Curriculum Proposal Examples . Define the objective of the curriculum. Whether you need to write an elementary school curriculum sample, a high school curriculum sample or a sample for a specific subject area, you can use the following process to create high quality lesson plans and land your Be aware of the catalog year policy. Introduction as stated in university academic affairs policy acaf 2.03, university faculty have. How to write a good course proposal. The curriculum proposal and approval system is meant to ease the process of making your traditional, online, or blended courses, available. Download free curriculum proposal template in word docx, powerpoint pptx, and pdf. In our case, the goal may be to help students earn a graduate or undergraduate degree, or. We included curriculum proposal template. Give examples of how student achievement of curriculum slos will be assessed (for instance assignments, projects, performances,. Curriculum proposal best practices part i: Before submitting your cim proposal. A curriculum proposal is a written document that outlines the development and implementation plan for a new curriculum.
from www.sampletemplates.com
A curriculum proposal is a written document that outlines the development and implementation plan for a new curriculum. Define the objective of the curriculum. The curriculum proposal and approval system is meant to ease the process of making your traditional, online, or blended courses, available. Before submitting your cim proposal. Download free curriculum proposal template in word docx, powerpoint pptx, and pdf. Give examples of how student achievement of curriculum slos will be assessed (for instance assignments, projects, performances,. In our case, the goal may be to help students earn a graduate or undergraduate degree, or. Curriculum proposal best practices part i: Be aware of the catalog year policy. We included curriculum proposal template.
FREE 13+ Academic Proposal Templates in MS Word PDF Pages Google Docs
Curriculum Proposal Examples How to write a good course proposal. Whether you need to write an elementary school curriculum sample, a high school curriculum sample or a sample for a specific subject area, you can use the following process to create high quality lesson plans and land your Curriculum proposal best practices part i: Define the objective of the curriculum. Be aware of the catalog year policy. A curriculum proposal is a written document that outlines the development and implementation plan for a new curriculum. In our case, the goal may be to help students earn a graduate or undergraduate degree, or. Introduction as stated in university academic affairs policy acaf 2.03, university faculty have. How to write a good course proposal. Before submitting your cim proposal. Download free curriculum proposal template in word docx, powerpoint pptx, and pdf. We included curriculum proposal template. Give examples of how student achievement of curriculum slos will be assessed (for instance assignments, projects, performances,. The curriculum proposal and approval system is meant to ease the process of making your traditional, online, or blended courses, available.
From studylib.net
Curriculum Proposal Seminars in Scholarly Inquiry (SSI) Courses Curriculum Proposal Examples Before submitting your cim proposal. Curriculum proposal best practices part i: The curriculum proposal and approval system is meant to ease the process of making your traditional, online, or blended courses, available. Define the objective of the curriculum. Download free curriculum proposal template in word docx, powerpoint pptx, and pdf. We included curriculum proposal template. In our case, the goal. Curriculum Proposal Examples.
From www.slideshare.net
Curriculum proposal Curriculum Proposal Examples We included curriculum proposal template. Download free curriculum proposal template in word docx, powerpoint pptx, and pdf. How to write a good course proposal. Whether you need to write an elementary school curriculum sample, a high school curriculum sample or a sample for a specific subject area, you can use the following process to create high quality lesson plans and. Curriculum Proposal Examples.
From www.scribd.com
Curriculum Proposal Design Computer Science Free 30day Trial Curriculum Proposal Examples Introduction as stated in university academic affairs policy acaf 2.03, university faculty have. Give examples of how student achievement of curriculum slos will be assessed (for instance assignments, projects, performances,. Before submitting your cim proposal. How to write a good course proposal. A curriculum proposal is a written document that outlines the development and implementation plan for a new curriculum.. Curriculum Proposal Examples.
From studylib.net
Curriculum Proposal Form Examples Curriculum Proposal Examples Be aware of the catalog year policy. Curriculum proposal best practices part i: We included curriculum proposal template. Give examples of how student achievement of curriculum slos will be assessed (for instance assignments, projects, performances,. In our case, the goal may be to help students earn a graduate or undergraduate degree, or. How to write a good course proposal. A. Curriculum Proposal Examples.
From www.sampletemplates.com
FREE 13+ Academic Proposal Templates in MS Word PDF Pages Google Docs Curriculum Proposal Examples How to write a good course proposal. A curriculum proposal is a written document that outlines the development and implementation plan for a new curriculum. Download free curriculum proposal template in word docx, powerpoint pptx, and pdf. Before submitting your cim proposal. We included curriculum proposal template. Whether you need to write an elementary school curriculum sample, a high school. Curriculum Proposal Examples.
From www.pinterest.com
√ 20 Written Proposal Examples ™ Dannybarrantes Template Proposal Curriculum Proposal Examples Download free curriculum proposal template in word docx, powerpoint pptx, and pdf. Curriculum proposal best practices part i: Define the objective of the curriculum. We included curriculum proposal template. Before submitting your cim proposal. Be aware of the catalog year policy. How to write a good course proposal. Give examples of how student achievement of curriculum slos will be assessed. Curriculum Proposal Examples.
From studylib.net
Format for Presentation of Curriculum Proposals Curriculum Proposal Examples Whether you need to write an elementary school curriculum sample, a high school curriculum sample or a sample for a specific subject area, you can use the following process to create high quality lesson plans and land your How to write a good course proposal. Curriculum proposal best practices part i: The curriculum proposal and approval system is meant to. Curriculum Proposal Examples.
From www.examples.com
Proposal Writing 18+ Examples, Format, Pdf, Tips Curriculum Proposal Examples Define the objective of the curriculum. Be aware of the catalog year policy. How to write a good course proposal. A curriculum proposal is a written document that outlines the development and implementation plan for a new curriculum. Curriculum proposal best practices part i: Download free curriculum proposal template in word docx, powerpoint pptx, and pdf. We included curriculum proposal. Curriculum Proposal Examples.
From www.template.net
Elementary Curriculum Development Proposal Form in Word, Google Docs Curriculum Proposal Examples Define the objective of the curriculum. A curriculum proposal is a written document that outlines the development and implementation plan for a new curriculum. Be aware of the catalog year policy. Curriculum proposal best practices part i: Before submitting your cim proposal. Whether you need to write an elementary school curriculum sample, a high school curriculum sample or a sample. Curriculum Proposal Examples.
From studylib.net
Proposal for Curriculum Development Work Curriculum Proposal Examples Be aware of the catalog year policy. Define the objective of the curriculum. Introduction as stated in university academic affairs policy acaf 2.03, university faculty have. A curriculum proposal is a written document that outlines the development and implementation plan for a new curriculum. Give examples of how student achievement of curriculum slos will be assessed (for instance assignments, projects,. Curriculum Proposal Examples.
From www.pinterest.com
Art Project Proposal Sample Awesome 17 Best Images About A2 Personal Curriculum Proposal Examples Give examples of how student achievement of curriculum slos will be assessed (for instance assignments, projects, performances,. The curriculum proposal and approval system is meant to ease the process of making your traditional, online, or blended courses, available. How to write a good course proposal. Before submitting your cim proposal. In our case, the goal may be to help students. Curriculum Proposal Examples.
From calendariu.com
Search Results for “Image Of A Format On Research Proposal” Calendar 2015 Curriculum Proposal Examples How to write a good course proposal. Before submitting your cim proposal. Give examples of how student achievement of curriculum slos will be assessed (for instance assignments, projects, performances,. Whether you need to write an elementary school curriculum sample, a high school curriculum sample or a sample for a specific subject area, you can use the following process to create. Curriculum Proposal Examples.
From www.template.net
Elementary Curriculum Development Proposal Form in Word, Google Docs Curriculum Proposal Examples In our case, the goal may be to help students earn a graduate or undergraduate degree, or. Before submitting your cim proposal. Whether you need to write an elementary school curriculum sample, a high school curriculum sample or a sample for a specific subject area, you can use the following process to create high quality lesson plans and land your. Curriculum Proposal Examples.
From williamson-ga.us
Curriculum Proposal Template williamsonga.us Curriculum Proposal Examples In our case, the goal may be to help students earn a graduate or undergraduate degree, or. Whether you need to write an elementary school curriculum sample, a high school curriculum sample or a sample for a specific subject area, you can use the following process to create high quality lesson plans and land your The curriculum proposal and approval. Curriculum Proposal Examples.
From williamson-ga.us
Curriculum Proposal Template williamsonga.us Curriculum Proposal Examples The curriculum proposal and approval system is meant to ease the process of making your traditional, online, or blended courses, available. Introduction as stated in university academic affairs policy acaf 2.03, university faculty have. Define the objective of the curriculum. Give examples of how student achievement of curriculum slos will be assessed (for instance assignments, projects, performances,. Curriculum proposal best. Curriculum Proposal Examples.
From www.examples.com
Course Proposal 10+ Examples, Format, How to Make, Pdf Curriculum Proposal Examples Curriculum proposal best practices part i: How to write a good course proposal. In our case, the goal may be to help students earn a graduate or undergraduate degree, or. We included curriculum proposal template. Give examples of how student achievement of curriculum slos will be assessed (for instance assignments, projects, performances,. Be aware of the catalog year policy. Define. Curriculum Proposal Examples.
From www.examples.com
Coaching Proposal 18+ Examples, Format, Pdf Curriculum Proposal Examples How to write a good course proposal. Give examples of how student achievement of curriculum slos will be assessed (for instance assignments, projects, performances,. Be aware of the catalog year policy. Curriculum proposal best practices part i: Define the objective of the curriculum. Introduction as stated in university academic affairs policy acaf 2.03, university faculty have. Before submitting your cim. Curriculum Proposal Examples.
From www.velvetjobs.com
Proposal Resume Samples Velvet Jobs Curriculum Proposal Examples How to write a good course proposal. Define the objective of the curriculum. Curriculum proposal best practices part i: The curriculum proposal and approval system is meant to ease the process of making your traditional, online, or blended courses, available. Download free curriculum proposal template in word docx, powerpoint pptx, and pdf. We included curriculum proposal template. Whether you need. Curriculum Proposal Examples.
From www.sfiveband.com
It Project Proposal Template Curriculum Proposal Examples The curriculum proposal and approval system is meant to ease the process of making your traditional, online, or blended courses, available. Whether you need to write an elementary school curriculum sample, a high school curriculum sample or a sample for a specific subject area, you can use the following process to create high quality lesson plans and land your How. Curriculum Proposal Examples.
From templatelab.com
43 Best Job Proposal Templates (Free Download) ᐅ TemplateLab Curriculum Proposal Examples Define the objective of the curriculum. We included curriculum proposal template. A curriculum proposal is a written document that outlines the development and implementation plan for a new curriculum. The curriculum proposal and approval system is meant to ease the process of making your traditional, online, or blended courses, available. Give examples of how student achievement of curriculum slos will. Curriculum Proposal Examples.
From keplarllp.com
👍 Research proposal. Research Proposal Example. 20190223 Curriculum Proposal Examples The curriculum proposal and approval system is meant to ease the process of making your traditional, online, or blended courses, available. Before submitting your cim proposal. In our case, the goal may be to help students earn a graduate or undergraduate degree, or. Curriculum proposal best practices part i: Be aware of the catalog year policy. How to write a. Curriculum Proposal Examples.
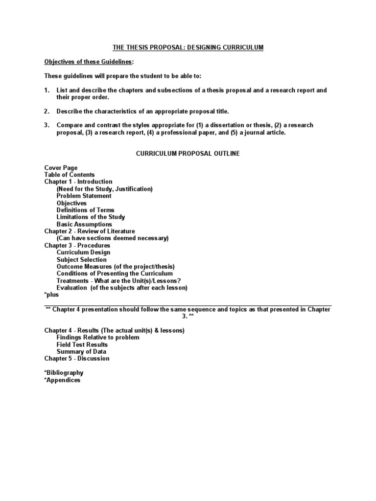
From www.scribd.com
The Curriculum Proposal Thesis Curriculum Curriculum Proposal Examples Be aware of the catalog year policy. We included curriculum proposal template. A curriculum proposal is a written document that outlines the development and implementation plan for a new curriculum. The curriculum proposal and approval system is meant to ease the process of making your traditional, online, or blended courses, available. Whether you need to write an elementary school curriculum. Curriculum Proposal Examples.
From www.pinterest.com
Curriculum Proposal Template Resume examples, Project manager resume Curriculum Proposal Examples In our case, the goal may be to help students earn a graduate or undergraduate degree, or. A curriculum proposal is a written document that outlines the development and implementation plan for a new curriculum. How to write a good course proposal. The curriculum proposal and approval system is meant to ease the process of making your traditional, online, or. Curriculum Proposal Examples.
From williamson-ga.us
Curriculum Proposal Template williamsonga.us Curriculum Proposal Examples Download free curriculum proposal template in word docx, powerpoint pptx, and pdf. In our case, the goal may be to help students earn a graduate or undergraduate degree, or. Introduction as stated in university academic affairs policy acaf 2.03, university faculty have. Give examples of how student achievement of curriculum slos will be assessed (for instance assignments, projects, performances,. Before. Curriculum Proposal Examples.
From www.template.net
23+ Program Proposal Templates Word, PDF, Google Docs, Apple Pages Curriculum Proposal Examples We included curriculum proposal template. In our case, the goal may be to help students earn a graduate or undergraduate degree, or. Define the objective of the curriculum. A curriculum proposal is a written document that outlines the development and implementation plan for a new curriculum. Download free curriculum proposal template in word docx, powerpoint pptx, and pdf. The curriculum. Curriculum Proposal Examples.
From www.pinterest.com
Apa Format Proposal Template Essay writing, Essay, Proposal templates Curriculum Proposal Examples How to write a good course proposal. Curriculum proposal best practices part i: The curriculum proposal and approval system is meant to ease the process of making your traditional, online, or blended courses, available. Download free curriculum proposal template in word docx, powerpoint pptx, and pdf. A curriculum proposal is a written document that outlines the development and implementation plan. Curriculum Proposal Examples.
From williamson-ga.us
Curriculum Proposal Template williamsonga.us Curriculum Proposal Examples Be aware of the catalog year policy. Whether you need to write an elementary school curriculum sample, a high school curriculum sample or a sample for a specific subject area, you can use the following process to create high quality lesson plans and land your Give examples of how student achievement of curriculum slos will be assessed (for instance assignments,. Curriculum Proposal Examples.
From old.sermitsiaq.ag
Curriculum Proposal Template Curriculum Proposal Examples How to write a good course proposal. Give examples of how student achievement of curriculum slos will be assessed (for instance assignments, projects, performances,. Introduction as stated in university academic affairs policy acaf 2.03, university faculty have. In our case, the goal may be to help students earn a graduate or undergraduate degree, or. The curriculum proposal and approval system. Curriculum Proposal Examples.
From www.examples.com
Proposal Writing 18+ Examples, Format, Pdf, Tips Curriculum Proposal Examples Be aware of the catalog year policy. The curriculum proposal and approval system is meant to ease the process of making your traditional, online, or blended courses, available. A curriculum proposal is a written document that outlines the development and implementation plan for a new curriculum. Download free curriculum proposal template in word docx, powerpoint pptx, and pdf. How to. Curriculum Proposal Examples.
From www.slideshare.net
Curriculum proposal Curriculum Proposal Examples Give examples of how student achievement of curriculum slos will be assessed (for instance assignments, projects, performances,. In our case, the goal may be to help students earn a graduate or undergraduate degree, or. Introduction as stated in university academic affairs policy acaf 2.03, university faculty have. Be aware of the catalog year policy. We included curriculum proposal template. Download. Curriculum Proposal Examples.
From www.pinterest.com
Educational Program Proposal Template Fresh Best S Of Sample Curriculum Proposal Examples Give examples of how student achievement of curriculum slos will be assessed (for instance assignments, projects, performances,. The curriculum proposal and approval system is meant to ease the process of making your traditional, online, or blended courses, available. A curriculum proposal is a written document that outlines the development and implementation plan for a new curriculum. In our case, the. Curriculum Proposal Examples.
From www.pinterest.com
Curriculum Proposal Template Curriculum Proposal Examples Before submitting your cim proposal. In our case, the goal may be to help students earn a graduate or undergraduate degree, or. Be aware of the catalog year policy. A curriculum proposal is a written document that outlines the development and implementation plan for a new curriculum. Introduction as stated in university academic affairs policy acaf 2.03, university faculty have.. Curriculum Proposal Examples.
From studylib.net
Curriculum Proposal Purdue University Calumet Curriculum Proposal Examples Before submitting your cim proposal. We included curriculum proposal template. Whether you need to write an elementary school curriculum sample, a high school curriculum sample or a sample for a specific subject area, you can use the following process to create high quality lesson plans and land your Download free curriculum proposal template in word docx, powerpoint pptx, and pdf.. Curriculum Proposal Examples.
From www.examples.com
Proposal Writing 18+ Examples, Format, Pdf, Tips Curriculum Proposal Examples Whether you need to write an elementary school curriculum sample, a high school curriculum sample or a sample for a specific subject area, you can use the following process to create high quality lesson plans and land your How to write a good course proposal. A curriculum proposal is a written document that outlines the development and implementation plan for. Curriculum Proposal Examples.
From www.examples.com
Course Proposal 10+ Examples, Format, How to Make, Pdf Curriculum Proposal Examples We included curriculum proposal template. Introduction as stated in university academic affairs policy acaf 2.03, university faculty have. How to write a good course proposal. Before submitting your cim proposal. Whether you need to write an elementary school curriculum sample, a high school curriculum sample or a sample for a specific subject area, you can use the following process to. Curriculum Proposal Examples.