Unit Owners Association Nonprofit . As such, they are exempt from. In this week's tip, we explain the difference in the. The case involved a nonprofit membership housing cooperative that provided low cost housing to its members. They're the same, aren't they? In denying exemption, the court stated that the organization was not. Federal tax code, most condo associations qualify as 501 (c) (4) organizations, also known as social welfare organizations. Homeowners’ associations, such as those that require membership by all owners of units in a building or of lots in a specific subdivision, are. Weighing whether benefits flow primarily to the general public rather than certain individuals is an essential part of determining whether a homeowners' association. Or is it a nonprofit?
from www.investopedia.com
Weighing whether benefits flow primarily to the general public rather than certain individuals is an essential part of determining whether a homeowners' association. The case involved a nonprofit membership housing cooperative that provided low cost housing to its members. Or is it a nonprofit? They're the same, aren't they? As such, they are exempt from. Homeowners’ associations, such as those that require membership by all owners of units in a building or of lots in a specific subdivision, are. In denying exemption, the court stated that the organization was not. In this week's tip, we explain the difference in the. Federal tax code, most condo associations qualify as 501 (c) (4) organizations, also known as social welfare organizations.
Nonprofit Organization (NPO)
Unit Owners Association Nonprofit Federal tax code, most condo associations qualify as 501 (c) (4) organizations, also known as social welfare organizations. In this week's tip, we explain the difference in the. Or is it a nonprofit? The case involved a nonprofit membership housing cooperative that provided low cost housing to its members. They're the same, aren't they? As such, they are exempt from. Weighing whether benefits flow primarily to the general public rather than certain individuals is an essential part of determining whether a homeowners' association. Homeowners’ associations, such as those that require membership by all owners of units in a building or of lots in a specific subdivision, are. In denying exemption, the court stated that the organization was not. Federal tax code, most condo associations qualify as 501 (c) (4) organizations, also known as social welfare organizations.
From www.edrawsoft.com
Nonprofit Organizational Chart Examples & Templates EdrawMax Unit Owners Association Nonprofit In this week's tip, we explain the difference in the. Weighing whether benefits flow primarily to the general public rather than certain individuals is an essential part of determining whether a homeowners' association. The case involved a nonprofit membership housing cooperative that provided low cost housing to its members. Homeowners’ associations, such as those that require membership by all owners. Unit Owners Association Nonprofit.
From www.linkedin.com
Condo Association Obligation to Provide Records to Unit Owners in Washington DC Unit Owners Association Nonprofit The case involved a nonprofit membership housing cooperative that provided low cost housing to its members. Homeowners’ associations, such as those that require membership by all owners of units in a building or of lots in a specific subdivision, are. In denying exemption, the court stated that the organization was not. They're the same, aren't they? In this week's tip,. Unit Owners Association Nonprofit.
From www.templateroller.com
Form A4920517ACF Fill Out, Sign Online and Download Fillable PDF, Virginia Templateroller Unit Owners Association Nonprofit They're the same, aren't they? In denying exemption, the court stated that the organization was not. In this week's tip, we explain the difference in the. Or is it a nonprofit? Weighing whether benefits flow primarily to the general public rather than certain individuals is an essential part of determining whether a homeowners' association. Federal tax code, most condo associations. Unit Owners Association Nonprofit.
From www.templateroller.com
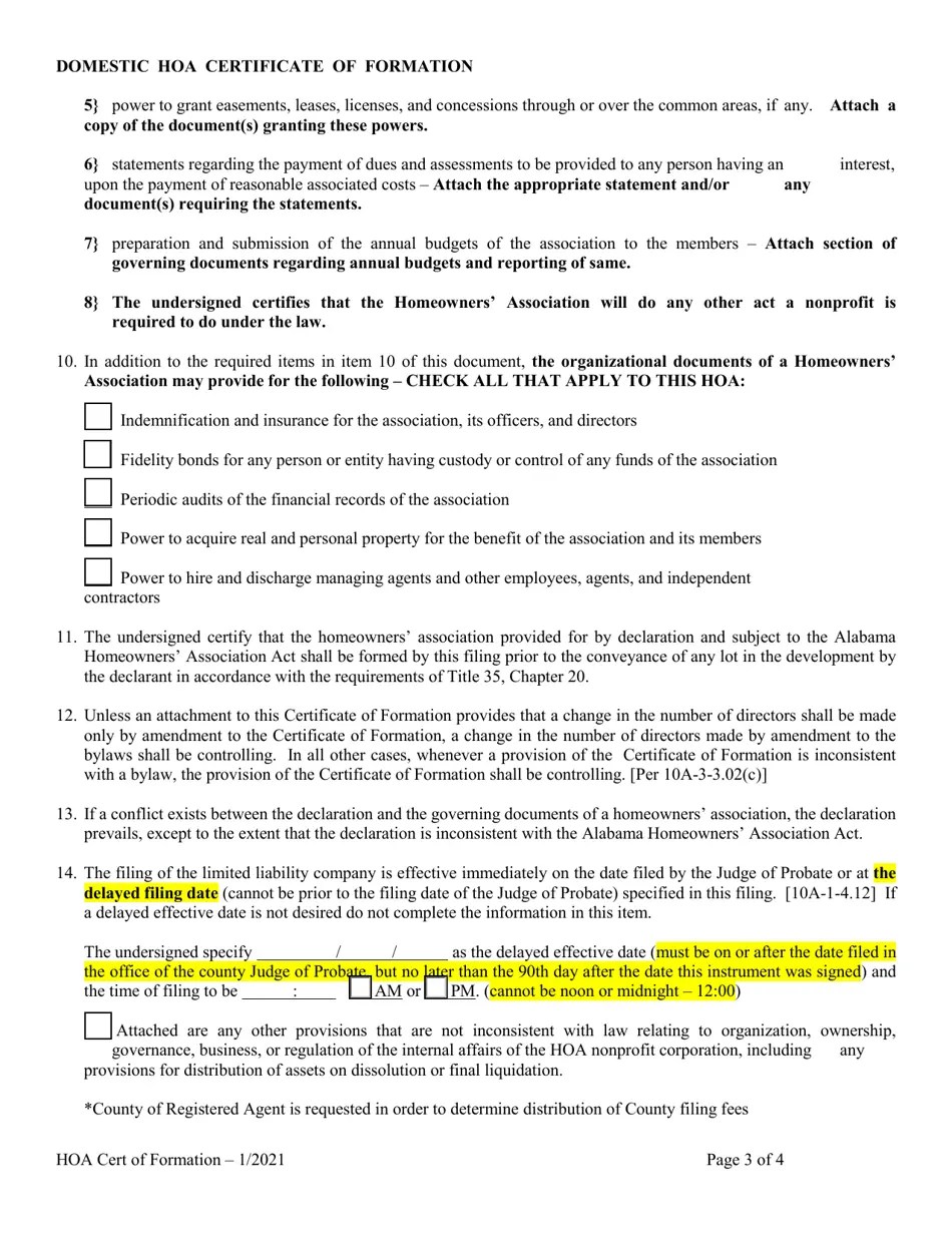
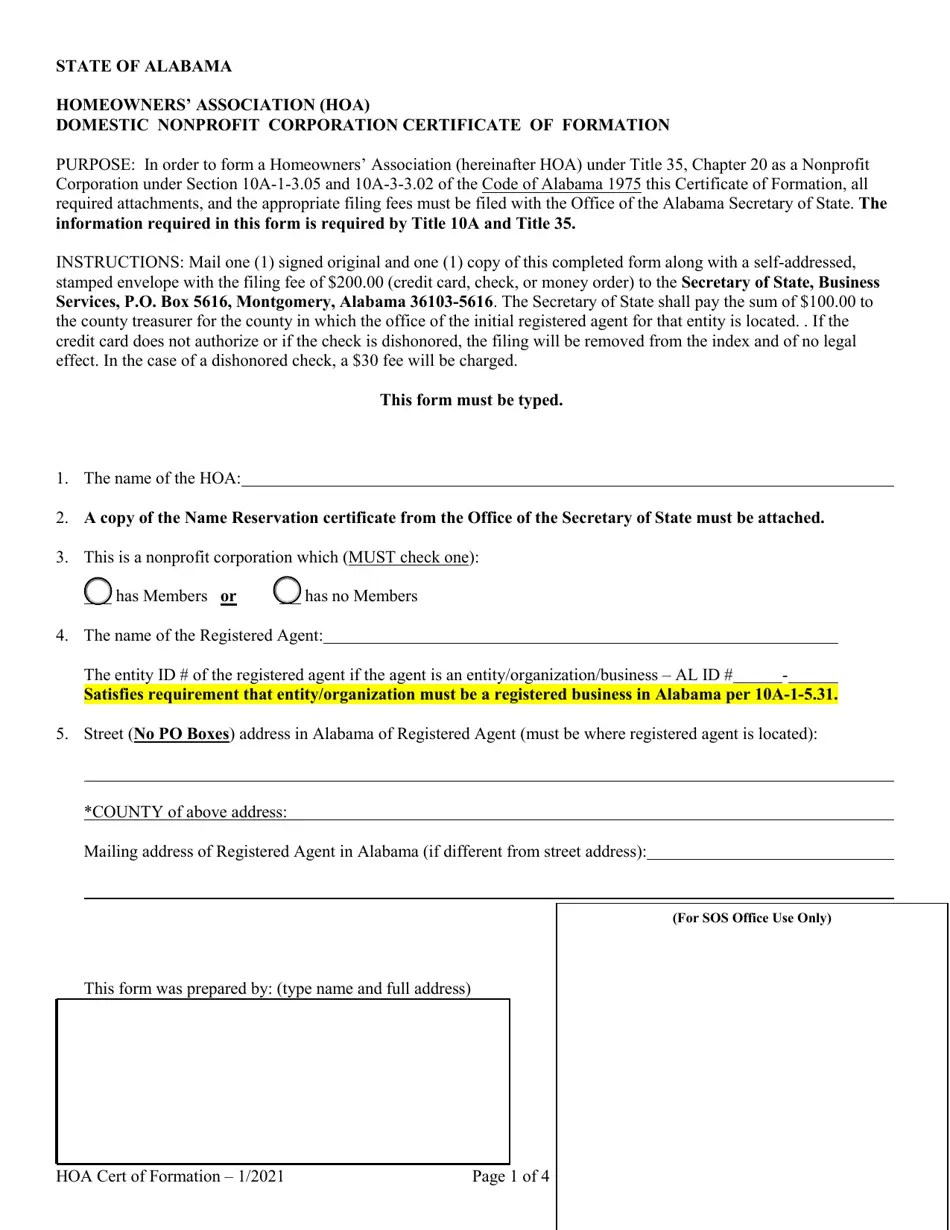
Alabama Homeowners' Association (Hoa) Domestic Nonprofit Corporation Certificate of Formation Unit Owners Association Nonprofit In this week's tip, we explain the difference in the. Homeowners’ associations, such as those that require membership by all owners of units in a building or of lots in a specific subdivision, are. Or is it a nonprofit? Weighing whether benefits flow primarily to the general public rather than certain individuals is an essential part of determining whether a. Unit Owners Association Nonprofit.
From www.uslegalforms.com
Pima Arizona Articles of Incorporation of Homeowners Association Hoa Articles Of Incorporation Unit Owners Association Nonprofit They're the same, aren't they? Federal tax code, most condo associations qualify as 501 (c) (4) organizations, also known as social welfare organizations. Homeowners’ associations, such as those that require membership by all owners of units in a building or of lots in a specific subdivision, are. As such, they are exempt from. The case involved a nonprofit membership housing. Unit Owners Association Nonprofit.
From www.investopedia.com
Nonprofit Organization (NPO) Unit Owners Association Nonprofit They're the same, aren't they? Federal tax code, most condo associations qualify as 501 (c) (4) organizations, also known as social welfare organizations. The case involved a nonprofit membership housing cooperative that provided low cost housing to its members. As such, they are exempt from. Or is it a nonprofit? Homeowners’ associations, such as those that require membership by all. Unit Owners Association Nonprofit.
From www.edrawsoft.com
Nonprofit Organizational Chart Examples & Templates EdrawMax Unit Owners Association Nonprofit The case involved a nonprofit membership housing cooperative that provided low cost housing to its members. Homeowners’ associations, such as those that require membership by all owners of units in a building or of lots in a specific subdivision, are. Weighing whether benefits flow primarily to the general public rather than certain individuals is an essential part of determining whether. Unit Owners Association Nonprofit.
From aitkenewords.blogspot.com
How To Write An Email To A Nonprofit Mission Statement Aitken Words Unit Owners Association Nonprofit As such, they are exempt from. Federal tax code, most condo associations qualify as 501 (c) (4) organizations, also known as social welfare organizations. In this week's tip, we explain the difference in the. Or is it a nonprofit? They're the same, aren't they? In denying exemption, the court stated that the organization was not. Homeowners’ associations, such as those. Unit Owners Association Nonprofit.
From www.templateroller.com
Alabama Homeowners' Association (Hoa) Domestic Nonprofit Corporation Certificate of Unit Owners Association Nonprofit Weighing whether benefits flow primarily to the general public rather than certain individuals is an essential part of determining whether a homeowners' association. As such, they are exempt from. Homeowners’ associations, such as those that require membership by all owners of units in a building or of lots in a specific subdivision, are. Or is it a nonprofit? In this. Unit Owners Association Nonprofit.
From templates.rjuuc.edu.np
Nonprofit Board Roles And Responsibilities Template Unit Owners Association Nonprofit Homeowners’ associations, such as those that require membership by all owners of units in a building or of lots in a specific subdivision, are. The case involved a nonprofit membership housing cooperative that provided low cost housing to its members. In this week's tip, we explain the difference in the. In denying exemption, the court stated that the organization was. Unit Owners Association Nonprofit.
From www.doorloop.com
What Is A Master Association Definition & Examples Unit Owners Association Nonprofit Weighing whether benefits flow primarily to the general public rather than certain individuals is an essential part of determining whether a homeowners' association. In denying exemption, the court stated that the organization was not. The case involved a nonprofit membership housing cooperative that provided low cost housing to its members. As such, they are exempt from. In this week's tip,. Unit Owners Association Nonprofit.
From www.facebook.com
Unit Owners Association of Queensland Inc. Unit Owners Association Nonprofit In denying exemption, the court stated that the organization was not. Federal tax code, most condo associations qualify as 501 (c) (4) organizations, also known as social welfare organizations. As such, they are exempt from. Or is it a nonprofit? Weighing whether benefits flow primarily to the general public rather than certain individuals is an essential part of determining whether. Unit Owners Association Nonprofit.
From www.edrawmax.com
Non Profit Organization Development Org Chart EdrawMax Templates Unit Owners Association Nonprofit In this week's tip, we explain the difference in the. Homeowners’ associations, such as those that require membership by all owners of units in a building or of lots in a specific subdivision, are. In denying exemption, the court stated that the organization was not. They're the same, aren't they? Or is it a nonprofit? The case involved a nonprofit. Unit Owners Association Nonprofit.
From www.driehausins.com
Condo Unit Owners Best Practices / Part 1 Unit Owners Association Nonprofit The case involved a nonprofit membership housing cooperative that provided low cost housing to its members. In denying exemption, the court stated that the organization was not. As such, they are exempt from. Federal tax code, most condo associations qualify as 501 (c) (4) organizations, also known as social welfare organizations. Weighing whether benefits flow primarily to the general public. Unit Owners Association Nonprofit.
From slideplayer.com
Eliminating Slum and Blight ppt download Unit Owners Association Nonprofit Homeowners’ associations, such as those that require membership by all owners of units in a building or of lots in a specific subdivision, are. Federal tax code, most condo associations qualify as 501 (c) (4) organizations, also known as social welfare organizations. In this week's tip, we explain the difference in the. Weighing whether benefits flow primarily to the general. Unit Owners Association Nonprofit.
From www.templateroller.com
Alabama Homeowners' Association (Hoa) Domestic Nonprofit Corporation Certificate of Unit Owners Association Nonprofit They're the same, aren't they? The case involved a nonprofit membership housing cooperative that provided low cost housing to its members. As such, they are exempt from. Homeowners’ associations, such as those that require membership by all owners of units in a building or of lots in a specific subdivision, are. Federal tax code, most condo associations qualify as 501. Unit Owners Association Nonprofit.
From www.templateroller.com
Alabama Homeowners' Association (Hoa) Domestic Nonprofit Corporation Certificate of Formation Unit Owners Association Nonprofit Federal tax code, most condo associations qualify as 501 (c) (4) organizations, also known as social welfare organizations. Homeowners’ associations, such as those that require membership by all owners of units in a building or of lots in a specific subdivision, are. As such, they are exempt from. In denying exemption, the court stated that the organization was not. In. Unit Owners Association Nonprofit.
From www.youtube.com
BFL Canada inar Recap What is Insured on a condominium unit owners Policy? YouTube Unit Owners Association Nonprofit The case involved a nonprofit membership housing cooperative that provided low cost housing to its members. In denying exemption, the court stated that the organization was not. Homeowners’ associations, such as those that require membership by all owners of units in a building or of lots in a specific subdivision, are. As such, they are exempt from. Weighing whether benefits. Unit Owners Association Nonprofit.
From www.icnj.com
Different Insurance Needs for a Condo Association vs. Unit Owners Insurance Center of North Unit Owners Association Nonprofit Homeowners’ associations, such as those that require membership by all owners of units in a building or of lots in a specific subdivision, are. Federal tax code, most condo associations qualify as 501 (c) (4) organizations, also known as social welfare organizations. In this week's tip, we explain the difference in the. In denying exemption, the court stated that the. Unit Owners Association Nonprofit.
From www.pinterest.com
How to Start a Nonprofit Organization in 2020 Nonprofit organization, Nonprofit startup, Start Unit Owners Association Nonprofit The case involved a nonprofit membership housing cooperative that provided low cost housing to its members. They're the same, aren't they? Homeowners’ associations, such as those that require membership by all owners of units in a building or of lots in a specific subdivision, are. Or is it a nonprofit? In denying exemption, the court stated that the organization was. Unit Owners Association Nonprofit.
From www.signnow.com
Sample Amendment to Bylaws Nonprofit Complete with ease airSlate SignNow Unit Owners Association Nonprofit The case involved a nonprofit membership housing cooperative that provided low cost housing to its members. In denying exemption, the court stated that the organization was not. Or is it a nonprofit? As such, they are exempt from. They're the same, aren't they? Homeowners’ associations, such as those that require membership by all owners of units in a building or. Unit Owners Association Nonprofit.
From donorbox.org
Your Ultimate Guide to CorporateNonprofit Partnerships Unit Owners Association Nonprofit In denying exemption, the court stated that the organization was not. In this week's tip, we explain the difference in the. The case involved a nonprofit membership housing cooperative that provided low cost housing to its members. As such, they are exempt from. Federal tax code, most condo associations qualify as 501 (c) (4) organizations, also known as social welfare. Unit Owners Association Nonprofit.
From www.templateroller.com
Alabama Homeowners' Association (Hoa) Domestic Nonprofit Corporation Certificate of Formation Unit Owners Association Nonprofit In this week's tip, we explain the difference in the. The case involved a nonprofit membership housing cooperative that provided low cost housing to its members. Weighing whether benefits flow primarily to the general public rather than certain individuals is an essential part of determining whether a homeowners' association. As such, they are exempt from. Homeowners’ associations, such as those. Unit Owners Association Nonprofit.
From searchsaltlake.com
What you need to know about homeowner’s associations Unit Owners Association Nonprofit Homeowners’ associations, such as those that require membership by all owners of units in a building or of lots in a specific subdivision, are. Or is it a nonprofit? In denying exemption, the court stated that the organization was not. Weighing whether benefits flow primarily to the general public rather than certain individuals is an essential part of determining whether. Unit Owners Association Nonprofit.
From www.templateroller.com
Alabama Homeowners' Association (Hoa) Domestic Nonprofit Corporation Certificate of Unit Owners Association Nonprofit Weighing whether benefits flow primarily to the general public rather than certain individuals is an essential part of determining whether a homeowners' association. As such, they are exempt from. Or is it a nonprofit? In this week's tip, we explain the difference in the. The case involved a nonprofit membership housing cooperative that provided low cost housing to its members.. Unit Owners Association Nonprofit.
From www.templateroller.com
Alabama Homeowners' Association (Hoa) Domestic Nonprofit Corporation Certificate of Formation Unit Owners Association Nonprofit Or is it a nonprofit? Weighing whether benefits flow primarily to the general public rather than certain individuals is an essential part of determining whether a homeowners' association. As such, they are exempt from. The case involved a nonprofit membership housing cooperative that provided low cost housing to its members. They're the same, aren't they? Federal tax code, most condo. Unit Owners Association Nonprofit.
From www.nonprofitlawblog.com
Converting a ForProfit into a Nonprofit Nonprofit Law Blog Unit Owners Association Nonprofit They're the same, aren't they? Homeowners’ associations, such as those that require membership by all owners of units in a building or of lots in a specific subdivision, are. In denying exemption, the court stated that the organization was not. As such, they are exempt from. Or is it a nonprofit? Federal tax code, most condo associations qualify as 501. Unit Owners Association Nonprofit.
From www.facebook.com
Grace Residences Unit Owners' Association Taguig Unit Owners Association Nonprofit Or is it a nonprofit? As such, they are exempt from. Federal tax code, most condo associations qualify as 501 (c) (4) organizations, also known as social welfare organizations. In this week's tip, we explain the difference in the. In denying exemption, the court stated that the organization was not. They're the same, aren't they? Homeowners’ associations, such as those. Unit Owners Association Nonprofit.
From sunsetviewsunit2.org
Sunset Views Unit II Homeowners Association NonProfit Organization Illinois Sunset Views Unit Owners Association Nonprofit In denying exemption, the court stated that the organization was not. Weighing whether benefits flow primarily to the general public rather than certain individuals is an essential part of determining whether a homeowners' association. In this week's tip, we explain the difference in the. As such, they are exempt from. The case involved a nonprofit membership housing cooperative that provided. Unit Owners Association Nonprofit.
From www.ownapearlevision.com
3 Paths to Multiunit Ownership with Pearle Vision PearleVision Unit Owners Association Nonprofit Or is it a nonprofit? In this week's tip, we explain the difference in the. Homeowners’ associations, such as those that require membership by all owners of units in a building or of lots in a specific subdivision, are. They're the same, aren't they? Federal tax code, most condo associations qualify as 501 (c) (4) organizations, also known as social. Unit Owners Association Nonprofit.
From studylib.net
NOTICE OF ANNUAL MEETING OF UNIT OWNERS OF Unit Owners Association Nonprofit As such, they are exempt from. Federal tax code, most condo associations qualify as 501 (c) (4) organizations, also known as social welfare organizations. The case involved a nonprofit membership housing cooperative that provided low cost housing to its members. Weighing whether benefits flow primarily to the general public rather than certain individuals is an essential part of determining whether. Unit Owners Association Nonprofit.
From www.templateroller.com
Alabama Homeowners' Association (Hoa) Domestic Nonprofit Corporation Certificate of Formation Unit Owners Association Nonprofit As such, they are exempt from. Weighing whether benefits flow primarily to the general public rather than certain individuals is an essential part of determining whether a homeowners' association. Federal tax code, most condo associations qualify as 501 (c) (4) organizations, also known as social welfare organizations. In denying exemption, the court stated that the organization was not. They're the. Unit Owners Association Nonprofit.
From www.palmparadiserealestate.com
5 HOA Benefits Is Living in an HOA Right For You? Unit Owners Association Nonprofit The case involved a nonprofit membership housing cooperative that provided low cost housing to its members. Federal tax code, most condo associations qualify as 501 (c) (4) organizations, also known as social welfare organizations. As such, they are exempt from. In denying exemption, the court stated that the organization was not. In this week's tip, we explain the difference in. Unit Owners Association Nonprofit.
From sc-manage.com
Top 10 Legal Obligations of Homeowners Associations Silvercreek Unit Owners Association Nonprofit Or is it a nonprofit? The case involved a nonprofit membership housing cooperative that provided low cost housing to its members. Homeowners’ associations, such as those that require membership by all owners of units in a building or of lots in a specific subdivision, are. As such, they are exempt from. In this week's tip, we explain the difference in. Unit Owners Association Nonprofit.
From marketbusinessnews.com
What is a nonprofit organization? Definition and meaning Market Business News Unit Owners Association Nonprofit They're the same, aren't they? Weighing whether benefits flow primarily to the general public rather than certain individuals is an essential part of determining whether a homeowners' association. Or is it a nonprofit? In this week's tip, we explain the difference in the. The case involved a nonprofit membership housing cooperative that provided low cost housing to its members. In. Unit Owners Association Nonprofit.