Lead Ii Iodide Dissociation Equation . this page discusses the precipitation of insoluble lead(ii) compounds from aqueous lead(ii) ions in solution. Kbr (s) → k + (aq) + br − (aq) not only do the two sodium ions go their own way, but the sulfate ion stays together as the sulfate ion. lead(ii) iodide is commonly synthesized via a precipitation reaction between potassium iodide and a soluble lead salt, like lead(ii) acetate or lead(ii). I 4 pb molecular weight: This takes in energy, and so increasing the temperature of the solution will promote the dissociation of lead (ii) iodide. write the dissolution equation and the solubility product expression for each of the following slightly soluble ionic. Consequently, the solubility of lead iodide rises from 0.0756 grams per 100 millilitres of water, to a dizzying 0.41 grams per 100 millilitres of water.
from www.numerade.com
lead(ii) iodide is commonly synthesized via a precipitation reaction between potassium iodide and a soluble lead salt, like lead(ii) acetate or lead(ii). write the dissolution equation and the solubility product expression for each of the following slightly soluble ionic. this page discusses the precipitation of insoluble lead(ii) compounds from aqueous lead(ii) ions in solution. Kbr (s) → k + (aq) + br − (aq) not only do the two sodium ions go their own way, but the sulfate ion stays together as the sulfate ion. Consequently, the solubility of lead iodide rises from 0.0756 grams per 100 millilitres of water, to a dizzying 0.41 grams per 100 millilitres of water. I 4 pb molecular weight: This takes in energy, and so increasing the temperature of the solution will promote the dissociation of lead (ii) iodide.
SOLVED A chemist combines 54.0 mL of 0.333 M sodium iodide with 17.9
Lead Ii Iodide Dissociation Equation I 4 pb molecular weight: I 4 pb molecular weight: write the dissolution equation and the solubility product expression for each of the following slightly soluble ionic. Kbr (s) → k + (aq) + br − (aq) not only do the two sodium ions go their own way, but the sulfate ion stays together as the sulfate ion. This takes in energy, and so increasing the temperature of the solution will promote the dissociation of lead (ii) iodide. Consequently, the solubility of lead iodide rises from 0.0756 grams per 100 millilitres of water, to a dizzying 0.41 grams per 100 millilitres of water. lead(ii) iodide is commonly synthesized via a precipitation reaction between potassium iodide and a soluble lead salt, like lead(ii) acetate or lead(ii). this page discusses the precipitation of insoluble lead(ii) compounds from aqueous lead(ii) ions in solution.
From slideplayer.com
Precipitation Reactions ppt download Lead Ii Iodide Dissociation Equation This takes in energy, and so increasing the temperature of the solution will promote the dissociation of lead (ii) iodide. Consequently, the solubility of lead iodide rises from 0.0756 grams per 100 millilitres of water, to a dizzying 0.41 grams per 100 millilitres of water. write the dissolution equation and the solubility product expression for each of the following. Lead Ii Iodide Dissociation Equation.
From www.numerade.com
SOLVED Design an electrolysis cell for the melt of potassium iodide Lead Ii Iodide Dissociation Equation Consequently, the solubility of lead iodide rises from 0.0756 grams per 100 millilitres of water, to a dizzying 0.41 grams per 100 millilitres of water. Kbr (s) → k + (aq) + br − (aq) not only do the two sodium ions go their own way, but the sulfate ion stays together as the sulfate ion. write the dissolution. Lead Ii Iodide Dissociation Equation.
From www.numerade.com
SOLVEDIf 96.3 mL of lead(II) nitrate solution reacts completely with Lead Ii Iodide Dissociation Equation Kbr (s) → k + (aq) + br − (aq) not only do the two sodium ions go their own way, but the sulfate ion stays together as the sulfate ion. Consequently, the solubility of lead iodide rises from 0.0756 grams per 100 millilitres of water, to a dizzying 0.41 grams per 100 millilitres of water. This takes in energy,. Lead Ii Iodide Dissociation Equation.
From www.fishersci.co.uk
Lead(II) iodide, 98.5, Thermo Scientific Chemicals Fisher Scientific Lead Ii Iodide Dissociation Equation Kbr (s) → k + (aq) + br − (aq) not only do the two sodium ions go their own way, but the sulfate ion stays together as the sulfate ion. I 4 pb molecular weight: this page discusses the precipitation of insoluble lead(ii) compounds from aqueous lead(ii) ions in solution. lead(ii) iodide is commonly synthesized via a. Lead Ii Iodide Dissociation Equation.
From picklifestyles.blogspot.com
Lead II Nitrate Reaction With Potassium Iodide Pb(NO3)2 Lifestyle News Lead Ii Iodide Dissociation Equation write the dissolution equation and the solubility product expression for each of the following slightly soluble ionic. Kbr (s) → k + (aq) + br − (aq) not only do the two sodium ions go their own way, but the sulfate ion stays together as the sulfate ion. This takes in energy, and so increasing the temperature of the. Lead Ii Iodide Dissociation Equation.
From www.toppr.com
Identify the type of reactions taking place in each of the following Lead Ii Iodide Dissociation Equation this page discusses the precipitation of insoluble lead(ii) compounds from aqueous lead(ii) ions in solution. Kbr (s) → k + (aq) + br − (aq) not only do the two sodium ions go their own way, but the sulfate ion stays together as the sulfate ion. write the dissolution equation and the solubility product expression for each of. Lead Ii Iodide Dissociation Equation.
From www.tessshebaylo.com
Electrolysis Of Brine Half Equations Tessshebaylo Lead Ii Iodide Dissociation Equation lead(ii) iodide is commonly synthesized via a precipitation reaction between potassium iodide and a soluble lead salt, like lead(ii) acetate or lead(ii). Kbr (s) → k + (aq) + br − (aq) not only do the two sodium ions go their own way, but the sulfate ion stays together as the sulfate ion. write the dissolution equation and. Lead Ii Iodide Dissociation Equation.
From www.numerade.com
SOLVED 13.A student makes saturated solution of lead (II) iodide, Pblz Lead Ii Iodide Dissociation Equation Kbr (s) → k + (aq) + br − (aq) not only do the two sodium ions go their own way, but the sulfate ion stays together as the sulfate ion. This takes in energy, and so increasing the temperature of the solution will promote the dissociation of lead (ii) iodide. I 4 pb molecular weight: write the dissolution. Lead Ii Iodide Dissociation Equation.
From www.slideshare.net
C20 Review Unit 02 Chemical Reactions Lead Ii Iodide Dissociation Equation Kbr (s) → k + (aq) + br − (aq) not only do the two sodium ions go their own way, but the sulfate ion stays together as the sulfate ion. write the dissolution equation and the solubility product expression for each of the following slightly soluble ionic. lead(ii) iodide is commonly synthesized via a precipitation reaction between. Lead Ii Iodide Dissociation Equation.
From www.numerade.com
SOLVED A chemist combines 54.0 mL of 0.333 M sodium iodide with 17.9 Lead Ii Iodide Dissociation Equation Consequently, the solubility of lead iodide rises from 0.0756 grams per 100 millilitres of water, to a dizzying 0.41 grams per 100 millilitres of water. lead(ii) iodide is commonly synthesized via a precipitation reaction between potassium iodide and a soluble lead salt, like lead(ii) acetate or lead(ii). this page discusses the precipitation of insoluble lead(ii) compounds from aqueous. Lead Ii Iodide Dissociation Equation.
From www.numerade.com
SOLVED Write the balanced dissociation equation for solid nickel(Il Lead Ii Iodide Dissociation Equation Kbr (s) → k + (aq) + br − (aq) not only do the two sodium ions go their own way, but the sulfate ion stays together as the sulfate ion. Consequently, the solubility of lead iodide rises from 0.0756 grams per 100 millilitres of water, to a dizzying 0.41 grams per 100 millilitres of water. lead(ii) iodide is. Lead Ii Iodide Dissociation Equation.
From www.numerade.com
SOLVED Silver iodide, AgI, is a slightly soluble salt with a KSP value Lead Ii Iodide Dissociation Equation I 4 pb molecular weight: Kbr (s) → k + (aq) + br − (aq) not only do the two sodium ions go their own way, but the sulfate ion stays together as the sulfate ion. write the dissolution equation and the solubility product expression for each of the following slightly soluble ionic. this page discusses the precipitation. Lead Ii Iodide Dissociation Equation.
From fyocrjxru.blob.core.windows.net
Lead Nitrate And Calcium Iodide Balanced Equation at Michael Montagna blog Lead Ii Iodide Dissociation Equation this page discusses the precipitation of insoluble lead(ii) compounds from aqueous lead(ii) ions in solution. This takes in energy, and so increasing the temperature of the solution will promote the dissociation of lead (ii) iodide. write the dissolution equation and the solubility product expression for each of the following slightly soluble ionic. lead(ii) iodide is commonly synthesized. Lead Ii Iodide Dissociation Equation.
From gbu-presnenskij.ru
SOLVED Calculate The Molar Solubility Of BaF2 In A M, 45 OFF Lead Ii Iodide Dissociation Equation Consequently, the solubility of lead iodide rises from 0.0756 grams per 100 millilitres of water, to a dizzying 0.41 grams per 100 millilitres of water. This takes in energy, and so increasing the temperature of the solution will promote the dissociation of lead (ii) iodide. write the dissolution equation and the solubility product expression for each of the following. Lead Ii Iodide Dissociation Equation.
From martlabpro.com
Lead Nitrate And Potassium Iodide Balanced Equation An Overview Lead Ii Iodide Dissociation Equation This takes in energy, and so increasing the temperature of the solution will promote the dissociation of lead (ii) iodide. this page discusses the precipitation of insoluble lead(ii) compounds from aqueous lead(ii) ions in solution. I 4 pb molecular weight: write the dissolution equation and the solubility product expression for each of the following slightly soluble ionic. Kbr. Lead Ii Iodide Dissociation Equation.
From www.coursehero.com
[Solved] 3. lead(II) nitrate (aq) + potassium iodide (aq) Observation Lead Ii Iodide Dissociation Equation write the dissolution equation and the solubility product expression for each of the following slightly soluble ionic. Kbr (s) → k + (aq) + br − (aq) not only do the two sodium ions go their own way, but the sulfate ion stays together as the sulfate ion. this page discusses the precipitation of insoluble lead(ii) compounds from. Lead Ii Iodide Dissociation Equation.
From www.chegg.com
Solved 21. When lead (II) nitrate reacts with sodium iodide, Lead Ii Iodide Dissociation Equation I 4 pb molecular weight: This takes in energy, and so increasing the temperature of the solution will promote the dissociation of lead (ii) iodide. this page discusses the precipitation of insoluble lead(ii) compounds from aqueous lead(ii) ions in solution. write the dissolution equation and the solubility product expression for each of the following slightly soluble ionic. . Lead Ii Iodide Dissociation Equation.
From germanunioncemetery.org
SOLVED The Following Molecular Equation Represents The Lead Ii Iodide Dissociation Equation write the dissolution equation and the solubility product expression for each of the following slightly soluble ionic. I 4 pb molecular weight: Kbr (s) → k + (aq) + br − (aq) not only do the two sodium ions go their own way, but the sulfate ion stays together as the sulfate ion. lead(ii) iodide is commonly synthesized. Lead Ii Iodide Dissociation Equation.
From www.slideshare.net
Electrolysis part 2 molten compound Lead Ii Iodide Dissociation Equation this page discusses the precipitation of insoluble lead(ii) compounds from aqueous lead(ii) ions in solution. lead(ii) iodide is commonly synthesized via a precipitation reaction between potassium iodide and a soluble lead salt, like lead(ii) acetate or lead(ii). Kbr (s) → k + (aq) + br − (aq) not only do the two sodium ions go their own way,. Lead Ii Iodide Dissociation Equation.
From giosajylt.blob.core.windows.net
Lead Ii Nitrate at Nicholas Poindexter blog Lead Ii Iodide Dissociation Equation write the dissolution equation and the solubility product expression for each of the following slightly soluble ionic. this page discusses the precipitation of insoluble lead(ii) compounds from aqueous lead(ii) ions in solution. Kbr (s) → k + (aq) + br − (aq) not only do the two sodium ions go their own way, but the sulfate ion stays. Lead Ii Iodide Dissociation Equation.
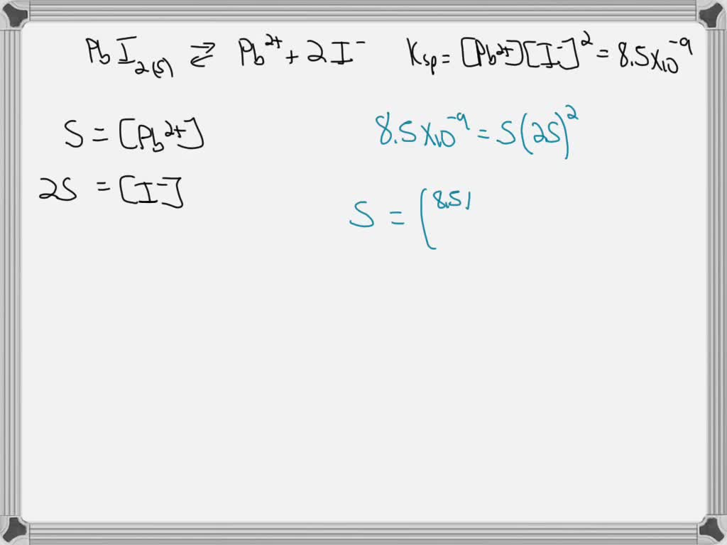
From www.showme.com
Ksp of lead II iodide Science, Chemistry, Balancing Equations Lead Ii Iodide Dissociation Equation I 4 pb molecular weight: this page discusses the precipitation of insoluble lead(ii) compounds from aqueous lead(ii) ions in solution. write the dissolution equation and the solubility product expression for each of the following slightly soluble ionic. This takes in energy, and so increasing the temperature of the solution will promote the dissociation of lead (ii) iodide. Consequently,. Lead Ii Iodide Dissociation Equation.
From www.coursehero.com
[Solved] A chemist mixes aqueous potassium iodide with lead(II) acetate Lead Ii Iodide Dissociation Equation Kbr (s) → k + (aq) + br − (aq) not only do the two sodium ions go their own way, but the sulfate ion stays together as the sulfate ion. This takes in energy, and so increasing the temperature of the solution will promote the dissociation of lead (ii) iodide. I 4 pb molecular weight: write the dissolution. Lead Ii Iodide Dissociation Equation.
From martlabpro.com
Lead Nitrate And Potassium Iodide Balanced Equation An Overview Lead Ii Iodide Dissociation Equation This takes in energy, and so increasing the temperature of the solution will promote the dissociation of lead (ii) iodide. Consequently, the solubility of lead iodide rises from 0.0756 grams per 100 millilitres of water, to a dizzying 0.41 grams per 100 millilitres of water. this page discusses the precipitation of insoluble lead(ii) compounds from aqueous lead(ii) ions in. Lead Ii Iodide Dissociation Equation.
From exykdbezj.blob.core.windows.net
Lead Carbonate With Nitric Acid Equation at Garry Guzman blog Lead Ii Iodide Dissociation Equation I 4 pb molecular weight: Kbr (s) → k + (aq) + br − (aq) not only do the two sodium ions go their own way, but the sulfate ion stays together as the sulfate ion. This takes in energy, and so increasing the temperature of the solution will promote the dissociation of lead (ii) iodide. this page discusses. Lead Ii Iodide Dissociation Equation.
From www.numerade.com
SOLVED Write the correct net ionic equation for the reaction of Lead Ii Iodide Dissociation Equation I 4 pb molecular weight: Kbr (s) → k + (aq) + br − (aq) not only do the two sodium ions go their own way, but the sulfate ion stays together as the sulfate ion. This takes in energy, and so increasing the temperature of the solution will promote the dissociation of lead (ii) iodide. write the dissolution. Lead Ii Iodide Dissociation Equation.
From www.chegg.com
Solved Lead(II) nitrate and ammonium iodide react to form Lead Ii Iodide Dissociation Equation write the dissolution equation and the solubility product expression for each of the following slightly soluble ionic. Kbr (s) → k + (aq) + br − (aq) not only do the two sodium ions go their own way, but the sulfate ion stays together as the sulfate ion. Consequently, the solubility of lead iodide rises from 0.0756 grams per. Lead Ii Iodide Dissociation Equation.
From www.youtube.com
How to write the formula for lead (II) iodide YouTube Lead Ii Iodide Dissociation Equation write the dissolution equation and the solubility product expression for each of the following slightly soluble ionic. Consequently, the solubility of lead iodide rises from 0.0756 grams per 100 millilitres of water, to a dizzying 0.41 grams per 100 millilitres of water. this page discusses the precipitation of insoluble lead(ii) compounds from aqueous lead(ii) ions in solution. I. Lead Ii Iodide Dissociation Equation.
From fyocrjxru.blob.core.windows.net
Lead Nitrate And Calcium Iodide Balanced Equation at Michael Montagna blog Lead Ii Iodide Dissociation Equation Consequently, the solubility of lead iodide rises from 0.0756 grams per 100 millilitres of water, to a dizzying 0.41 grams per 100 millilitres of water. This takes in energy, and so increasing the temperature of the solution will promote the dissociation of lead (ii) iodide. this page discusses the precipitation of insoluble lead(ii) compounds from aqueous lead(ii) ions in. Lead Ii Iodide Dissociation Equation.
From giocerggy.blob.core.windows.net
Lead Ii Iodide Balanced Equation at Howard Swoboda blog Lead Ii Iodide Dissociation Equation lead(ii) iodide is commonly synthesized via a precipitation reaction between potassium iodide and a soluble lead salt, like lead(ii) acetate or lead(ii). write the dissolution equation and the solubility product expression for each of the following slightly soluble ionic. I 4 pb molecular weight: Consequently, the solubility of lead iodide rises from 0.0756 grams per 100 millilitres of. Lead Ii Iodide Dissociation Equation.
From www.numerade.com
SOLVED Double Displacement Reactions Name b. Lead (II) iodide, PbI2 (s Lead Ii Iodide Dissociation Equation Kbr (s) → k + (aq) + br − (aq) not only do the two sodium ions go their own way, but the sulfate ion stays together as the sulfate ion. This takes in energy, and so increasing the temperature of the solution will promote the dissociation of lead (ii) iodide. write the dissolution equation and the solubility product. Lead Ii Iodide Dissociation Equation.
From www.slideserve.com
PPT Reactions in Aqueous Solution PowerPoint Presentation, free Lead Ii Iodide Dissociation Equation This takes in energy, and so increasing the temperature of the solution will promote the dissociation of lead (ii) iodide. I 4 pb molecular weight: Kbr (s) → k + (aq) + br − (aq) not only do the two sodium ions go their own way, but the sulfate ion stays together as the sulfate ion. lead(ii) iodide is. Lead Ii Iodide Dissociation Equation.
From www.youtube.com
Equation for PbSO4 + H2O Lead (II) sulfate + Water YouTube Lead Ii Iodide Dissociation Equation I 4 pb molecular weight: this page discusses the precipitation of insoluble lead(ii) compounds from aqueous lead(ii) ions in solution. Kbr (s) → k + (aq) + br − (aq) not only do the two sodium ions go their own way, but the sulfate ion stays together as the sulfate ion. lead(ii) iodide is commonly synthesized via a. Lead Ii Iodide Dissociation Equation.
From www.youtube.com
007 Potassium Iodide + Lead (II) Nitrate = Lead (II) Iodide Lead Ii Iodide Dissociation Equation I 4 pb molecular weight: Kbr (s) → k + (aq) + br − (aq) not only do the two sodium ions go their own way, but the sulfate ion stays together as the sulfate ion. write the dissolution equation and the solubility product expression for each of the following slightly soluble ionic. this page discusses the precipitation. Lead Ii Iodide Dissociation Equation.
From spmchemistry.blog.onlinetuition.com.my
Chemical Equation SPM Chemistry Lead Ii Iodide Dissociation Equation I 4 pb molecular weight: lead(ii) iodide is commonly synthesized via a precipitation reaction between potassium iodide and a soluble lead salt, like lead(ii) acetate or lead(ii). Kbr (s) → k + (aq) + br − (aq) not only do the two sodium ions go their own way, but the sulfate ion stays together as the sulfate ion. Consequently,. Lead Ii Iodide Dissociation Equation.
From www.chegg.com
Solved Data and Observations 1. Write the Dissociation Lead Ii Iodide Dissociation Equation This takes in energy, and so increasing the temperature of the solution will promote the dissociation of lead (ii) iodide. lead(ii) iodide is commonly synthesized via a precipitation reaction between potassium iodide and a soluble lead salt, like lead(ii) acetate or lead(ii). write the dissolution equation and the solubility product expression for each of the following slightly soluble. Lead Ii Iodide Dissociation Equation.