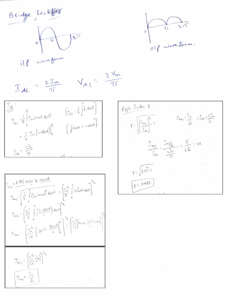
Bridge Rectifier Pdf . Measure/plot the input and output waveform. 1.1 block diagram of regulated power supply with waveforms. Principle of full wave bridge rectifier we apply an ac across the bridge. Four rectifiers arranged this way are called a diode bridge or bridge rectifier: A bridge rectifier is a circuit that converts ac to dc using four diodes arranged in a bridge configuration. If the input to this rectifier is a sine wave , we find that the output is approximately that of an ideal.
from electronics.stackexchange.com
Four rectifiers arranged this way are called a diode bridge or bridge rectifier: Principle of full wave bridge rectifier we apply an ac across the bridge. A bridge rectifier is a circuit that converts ac to dc using four diodes arranged in a bridge configuration. Measure/plot the input and output waveform. If the input to this rectifier is a sine wave , we find that the output is approximately that of an ideal. 1.1 block diagram of regulated power supply with waveforms.
ac What would be the results of two bridge rectifiers in series
Bridge Rectifier Pdf Four rectifiers arranged this way are called a diode bridge or bridge rectifier: A bridge rectifier is a circuit that converts ac to dc using four diodes arranged in a bridge configuration. If the input to this rectifier is a sine wave , we find that the output is approximately that of an ideal. Measure/plot the input and output waveform. Principle of full wave bridge rectifier we apply an ac across the bridge. 1.1 block diagram of regulated power supply with waveforms. Four rectifiers arranged this way are called a diode bridge or bridge rectifier:
From testbook.com
Bridge Rectifier Circuit Diagram, Construction, Working, Uses Bridge Rectifier Pdf Four rectifiers arranged this way are called a diode bridge or bridge rectifier: If the input to this rectifier is a sine wave , we find that the output is approximately that of an ideal. 1.1 block diagram of regulated power supply with waveforms. Principle of full wave bridge rectifier we apply an ac across the bridge. Measure/plot the input. Bridge Rectifier Pdf.
From hackaday.com
Scope Noob Bridge Rectifier Hackaday Bridge Rectifier Pdf Four rectifiers arranged this way are called a diode bridge or bridge rectifier: Measure/plot the input and output waveform. If the input to this rectifier is a sine wave , we find that the output is approximately that of an ideal. A bridge rectifier is a circuit that converts ac to dc using four diodes arranged in a bridge configuration.. Bridge Rectifier Pdf.
From electronics360.globalspec.com
The basics of the bridge rectifier Electronics360 Bridge Rectifier Pdf Four rectifiers arranged this way are called a diode bridge or bridge rectifier: 1.1 block diagram of regulated power supply with waveforms. Principle of full wave bridge rectifier we apply an ac across the bridge. Measure/plot the input and output waveform. If the input to this rectifier is a sine wave , we find that the output is approximately that. Bridge Rectifier Pdf.
From www.youtube.com
How to make half bridge rectifier simulation in proteus YouTube Bridge Rectifier Pdf A bridge rectifier is a circuit that converts ac to dc using four diodes arranged in a bridge configuration. Principle of full wave bridge rectifier we apply an ac across the bridge. Four rectifiers arranged this way are called a diode bridge or bridge rectifier: Measure/plot the input and output waveform. If the input to this rectifier is a sine. Bridge Rectifier Pdf.
From www.scribd.com
Full Bridge Rectifier PDF Bridge Rectifier Pdf 1.1 block diagram of regulated power supply with waveforms. Principle of full wave bridge rectifier we apply an ac across the bridge. Measure/plot the input and output waveform. Four rectifiers arranged this way are called a diode bridge or bridge rectifier: A bridge rectifier is a circuit that converts ac to dc using four diodes arranged in a bridge configuration.. Bridge Rectifier Pdf.
From manuallibrene.z13.web.core.windows.net
Full Bridge Rectifier Circuit Bridge Rectifier Pdf Principle of full wave bridge rectifier we apply an ac across the bridge. Measure/plot the input and output waveform. If the input to this rectifier is a sine wave , we find that the output is approximately that of an ideal. Four rectifiers arranged this way are called a diode bridge or bridge rectifier: 1.1 block diagram of regulated power. Bridge Rectifier Pdf.
From wiringfixpaiblekeeltemdb.z21.web.core.windows.net
How To Make A Rectifier Circuit Bridge Rectifier Pdf Principle of full wave bridge rectifier we apply an ac across the bridge. If the input to this rectifier is a sine wave , we find that the output is approximately that of an ideal. 1.1 block diagram of regulated power supply with waveforms. Four rectifiers arranged this way are called a diode bridge or bridge rectifier: Measure/plot the input. Bridge Rectifier Pdf.
From diagramwallsshiftwork.z21.web.core.windows.net
Bridge Rectifier Circuit Diagram And Waveform Bridge Rectifier Pdf A bridge rectifier is a circuit that converts ac to dc using four diodes arranged in a bridge configuration. 1.1 block diagram of regulated power supply with waveforms. Measure/plot the input and output waveform. If the input to this rectifier is a sine wave , we find that the output is approximately that of an ideal. Principle of full wave. Bridge Rectifier Pdf.
From easby.com
Standard Bridge Rectifiers 2A KBPF20xG Series Easby Electronics Bridge Rectifier Pdf If the input to this rectifier is a sine wave , we find that the output is approximately that of an ideal. Measure/plot the input and output waveform. Principle of full wave bridge rectifier we apply an ac across the bridge. 1.1 block diagram of regulated power supply with waveforms. Four rectifiers arranged this way are called a diode bridge. Bridge Rectifier Pdf.
From jlcpcb.com
D15SB80 LRC Bridge Rectifiers JLCPCB Bridge Rectifier Pdf A bridge rectifier is a circuit that converts ac to dc using four diodes arranged in a bridge configuration. If the input to this rectifier is a sine wave , we find that the output is approximately that of an ideal. 1.1 block diagram of regulated power supply with waveforms. Measure/plot the input and output waveform. Four rectifiers arranged this. Bridge Rectifier Pdf.
From ampere-electronics.com
Bridge Rectifier (3A, 1000V) Ampere Electronics Bridge Rectifier Pdf A bridge rectifier is a circuit that converts ac to dc using four diodes arranged in a bridge configuration. If the input to this rectifier is a sine wave , we find that the output is approximately that of an ideal. Measure/plot the input and output waveform. Four rectifiers arranged this way are called a diode bridge or bridge rectifier:. Bridge Rectifier Pdf.
From jlcpcb.com
DF06 SEP Bridge Rectifiers JLCPCB Bridge Rectifier Pdf A bridge rectifier is a circuit that converts ac to dc using four diodes arranged in a bridge configuration. 1.1 block diagram of regulated power supply with waveforms. If the input to this rectifier is a sine wave , we find that the output is approximately that of an ideal. Principle of full wave bridge rectifier we apply an ac. Bridge Rectifier Pdf.
From schematicdiagramhuber.z19.web.core.windows.net
Bridge Rectifier Circuit Diagram Ppt Bridge Rectifier Pdf Principle of full wave bridge rectifier we apply an ac across the bridge. Four rectifiers arranged this way are called a diode bridge or bridge rectifier: If the input to this rectifier is a sine wave , we find that the output is approximately that of an ideal. A bridge rectifier is a circuit that converts ac to dc using. Bridge Rectifier Pdf.
From electronicscoach.com
What is 3 Phase Rectifier ? 3 Phase Half Wave, Full Wave & Bridge Bridge Rectifier Pdf 1.1 block diagram of regulated power supply with waveforms. Principle of full wave bridge rectifier we apply an ac across the bridge. Four rectifiers arranged this way are called a diode bridge or bridge rectifier: A bridge rectifier is a circuit that converts ac to dc using four diodes arranged in a bridge configuration. If the input to this rectifier. Bridge Rectifier Pdf.
From www.ampere-electronics.com
Bridge Rectifier (6A, 1000V) Square Ampere Electronics Bridge Rectifier Pdf 1.1 block diagram of regulated power supply with waveforms. Four rectifiers arranged this way are called a diode bridge or bridge rectifier: Measure/plot the input and output waveform. A bridge rectifier is a circuit that converts ac to dc using four diodes arranged in a bridge configuration. Principle of full wave bridge rectifier we apply an ac across the bridge.. Bridge Rectifier Pdf.
From electronicshacks.com
What Is a Bridge Rectifier? ElectronicsHacks Bridge Rectifier Pdf If the input to this rectifier is a sine wave , we find that the output is approximately that of an ideal. Four rectifiers arranged this way are called a diode bridge or bridge rectifier: Principle of full wave bridge rectifier we apply an ac across the bridge. A bridge rectifier is a circuit that converts ac to dc using. Bridge Rectifier Pdf.
From www.powersystemsdesign.com
Bridge Rectifiers Feature low Power Loss and High Efficiency Bridge Rectifier Pdf 1.1 block diagram of regulated power supply with waveforms. Measure/plot the input and output waveform. A bridge rectifier is a circuit that converts ac to dc using four diodes arranged in a bridge configuration. If the input to this rectifier is a sine wave , we find that the output is approximately that of an ideal. Four rectifiers arranged this. Bridge Rectifier Pdf.
From schematiclibsven99.z13.web.core.windows.net
Full Bridge Rectifier Circuit Diagram Bridge Rectifier Pdf Four rectifiers arranged this way are called a diode bridge or bridge rectifier: If the input to this rectifier is a sine wave , we find that the output is approximately that of an ideal. Principle of full wave bridge rectifier we apply an ac across the bridge. 1.1 block diagram of regulated power supply with waveforms. Measure/plot the input. Bridge Rectifier Pdf.
From www.surpluscenter.com
35 Amp 1000 Volt KBPC3510 Bridge Rectifier MB3510 Bridge Rectifiers Bridge Rectifier Pdf 1.1 block diagram of regulated power supply with waveforms. Measure/plot the input and output waveform. Principle of full wave bridge rectifier we apply an ac across the bridge. Four rectifiers arranged this way are called a diode bridge or bridge rectifier: A bridge rectifier is a circuit that converts ac to dc using four diodes arranged in a bridge configuration.. Bridge Rectifier Pdf.
From hcess.ca
KBP02 Bridge Rectifier 200V 1.5A Rectangle 4 pin SIP PCB KBP HardCore Bridge Rectifier Pdf Principle of full wave bridge rectifier we apply an ac across the bridge. Measure/plot the input and output waveform. 1.1 block diagram of regulated power supply with waveforms. Four rectifiers arranged this way are called a diode bridge or bridge rectifier: A bridge rectifier is a circuit that converts ac to dc using four diodes arranged in a bridge configuration.. Bridge Rectifier Pdf.
From www.distrelec.de
GBI15K Diotec Bridge Rectifier, 560V, 3.2A Distrelec Germany Bridge Rectifier Pdf 1.1 block diagram of regulated power supply with waveforms. If the input to this rectifier is a sine wave , we find that the output is approximately that of an ideal. A bridge rectifier is a circuit that converts ac to dc using four diodes arranged in a bridge configuration. Principle of full wave bridge rectifier we apply an ac. Bridge Rectifier Pdf.
From wireenginepreppiness.z21.web.core.windows.net
Full Wave Bridge Rectifier Output Waveform Bridge Rectifier Pdf 1.1 block diagram of regulated power supply with waveforms. Measure/plot the input and output waveform. If the input to this rectifier is a sine wave , we find that the output is approximately that of an ideal. Four rectifiers arranged this way are called a diode bridge or bridge rectifier: Principle of full wave bridge rectifier we apply an ac. Bridge Rectifier Pdf.
From engineeringtutorial.com
Full Wave Bridge Rectifier Operation Engineering Tutorial Bridge Rectifier Pdf If the input to this rectifier is a sine wave , we find that the output is approximately that of an ideal. A bridge rectifier is a circuit that converts ac to dc using four diodes arranged in a bridge configuration. Four rectifiers arranged this way are called a diode bridge or bridge rectifier: 1.1 block diagram of regulated power. Bridge Rectifier Pdf.
From www.scribd.com
Bridge Rectifier PDF Rectifier Direct Current Bridge Rectifier Pdf Measure/plot the input and output waveform. Principle of full wave bridge rectifier we apply an ac across the bridge. If the input to this rectifier is a sine wave , we find that the output is approximately that of an ideal. Four rectifiers arranged this way are called a diode bridge or bridge rectifier: A bridge rectifier is a circuit. Bridge Rectifier Pdf.
From www.tescaglobal.com
Comparative Study of Bridge Rectifier and Precision Rectifier (using OP Bridge Rectifier Pdf If the input to this rectifier is a sine wave , we find that the output is approximately that of an ideal. A bridge rectifier is a circuit that converts ac to dc using four diodes arranged in a bridge configuration. Four rectifiers arranged this way are called a diode bridge or bridge rectifier: 1.1 block diagram of regulated power. Bridge Rectifier Pdf.
From www.aliexpress.com
5pcs Bridge Rectifiers D10xb60 D10xb80 D15xb60 D15xb80 D20xb60 D20xb80 Bridge Rectifier Pdf 1.1 block diagram of regulated power supply with waveforms. Four rectifiers arranged this way are called a diode bridge or bridge rectifier: Principle of full wave bridge rectifier we apply an ac across the bridge. A bridge rectifier is a circuit that converts ac to dc using four diodes arranged in a bridge configuration. Measure/plot the input and output waveform.. Bridge Rectifier Pdf.
From es.scribd.com
Bridges.pdf Rectifier Diode Bridge Rectifier Pdf A bridge rectifier is a circuit that converts ac to dc using four diodes arranged in a bridge configuration. 1.1 block diagram of regulated power supply with waveforms. Principle of full wave bridge rectifier we apply an ac across the bridge. Measure/plot the input and output waveform. Four rectifiers arranged this way are called a diode bridge or bridge rectifier:. Bridge Rectifier Pdf.
From www.nepal.ubuy.com
Buy Silicon Bridge Rectifier, MDS Full Wave Three Phase Rectifier Bridge Rectifier Pdf Measure/plot the input and output waveform. If the input to this rectifier is a sine wave , we find that the output is approximately that of an ideal. A bridge rectifier is a circuit that converts ac to dc using four diodes arranged in a bridge configuration. 1.1 block diagram of regulated power supply with waveforms. Four rectifiers arranged this. Bridge Rectifier Pdf.
From www.ersaelectronics.com
How does A Bridge Rectifier Work? Bridge Rectifier Pdf If the input to this rectifier is a sine wave , we find that the output is approximately that of an ideal. Measure/plot the input and output waveform. Principle of full wave bridge rectifier we apply an ac across the bridge. Four rectifiers arranged this way are called a diode bridge or bridge rectifier: 1.1 block diagram of regulated power. Bridge Rectifier Pdf.
From electronics.stackexchange.com
ac What would be the results of two bridge rectifiers in series Bridge Rectifier Pdf A bridge rectifier is a circuit that converts ac to dc using four diodes arranged in a bridge configuration. Principle of full wave bridge rectifier we apply an ac across the bridge. If the input to this rectifier is a sine wave , we find that the output is approximately that of an ideal. 1.1 block diagram of regulated power. Bridge Rectifier Pdf.
From www.electricity-magnetism.org
Bridge Rectifier How it works, Application & Advantages Bridge Rectifier Pdf Measure/plot the input and output waveform. A bridge rectifier is a circuit that converts ac to dc using four diodes arranged in a bridge configuration. Four rectifiers arranged this way are called a diode bridge or bridge rectifier: If the input to this rectifier is a sine wave , we find that the output is approximately that of an ideal.. Bridge Rectifier Pdf.
From schematicasteroid.z13.web.core.windows.net
Explain Bridge Rectifier With Circuit Diagram Bridge Rectifier Pdf Four rectifiers arranged this way are called a diode bridge or bridge rectifier: Principle of full wave bridge rectifier we apply an ac across the bridge. 1.1 block diagram of regulated power supply with waveforms. A bridge rectifier is a circuit that converts ac to dc using four diodes arranged in a bridge configuration. Measure/plot the input and output waveform.. Bridge Rectifier Pdf.
From jlcpcb.com
KBP410 LGE Bridge Rectifiers JLCPCB Bridge Rectifier Pdf A bridge rectifier is a circuit that converts ac to dc using four diodes arranged in a bridge configuration. Four rectifiers arranged this way are called a diode bridge or bridge rectifier: 1.1 block diagram of regulated power supply with waveforms. Principle of full wave bridge rectifier we apply an ac across the bridge. If the input to this rectifier. Bridge Rectifier Pdf.
From www.scribd.com
Bridge Rectifier PDF Bridge Rectifier Pdf Measure/plot the input and output waveform. A bridge rectifier is a circuit that converts ac to dc using four diodes arranged in a bridge configuration. Four rectifiers arranged this way are called a diode bridge or bridge rectifier: 1.1 block diagram of regulated power supply with waveforms. Principle of full wave bridge rectifier we apply an ac across the bridge.. Bridge Rectifier Pdf.
From www.walmart.com
Rectifier Bridge Diode Bridge Rectifier Bridge Rectifiers 1A 1000V Bridge Rectifier Pdf If the input to this rectifier is a sine wave , we find that the output is approximately that of an ideal. Principle of full wave bridge rectifier we apply an ac across the bridge. 1.1 block diagram of regulated power supply with waveforms. Measure/plot the input and output waveform. Four rectifiers arranged this way are called a diode bridge. Bridge Rectifier Pdf.