner/core electrons and 7 valence electrons. The subshells of the orbital are represented by the possible letters: 9781259911156 (4 more) jason overby, raymond chang. consider. Bromine Has 28 Core Electrons. Group Of Answer Choices True False.
From srkrkzbhxtdlh.blogspot.com
How Many Valence Electrons Does Bromine Have Bromine is a group viia Bromine Has 28 Core Electrons. Group Of Answer Choices True False T/f the ionization energy of lithium is higher than that of flourine. Bromine has 28 core electrons. bromine has 28 core electrons. S, p, d, or f. The condensed electron configuration of the bromine atom. the bromine atom has 28 inner/core electrons and 7 valence electrons. 9781259911156 (4 more) jason overby, raymond chang. t/f bromine has 28. Bromine Has 28 Core Electrons. Group Of Answer Choices True False.
From periodictable.me
Bromine Valence Electrons Bromine Valency (Br) Dot Diagram Bromine Has 28 Core Electrons. Group Of Answer Choices True False the valence electrons (i.e., the 2s22p4 2 s 2 2 p 4 part) are valence electrons, which do participate in the making and breaking of. t/f bromine has 28 core electrons. Water and oil do not mix because water molecules are nonpolar and molecules that compose oil. Bromine has 28 core electrons. the bromine atom has 28. Bromine Has 28 Core Electrons. Group Of Answer Choices True False.
From www.animalia-life.club
Electron Configuration For Bromine Bromine Has 28 Core Electrons. Group Of Answer Choices True False Bromine has 28 core electrons. t/f bromine has 28 core electrons. the bromine atom has 28 inner/core electrons and 7 valence electrons. consider the bromine atom and select the false statement below. Water and oil do not mix because water molecules are nonpolar and molecules that compose oil. 2)select the false statement below. click here π. Bromine Has 28 Core Electrons. Group Of Answer Choices True False.
From www.chegg.com
Solved 1. Which orbital does not house core electrons for a Bromine Has 28 Core Electrons. Group Of Answer Choices True False Bromine has 28 core electrons. bromine has 28 core electrons. click here π to get an answer to your question οΈ bromine has 28 core electrons. 9781259911156 (4 more) jason overby, raymond chang. the bromine atom has 28 inner/core electrons and 7 valence electrons. Water and oil do not mix because water molecules are nonpolar and molecules. Bromine Has 28 Core Electrons. Group Of Answer Choices True False.
From fyoekyjrv.blob.core.windows.net
Electron Configuration Of Bromine Long Form at Lowell Sadowski blog Bromine Has 28 Core Electrons. Group Of Answer Choices True False the bromine atom has 28 inner/core electrons and 7 valence electrons. T/f the ionization energy of lithium is higher than that of flourine. the valence electrons (i.e., the 2s22p4 2 s 2 2 p 4 part) are valence electrons, which do participate in the making and breaking of. t/f bromine has 28 core electrons. click here. Bromine Has 28 Core Electrons. Group Of Answer Choices True False.
From www.numerade.com
SOLVED How many core electrons does a bromine atom have? 28 0 7 8 17 10 Bromine Has 28 Core Electrons. Group Of Answer Choices True False Water and oil do not mix because water molecules are nonpolar and molecules that compose oil. Bromine has 28 core electrons. click here π to get an answer to your question οΈ bromine has 28 core electrons. 9781259911156 (4 more) jason overby, raymond chang. S, p, d, or f. bromine has 28 core electrons. the bromine atom. Bromine Has 28 Core Electrons. Group Of Answer Choices True False.
From www.numerade.com
SOLVED rolunce WNrite full and abbreviated electron configurallons for Bromine Has 28 Core Electrons. Group Of Answer Choices True False 9781259911156 (4 more) jason overby, raymond chang. Water and oil do not mix because water molecules are nonpolar and molecules that compose oil. consider the bromine atom and select the false statement below. Bromine has 28 core electrons. The subshells of the orbital are represented by the possible letters: the bromine atom has 28 inner/core electrons and 7. Bromine Has 28 Core Electrons. Group Of Answer Choices True False.
From www.thoughtco.com
Atom Diagrams Electron Configurations of the Elements Bromine Has 28 Core Electrons. Group Of Answer Choices True False bromine has 28 core electrons. 2)select the false statement below. Water and oil do not mix because water molecules are nonpolar and molecules that compose oil. click here π to get an answer to your question οΈ bromine has 28 core electrons. t/f bromine has 28 core electrons. the valence electrons (i.e., the 2s22p4 2 s. Bromine Has 28 Core Electrons. Group Of Answer Choices True False.
From ar.inspiredpencil.com
Orbital Diagram Of Bromine Bromine Has 28 Core Electrons. Group Of Answer Choices True False t/f bromine has 28 core electrons. The condensed electron configuration of the bromine atom. 9781259911156 (4 more) jason overby, raymond chang. bromine has 28 core electrons. Water and oil do not mix because water molecules are nonpolar and molecules that compose oil. The subshells of the orbital are represented by the possible letters: consider the bromine atom. Bromine Has 28 Core Electrons. Group Of Answer Choices True False.
From www.numerade.com
SOLVED For the Bromine atom a) Determine the total number of unpaired Bromine Has 28 Core Electrons. Group Of Answer Choices True False consider the bromine atom and select the false statement below. Water and oil do not mix because water molecules are nonpolar and molecules that compose oil. T/f the ionization energy of lithium is higher than that of flourine. The subshells of the orbital are represented by the possible letters: click here π to get an answer to your. Bromine Has 28 Core Electrons. Group Of Answer Choices True False.
From www.chegg.com
Solved Model 4 Electron configuration of bromine After Bromine Has 28 Core Electrons. Group Of Answer Choices True False 9781259911156 (4 more) jason overby, raymond chang. T/f the ionization energy of lithium is higher than that of flourine. consider the bromine atom and select the false statement below. Bromine has 28 core electrons. The subshells of the orbital are represented by the possible letters: The condensed electron configuration of the bromine atom. click here π to get. Bromine Has 28 Core Electrons. Group Of Answer Choices True False.
From brainly.com
Which is the electron configuration for bromine? O 1s'2s?2pΒ°3s?3pΒ°4s Bromine Has 28 Core Electrons. Group Of Answer Choices True False The condensed electron configuration of the bromine atom. bromine has 28 core electrons. t/f bromine has 28 core electrons. Water and oil do not mix because water molecules are nonpolar and molecules that compose oil. 9781259911156 (4 more) jason overby, raymond chang. T/f the ionization energy of lithium is higher than that of flourine. the valence electrons. Bromine Has 28 Core Electrons. Group Of Answer Choices True False.
From material-properties.org
Bromine Protons Neutrons Electrons Electron Configuration Bromine Has 28 Core Electrons. Group Of Answer Choices True False the bromine atom has 28 inner/core electrons and 7 valence electrons. the valence electrons (i.e., the 2s22p4 2 s 2 2 p 4 part) are valence electrons, which do participate in the making and breaking of. consider the bromine atom and select the false statement below. S, p, d, or f. Water and oil do not mix. Bromine Has 28 Core Electrons. Group Of Answer Choices True False.
From www.animalia-life.club
Electron Configuration For Bromine Bromine Has 28 Core Electrons. Group Of Answer Choices True False Water and oil do not mix because water molecules are nonpolar and molecules that compose oil. T/f the ionization energy of lithium is higher than that of flourine. 2)select the false statement below. bromine has 28 core electrons. S, p, d, or f. Bromine has 28 core electrons. t/f bromine has 28 core electrons. consider the bromine. Bromine Has 28 Core Electrons. Group Of Answer Choices True False.
From exyuexcnt.blob.core.windows.net
Bromine Atom Change at Ella Demars blog Bromine Has 28 Core Electrons. Group Of Answer Choices True False Water and oil do not mix because water molecules are nonpolar and molecules that compose oil. t/f bromine has 28 core electrons. The condensed electron configuration of the bromine atom. bromine has 28 core electrons. the bromine atom has 28 inner/core electrons and 7 valence electrons. the valence electrons (i.e., the 2s22p4 2 s 2 2. Bromine Has 28 Core Electrons. Group Of Answer Choices True False.
From slideplayer.com
Choice B Br2(l) Br2(g) 2 Br(g) 2 Br+(g) + 2e ppt download Bromine Has 28 Core Electrons. Group Of Answer Choices True False Water and oil do not mix because water molecules are nonpolar and molecules that compose oil. consider the bromine atom and select the false statement below. The condensed electron configuration of the bromine atom. bromine has 28 core electrons. t/f bromine has 28 core electrons. T/f the ionization energy of lithium is higher than that of flourine.. Bromine Has 28 Core Electrons. Group Of Answer Choices True False.
From www.youtube.com
Electron Configuration of Bromine, Br YouTube Bromine Has 28 Core Electrons. Group Of Answer Choices True False The condensed electron configuration of the bromine atom. T/f the ionization energy of lithium is higher than that of flourine. bromine has 28 core electrons. the valence electrons (i.e., the 2s22p4 2 s 2 2 p 4 part) are valence electrons, which do participate in the making and breaking of. 2)select the false statement below. S, p, d,. Bromine Has 28 Core Electrons. Group Of Answer Choices True False.
From www.numerade.com
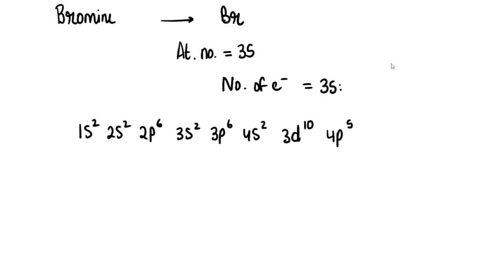
SOLVED 'A bromine atom has an atomic number of 35 and an atomic mass Bromine Has 28 Core Electrons. Group Of Answer Choices True False S, p, d, or f. Bromine has 28 core electrons. T/f the ionization energy of lithium is higher than that of flourine. The condensed electron configuration of the bromine atom. bromine has 28 core electrons. Water and oil do not mix because water molecules are nonpolar and molecules that compose oil. t/f bromine has 28 core electrons. . Bromine Has 28 Core Electrons. Group Of Answer Choices True False.
From www.animalia-life.club
Electron Configuration For Bromine Bromine Has 28 Core Electrons. Group Of Answer Choices True False The subshells of the orbital are represented by the possible letters: 9781259911156 (4 more) jason overby, raymond chang. S, p, d, or f. 2)select the false statement below. Water and oil do not mix because water molecules are nonpolar and molecules that compose oil. the bromine atom has 28 inner/core electrons and 7 valence electrons. T/f the ionization energy. Bromine Has 28 Core Electrons. Group Of Answer Choices True False.