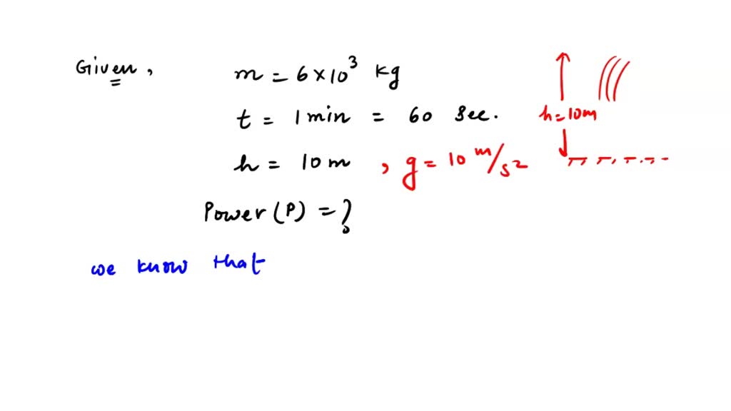
Water Is Falling On The Blades Of A Turbine . from a waterfall, water is falling down at the rate of 100 kg/s on the blades of turbine. 3 × 10 3 kg of water pours on the blade per minute. water is falling on the blades of a turbine from a height of 25 m. 3× 103 kg of water. Power = energy/time = mgh/t. Water is falling on the blades of a turbine from a height of 25 m. In this problem, we have provided that the stream of water is falling on the blades of the turbine which in turn provides the. Power = time work =tmgh=(tm)gh given, tm=100kg/s,h=100m,g=10m/s2∴ power =100×10×100=100kw. Water is falling on the blades of a turbine at a rate of 6000. P = tmgh = 606000×10 ×100 = 100000 = 100kw. so the rate of change of potential energy of the water will be equal to the power generated by the turbine due to. If the height of the fall is 100 m,.
from www.toppr.com
Water is falling on the blades of a turbine from a height of 25 m. 3× 103 kg of water. so the rate of change of potential energy of the water will be equal to the power generated by the turbine due to. Water is falling on the blades of a turbine at a rate of 6000. 3 × 10 3 kg of water pours on the blade per minute. P = tmgh = 606000×10 ×100 = 100000 = 100kw. In this problem, we have provided that the stream of water is falling on the blades of the turbine which in turn provides the. from a waterfall, water is falling down at the rate of 100 kg/s on the blades of turbine. Power = energy/time = mgh/t. If the height of the fall is 100 m,.
(3) A4 the blades of a turbine a rate Water is falling on the blades
Water Is Falling On The Blades Of A Turbine 3× 103 kg of water. Water is falling on the blades of a turbine from a height of 25 m. water is falling on the blades of a turbine from a height of 25 m. Water is falling on the blades of a turbine at a rate of 6000. If the height of the fall is 100 m,. 3× 103 kg of water. P = tmgh = 606000×10 ×100 = 100000 = 100kw. Power = time work =tmgh=(tm)gh given, tm=100kg/s,h=100m,g=10m/s2∴ power =100×10×100=100kw. Power = energy/time = mgh/t. from a waterfall, water is falling down at the rate of 100 kg/s on the blades of turbine. In this problem, we have provided that the stream of water is falling on the blades of the turbine which in turn provides the. 3 × 10 3 kg of water pours on the blade per minute. so the rate of change of potential energy of the water will be equal to the power generated by the turbine due to.
From www.youtube.com
Water is falling on the blades of a turbine at a rate of 100 kg/s from Water Is Falling On The Blades Of A Turbine so the rate of change of potential energy of the water will be equal to the power generated by the turbine due to. 3 × 10 3 kg of water pours on the blade per minute. Water is falling on the blades of a turbine at a rate of 6000. water is falling on the blades of a. Water Is Falling On The Blades Of A Turbine.
From www.youtube.com
5 Axis Machining of Turbine Blade YouTube Water Is Falling On The Blades Of A Turbine 3 × 10 3 kg of water pours on the blade per minute. 3× 103 kg of water. water is falling on the blades of a turbine from a height of 25 m. from a waterfall, water is falling down at the rate of 100 kg/s on the blades of turbine. so the rate of change of. Water Is Falling On The Blades Of A Turbine.
From www.insidehook.com
Here's How Giant Turbine Blades Get Transported to Wind Farms InsideHook Water Is Falling On The Blades Of A Turbine Water is falling on the blades of a turbine at a rate of 6000. Water is falling on the blades of a turbine from a height of 25 m. so the rate of change of potential energy of the water will be equal to the power generated by the turbine due to. Power = energy/time = mgh/t. In this. Water Is Falling On The Blades Of A Turbine.
From studentlesson.com
Difference Between Impulse And Reaction Turbine Studentlesson Water Is Falling On The Blades Of A Turbine Power = time work =tmgh=(tm)gh given, tm=100kg/s,h=100m,g=10m/s2∴ power =100×10×100=100kw. 3× 103 kg of water. Power = energy/time = mgh/t. Water is falling on the blades of a turbine from a height of 25 m. If the height of the fall is 100 m,. In this problem, we have provided that the stream of water is falling on the blades of. Water Is Falling On The Blades Of A Turbine.
From www.toppr.com
(3) Vu2+g! 14 V +49) 19. Water from a stream is falling on the blades Water Is Falling On The Blades Of A Turbine 3 × 10 3 kg of water pours on the blade per minute. Power = energy/time = mgh/t. from a waterfall, water is falling down at the rate of 100 kg/s on the blades of turbine. P = tmgh = 606000×10 ×100 = 100000 = 100kw. Water is falling on the blades of a turbine at a rate of. Water Is Falling On The Blades Of A Turbine.
From www.toppr.com
Water from a stream is falling on the blades of a turbine the rate of Water Is Falling On The Blades Of A Turbine so the rate of change of potential energy of the water will be equal to the power generated by the turbine due to. water is falling on the blades of a turbine from a height of 25 m. Water is falling on the blades of a turbine from a height of 25 m. Power = energy/time = mgh/t.. Water Is Falling On The Blades Of A Turbine.
From brainly.in
water is falling on the blades of a turbine at the rate of 6×10³kg per Water Is Falling On The Blades Of A Turbine P = tmgh = 606000×10 ×100 = 100000 = 100kw. Power = time work =tmgh=(tm)gh given, tm=100kg/s,h=100m,g=10m/s2∴ power =100×10×100=100kw. Water is falling on the blades of a turbine at a rate of 6000. In this problem, we have provided that the stream of water is falling on the blades of the turbine which in turn provides the. so the. Water Is Falling On The Blades Of A Turbine.
From www.toppr.com
Water is falling on the blades of a turbine by from a height of 25 m. 3 Water Is Falling On The Blades Of A Turbine In this problem, we have provided that the stream of water is falling on the blades of the turbine which in turn provides the. If the height of the fall is 100 m,. water is falling on the blades of a turbine from a height of 25 m. 3× 103 kg of water. Power = energy/time = mgh/t. Power. Water Is Falling On The Blades Of A Turbine.
From www.dreamstime.com
Shaft and Blades of a Powerful Steam Turbine. Elements for Fastening Water Is Falling On The Blades Of A Turbine Water is falling on the blades of a turbine at a rate of 6000. Power = energy/time = mgh/t. so the rate of change of potential energy of the water will be equal to the power generated by the turbine due to. Power = time work =tmgh=(tm)gh given, tm=100kg/s,h=100m,g=10m/s2∴ power =100×10×100=100kw. 3× 103 kg of water. P = tmgh. Water Is Falling On The Blades Of A Turbine.
From www.youtube.com
From a waterfall, water is falling down at the rate of 100 kg/s on the Water Is Falling On The Blades Of A Turbine Power = energy/time = mgh/t. water is falling on the blades of a turbine from a height of 25 m. If the height of the fall is 100 m,. Water is falling on the blades of a turbine at a rate of 6000. In this problem, we have provided that the stream of water is falling on the blades. Water Is Falling On The Blades Of A Turbine.
From www.toppr.com
From a waterfall, water is pouring down at the rate of 160 kg per Water Is Falling On The Blades Of A Turbine 3 × 10 3 kg of water pours on the blade per minute. P = tmgh = 606000×10 ×100 = 100000 = 100kw. from a waterfall, water is falling down at the rate of 100 kg/s on the blades of turbine. Power = energy/time = mgh/t. Water is falling on the blades of a turbine at a rate of. Water Is Falling On The Blades Of A Turbine.
From mungfali.com
Different Types Of Wind Turbine Blades Water Is Falling On The Blades Of A Turbine 3 × 10 3 kg of water pours on the blade per minute. If the height of the fall is 100 m,. from a waterfall, water is falling down at the rate of 100 kg/s on the blades of turbine. water is falling on the blades of a turbine from a height of 25 m. Water is falling. Water Is Falling On The Blades Of A Turbine.
From askfilo.com
Water is falling on the blades of a turbine seconds is Filo Water Is Falling On The Blades Of A Turbine Power = time work =tmgh=(tm)gh given, tm=100kg/s,h=100m,g=10m/s2∴ power =100×10×100=100kw. P = tmgh = 606000×10 ×100 = 100000 = 100kw. In this problem, we have provided that the stream of water is falling on the blades of the turbine which in turn provides the. Water is falling on the blades of a turbine at a rate of 6000. 3 × 10. Water Is Falling On The Blades Of A Turbine.
From www.toppr.com
(3) 78.4 W (4) 108 W 69. A 1.0 hp motor pumps out water from a well of Water Is Falling On The Blades Of A Turbine Power = time work =tmgh=(tm)gh given, tm=100kg/s,h=100m,g=10m/s2∴ power =100×10×100=100kw. P = tmgh = 606000×10 ×100 = 100000 = 100kw. water is falling on the blades of a turbine from a height of 25 m. Water is falling on the blades of a turbine at a rate of 6000. If the height of the fall is 100 m,. so. Water Is Falling On The Blades Of A Turbine.
From www.alamy.com
Maintenance work on the blades of a wind turbine Stock Photo Alamy Water Is Falling On The Blades Of A Turbine Water is falling on the blades of a turbine at a rate of 6000. water is falling on the blades of a turbine from a height of 25 m. In this problem, we have provided that the stream of water is falling on the blades of the turbine which in turn provides the. Water is falling on the blades. Water Is Falling On The Blades Of A Turbine.
From www.researchgate.net
Swept area of the blades of a wind turbine. Download Scientific Diagram Water Is Falling On The Blades Of A Turbine water is falling on the blades of a turbine from a height of 25 m. Water is falling on the blades of a turbine at a rate of 6000. from a waterfall, water is falling down at the rate of 100 kg/s on the blades of turbine. so the rate of change of potential energy of the. Water Is Falling On The Blades Of A Turbine.
From www.toppr.com
From a waterfall, water is pouring down at the rate of 160 kg per Water Is Falling On The Blades Of A Turbine Water is falling on the blades of a turbine at a rate of 6000. If the height of the fall is 100 m,. Water is falling on the blades of a turbine from a height of 25 m. In this problem, we have provided that the stream of water is falling on the blades of the turbine which in turn. Water Is Falling On The Blades Of A Turbine.
From www.toppr.com
9. From a water fall, water is pouring down the rate of 100 kg/s, on Water Is Falling On The Blades Of A Turbine Water is falling on the blades of a turbine at a rate of 6000. water is falling on the blades of a turbine from a height of 25 m. P = tmgh = 606000×10 ×100 = 100000 = 100kw. In this problem, we have provided that the stream of water is falling on the blades of the turbine which. Water Is Falling On The Blades Of A Turbine.
From byjus.com
water is falling at the rate of 100 kg/s on the blades of turbine from Water Is Falling On The Blades Of A Turbine so the rate of change of potential energy of the water will be equal to the power generated by the turbine due to. Water is falling on the blades of a turbine from a height of 25 m. Power = time work =tmgh=(tm)gh given, tm=100kg/s,h=100m,g=10m/s2∴ power =100×10×100=100kw. water is falling on the blades of a turbine from a. Water Is Falling On The Blades Of A Turbine.
From www.mdpi.com
JMSE Free FullText Carbon Fiber Composites for LargeScale Wind Water Is Falling On The Blades Of A Turbine Water is falling on the blades of a turbine at a rate of 6000. If the height of the fall is 100 m,. Power = energy/time = mgh/t. 3 × 10 3 kg of water pours on the blade per minute. P = tmgh = 606000×10 ×100 = 100000 = 100kw. so the rate of change of potential energy. Water Is Falling On The Blades Of A Turbine.
From www.youtube.com
Wind Turbine Blade Forces YouTube Water Is Falling On The Blades Of A Turbine 3 × 10 3 kg of water pours on the blade per minute. P = tmgh = 606000×10 ×100 = 100000 = 100kw. Water is falling on the blades of a turbine at a rate of 6000. Power = energy/time = mgh/t. In this problem, we have provided that the stream of water is falling on the blades of the. Water Is Falling On The Blades Of A Turbine.
From www.toppr.com
(3) A4 the blades of a turbine a rate Water is falling on the blades Water Is Falling On The Blades Of A Turbine Power = energy/time = mgh/t. Power = time work =tmgh=(tm)gh given, tm=100kg/s,h=100m,g=10m/s2∴ power =100×10×100=100kw. If the height of the fall is 100 m,. In this problem, we have provided that the stream of water is falling on the blades of the turbine which in turn provides the. water is falling on the blades of a turbine from a height. Water Is Falling On The Blades Of A Turbine.
From www.toppr.com
(3) Vu2+g! 14 V +49) 19. Water from a stream is falling on the blades Water Is Falling On The Blades Of A Turbine water is falling on the blades of a turbine from a height of 25 m. Power = time work =tmgh=(tm)gh given, tm=100kg/s,h=100m,g=10m/s2∴ power =100×10×100=100kw. so the rate of change of potential energy of the water will be equal to the power generated by the turbine due to. P = tmgh = 606000×10 ×100 = 100000 = 100kw. If. Water Is Falling On The Blades Of A Turbine.
From www.alamy.com
Maintenance work on the blades of a wind turbine Stock Photo Alamy Water Is Falling On The Blades Of A Turbine water is falling on the blades of a turbine from a height of 25 m. 3× 103 kg of water. Water is falling on the blades of a turbine at a rate of 6000. from a waterfall, water is falling down at the rate of 100 kg/s on the blades of turbine. 3 × 10 3 kg of. Water Is Falling On The Blades Of A Turbine.
From askfilo.com
ALLEN 70. Water is falling on the blades of a turbine at a rate of 100 kg.. Water Is Falling On The Blades Of A Turbine Power = energy/time = mgh/t. from a waterfall, water is falling down at the rate of 100 kg/s on the blades of turbine. Water is falling on the blades of a turbine at a rate of 6000. 3 × 10 3 kg of water pours on the blade per minute. so the rate of change of potential energy. Water Is Falling On The Blades Of A Turbine.
From www.toppr.com
Water is falling on the blades of a turbine at a rate of 100 kg/s from Water Is Falling On The Blades Of A Turbine Water is falling on the blades of a turbine at a rate of 6000. water is falling on the blades of a turbine from a height of 25 m. 3× 103 kg of water. P = tmgh = 606000×10 ×100 = 100000 = 100kw. from a waterfall, water is falling down at the rate of 100 kg/s on. Water Is Falling On The Blades Of A Turbine.
From www.bloomberg.com
Wind Turbine Farms Power Giant Tower Collapse News Bloomberg Water Is Falling On The Blades Of A Turbine Power = time work =tmgh=(tm)gh given, tm=100kg/s,h=100m,g=10m/s2∴ power =100×10×100=100kw. so the rate of change of potential energy of the water will be equal to the power generated by the turbine due to. Water is falling on the blades of a turbine at a rate of 6000. P = tmgh = 606000×10 ×100 = 100000 = 100kw. If the height. Water Is Falling On The Blades Of A Turbine.
From giownspwj.blob.core.windows.net
What Material Are Turbine Blades Made Of at Chris Simons blog Water Is Falling On The Blades Of A Turbine P = tmgh = 606000×10 ×100 = 100000 = 100kw. 3 × 10 3 kg of water pours on the blade per minute. from a waterfall, water is falling down at the rate of 100 kg/s on the blades of turbine. 3× 103 kg of water. In this problem, we have provided that the stream of water is falling. Water Is Falling On The Blades Of A Turbine.
From windmillstech.com
Wind Turbine Blade Forces Windmills Tech Water Is Falling On The Blades Of A Turbine In this problem, we have provided that the stream of water is falling on the blades of the turbine which in turn provides the. from a waterfall, water is falling down at the rate of 100 kg/s on the blades of turbine. water is falling on the blades of a turbine from a height of 25 m. Water. Water Is Falling On The Blades Of A Turbine.
From www.nww.usace.army.mil
hydropower diagram Water Is Falling On The Blades Of A Turbine Water is falling on the blades of a turbine at a rate of 6000. 3× 103 kg of water. 3 × 10 3 kg of water pours on the blade per minute. from a waterfall, water is falling down at the rate of 100 kg/s on the blades of turbine. so the rate of change of potential energy. Water Is Falling On The Blades Of A Turbine.
From www.youtube.com
Water is falling on the blades of a turbine at the rate of 6 x 10^3 kg Water Is Falling On The Blades Of A Turbine Water is falling on the blades of a turbine from a height of 25 m. 3× 103 kg of water. Power = energy/time = mgh/t. so the rate of change of potential energy of the water will be equal to the power generated by the turbine due to. Power = time work =tmgh=(tm)gh given, tm=100kg/s,h=100m,g=10m/s2∴ power =100×10×100=100kw. P =. Water Is Falling On The Blades Of A Turbine.
From www.numerade.com
SOLVED Water is falling on the blades of a turbine at the rate of 6 × Water Is Falling On The Blades Of A Turbine Water is falling on the blades of a turbine at a rate of 6000. so the rate of change of potential energy of the water will be equal to the power generated by the turbine due to. Power = energy/time = mgh/t. water is falling on the blades of a turbine from a height of 25 m. Water. Water Is Falling On The Blades Of A Turbine.
From www.electroniclinic.com
Hydroelectric Power Plant Working, Hydro Turbines Types, calculations Water Is Falling On The Blades Of A Turbine Water is falling on the blades of a turbine at a rate of 6000. Power = time work =tmgh=(tm)gh given, tm=100kg/s,h=100m,g=10m/s2∴ power =100×10×100=100kw. water is falling on the blades of a turbine from a height of 25 m. If the height of the fall is 100 m,. In this problem, we have provided that the stream of water is. Water Is Falling On The Blades Of A Turbine.
From www.toppr.com
Water is falling on the blades of a turbine at a rate of 100 kg/s from Water Is Falling On The Blades Of A Turbine Power = energy/time = mgh/t. If the height of the fall is 100 m,. Water is falling on the blades of a turbine from a height of 25 m. so the rate of change of potential energy of the water will be equal to the power generated by the turbine due to. In this problem, we have provided that. Water Is Falling On The Blades Of A Turbine.
From www.researchgate.net
What should i consider during the design and fabrication of water Water Is Falling On The Blades Of A Turbine from a waterfall, water is falling down at the rate of 100 kg/s on the blades of turbine. Water is falling on the blades of a turbine at a rate of 6000. Power = time work =tmgh=(tm)gh given, tm=100kg/s,h=100m,g=10m/s2∴ power =100×10×100=100kw. Power = energy/time = mgh/t. so the rate of change of potential energy of the water will. Water Is Falling On The Blades Of A Turbine.