The Tungsten Filament Heats At The Anode Portion . As it is heated up the increased energy enables electrons to be. The filament is heated by a current that controls the thermionic emission of electrons, which in turn determines the number of electrons flowing. Also an electrical and thermal conductor. Thermionic emission refers to the boiling off of electrons from. The tungsten filament heats at the anode portion. A current is passed through the tungsten filament and heats it up. The filament is a tiny wire made of tungsten and shaped into a coil or. Tungsten has a high atomic number (z=74) and a high melting point of 3370°c with a correspondingly low rate of. The filament current heats the tungsten filament. Study with quizlet and memorize flashcards containing terms like at the anode target, how much of the energy from filament electrons is. This heating of the filament causes thermionic emission to occur. The filament circuit uses 3 to 5 volts to heat the tungsten filament.
from www.mdpi.com
Also an electrical and thermal conductor. The filament current heats the tungsten filament. Study with quizlet and memorize flashcards containing terms like at the anode target, how much of the energy from filament electrons is. This heating of the filament causes thermionic emission to occur. A current is passed through the tungsten filament and heats it up. Thermionic emission refers to the boiling off of electrons from. As it is heated up the increased energy enables electrons to be. Tungsten has a high atomic number (z=74) and a high melting point of 3370°c with a correspondingly low rate of. The filament is heated by a current that controls the thermionic emission of electrons, which in turn determines the number of electrons flowing. The filament is a tiny wire made of tungsten and shaped into a coil or.
Applied Sciences Free FullText Filament Xray Tube Current Control
The Tungsten Filament Heats At The Anode Portion The filament circuit uses 3 to 5 volts to heat the tungsten filament. The filament current heats the tungsten filament. The filament circuit uses 3 to 5 volts to heat the tungsten filament. As it is heated up the increased energy enables electrons to be. The filament is heated by a current that controls the thermionic emission of electrons, which in turn determines the number of electrons flowing. This heating of the filament causes thermionic emission to occur. Thermionic emission refers to the boiling off of electrons from. Tungsten has a high atomic number (z=74) and a high melting point of 3370°c with a correspondingly low rate of. Study with quizlet and memorize flashcards containing terms like at the anode target, how much of the energy from filament electrons is. A current is passed through the tungsten filament and heats it up. Also an electrical and thermal conductor. The filament is a tiny wire made of tungsten and shaped into a coil or. The tungsten filament heats at the anode portion.
From byjus.com
Two Electric Bulbs Marked 100W 220V And 200W 220V Have Tungsten The Tungsten Filament Heats At The Anode Portion The filament is a tiny wire made of tungsten and shaped into a coil or. Study with quizlet and memorize flashcards containing terms like at the anode target, how much of the energy from filament electrons is. Tungsten has a high atomic number (z=74) and a high melting point of 3370°c with a correspondingly low rate of. Also an electrical. The Tungsten Filament Heats At The Anode Portion.
From www.nbicoe.com
SEM3200 Series Tungsten filament Scanning Electron Microscope The Tungsten Filament Heats At The Anode Portion The filament is a tiny wire made of tungsten and shaped into a coil or. As it is heated up the increased energy enables electrons to be. A current is passed through the tungsten filament and heats it up. The filament circuit uses 3 to 5 volts to heat the tungsten filament. Study with quizlet and memorize flashcards containing terms. The Tungsten Filament Heats At The Anode Portion.
From elements.envato.com
The Tungsten Filament in Classic Incandescent Glass Lamp Heats Up and The Tungsten Filament Heats At The Anode Portion The filament current heats the tungsten filament. Tungsten has a high atomic number (z=74) and a high melting point of 3370°c with a correspondingly low rate of. Study with quizlet and memorize flashcards containing terms like at the anode target, how much of the energy from filament electrons is. A current is passed through the tungsten filament and heats it. The Tungsten Filament Heats At The Anode Portion.
From www.animalia-life.club
Tungsten Light Bulb Filament The Tungsten Filament Heats At The Anode Portion The tungsten filament heats at the anode portion. Also an electrical and thermal conductor. The filament is a tiny wire made of tungsten and shaped into a coil or. Thermionic emission refers to the boiling off of electrons from. Study with quizlet and memorize flashcards containing terms like at the anode target, how much of the energy from filament electrons. The Tungsten Filament Heats At The Anode Portion.
From www.numerade.com
SOLVED Predict/Explain The resistivity of tungsten increases with The Tungsten Filament Heats At The Anode Portion The filament is a tiny wire made of tungsten and shaped into a coil or. Thermionic emission refers to the boiling off of electrons from. Also an electrical and thermal conductor. The filament current heats the tungsten filament. The filament is heated by a current that controls the thermionic emission of electrons, which in turn determines the number of electrons. The Tungsten Filament Heats At The Anode Portion.
From www.numerade.com
The filament in a traditional 60 Watt incandescent light bulb is The Tungsten Filament Heats At The Anode Portion This heating of the filament causes thermionic emission to occur. The filament is heated by a current that controls the thermionic emission of electrons, which in turn determines the number of electrons flowing. The filament circuit uses 3 to 5 volts to heat the tungsten filament. A current is passed through the tungsten filament and heats it up. Also an. The Tungsten Filament Heats At The Anode Portion.
From www.researchgate.net
XRD plots of fresh tungsten filament and filament used for full The Tungsten Filament Heats At The Anode Portion A current is passed through the tungsten filament and heats it up. The filament current heats the tungsten filament. Also an electrical and thermal conductor. The filament is a tiny wire made of tungsten and shaped into a coil or. The tungsten filament heats at the anode portion. Tungsten has a high atomic number (z=74) and a high melting point. The Tungsten Filament Heats At The Anode Portion.
From www.mdpi.com
Applied Sciences Free FullText Filament Xray Tube Current Control The Tungsten Filament Heats At The Anode Portion A current is passed through the tungsten filament and heats it up. Tungsten has a high atomic number (z=74) and a high melting point of 3370°c with a correspondingly low rate of. Thermionic emission refers to the boiling off of electrons from. The filament circuit uses 3 to 5 volts to heat the tungsten filament. Also an electrical and thermal. The Tungsten Filament Heats At The Anode Portion.
From www.researchgate.net
schematics of electron gun with filament, Wehnelt and Anode [41 The Tungsten Filament Heats At The Anode Portion A current is passed through the tungsten filament and heats it up. The tungsten filament heats at the anode portion. Also an electrical and thermal conductor. This heating of the filament causes thermionic emission to occur. The filament is a tiny wire made of tungsten and shaped into a coil or. Thermionic emission refers to the boiling off of electrons. The Tungsten Filament Heats At The Anode Portion.
From exoxbctxq.blob.core.windows.net
Tungsten Filament In The Cathode at David Talley blog The Tungsten Filament Heats At The Anode Portion The filament current heats the tungsten filament. The filament circuit uses 3 to 5 volts to heat the tungsten filament. As it is heated up the increased energy enables electrons to be. Tungsten has a high atomic number (z=74) and a high melting point of 3370°c with a correspondingly low rate of. This heating of the filament causes thermionic emission. The Tungsten Filament Heats At The Anode Portion.
From brainly.in
When burning normally, the temperature of the filament in a 230 V, 150 The Tungsten Filament Heats At The Anode Portion Study with quizlet and memorize flashcards containing terms like at the anode target, how much of the energy from filament electrons is. The filament current heats the tungsten filament. Also an electrical and thermal conductor. The filament is heated by a current that controls the thermionic emission of electrons, which in turn determines the number of electrons flowing. A current. The Tungsten Filament Heats At The Anode Portion.
From www.chegg.com
Solved The operating temperature of a tungsten filament in The Tungsten Filament Heats At The Anode Portion This heating of the filament causes thermionic emission to occur. The filament current heats the tungsten filament. Also an electrical and thermal conductor. The filament circuit uses 3 to 5 volts to heat the tungsten filament. The tungsten filament heats at the anode portion. Study with quizlet and memorize flashcards containing terms like at the anode target, how much of. The Tungsten Filament Heats At The Anode Portion.
From www.researchgate.net
The calculated temperature of a 25 micron diameter tungsten wire in the The Tungsten Filament Heats At The Anode Portion The filament is a tiny wire made of tungsten and shaped into a coil or. As it is heated up the increased energy enables electrons to be. Tungsten has a high atomic number (z=74) and a high melting point of 3370°c with a correspondingly low rate of. Study with quizlet and memorize flashcards containing terms like at the anode target,. The Tungsten Filament Heats At The Anode Portion.
From www.toppr.com
Resistance and Temperature26. A certain lightbulb has a tungsten The Tungsten Filament Heats At The Anode Portion The tungsten filament heats at the anode portion. Thermionic emission refers to the boiling off of electrons from. The filament is heated by a current that controls the thermionic emission of electrons, which in turn determines the number of electrons flowing. The filament circuit uses 3 to 5 volts to heat the tungsten filament. Study with quizlet and memorize flashcards. The Tungsten Filament Heats At The Anode Portion.
From www.indiamart.com
Tungsten Filament at Rs 25/piece Tungsten Filaments in Sas Nagar ID The Tungsten Filament Heats At The Anode Portion Study with quizlet and memorize flashcards containing terms like at the anode target, how much of the energy from filament electrons is. The filament circuit uses 3 to 5 volts to heat the tungsten filament. Thermionic emission refers to the boiling off of electrons from. The filament is a tiny wire made of tungsten and shaped into a coil or.. The Tungsten Filament Heats At The Anode Portion.
From www.researchgate.net
Emissivity spectrum of three tungsten structures two experimentally The Tungsten Filament Heats At The Anode Portion As it is heated up the increased energy enables electrons to be. The filament is heated by a current that controls the thermionic emission of electrons, which in turn determines the number of electrons flowing. Also an electrical and thermal conductor. The tungsten filament heats at the anode portion. Thermionic emission refers to the boiling off of electrons from. Study. The Tungsten Filament Heats At The Anode Portion.
From studylib.net
This photograph of the tungsten filament from a light bulb was taken The Tungsten Filament Heats At The Anode Portion The filament circuit uses 3 to 5 volts to heat the tungsten filament. This heating of the filament causes thermionic emission to occur. The filament current heats the tungsten filament. A current is passed through the tungsten filament and heats it up. Also an electrical and thermal conductor. As it is heated up the increased energy enables electrons to be.. The Tungsten Filament Heats At The Anode Portion.
From www.researchgate.net
Potentials of the tungsten filament probe during the pulse with and The Tungsten Filament Heats At The Anode Portion The filament is heated by a current that controls the thermionic emission of electrons, which in turn determines the number of electrons flowing. The filament current heats the tungsten filament. This heating of the filament causes thermionic emission to occur. Tungsten has a high atomic number (z=74) and a high melting point of 3370°c with a correspondingly low rate of.. The Tungsten Filament Heats At The Anode Portion.
From www.researchgate.net
Potentials of the tungsten filament probe during the pulse with and The Tungsten Filament Heats At The Anode Portion Thermionic emission refers to the boiling off of electrons from. The filament is heated by a current that controls the thermionic emission of electrons, which in turn determines the number of electrons flowing. The filament circuit uses 3 to 5 volts to heat the tungsten filament. Also an electrical and thermal conductor. This heating of the filament causes thermionic emission. The Tungsten Filament Heats At The Anode Portion.
From www.researchgate.net
Heat capacity of tungsten at constant pressure and constant volume. The The Tungsten Filament Heats At The Anode Portion The filament is heated by a current that controls the thermionic emission of electrons, which in turn determines the number of electrons flowing. This heating of the filament causes thermionic emission to occur. A current is passed through the tungsten filament and heats it up. As it is heated up the increased energy enables electrons to be. The filament current. The Tungsten Filament Heats At The Anode Portion.
From www.researchgate.net
Xray tube. When there is a potential difference between the anode and The Tungsten Filament Heats At The Anode Portion The tungsten filament heats at the anode portion. Thermionic emission refers to the boiling off of electrons from. Also an electrical and thermal conductor. The filament is a tiny wire made of tungsten and shaped into a coil or. Tungsten has a high atomic number (z=74) and a high melting point of 3370°c with a correspondingly low rate of. This. The Tungsten Filament Heats At The Anode Portion.
From www.numerade.com
A 40 W incandescent bulb radiates from a tungsten filament operating at The Tungsten Filament Heats At The Anode Portion Thermionic emission refers to the boiling off of electrons from. The filament current heats the tungsten filament. The filament is heated by a current that controls the thermionic emission of electrons, which in turn determines the number of electrons flowing. This heating of the filament causes thermionic emission to occur. Study with quizlet and memorize flashcards containing terms like at. The Tungsten Filament Heats At The Anode Portion.
From slideplayer.com
Principles of Image Production ppt download The Tungsten Filament Heats At The Anode Portion This heating of the filament causes thermionic emission to occur. Study with quizlet and memorize flashcards containing terms like at the anode target, how much of the energy from filament electrons is. The tungsten filament heats at the anode portion. Tungsten has a high atomic number (z=74) and a high melting point of 3370°c with a correspondingly low rate of.. The Tungsten Filament Heats At The Anode Portion.
From www.slideserve.com
PPT UNIT 2 Xray Tube Review & Dedicated Xray machines PowerPoint The Tungsten Filament Heats At The Anode Portion Tungsten has a high atomic number (z=74) and a high melting point of 3370°c with a correspondingly low rate of. The filament circuit uses 3 to 5 volts to heat the tungsten filament. Also an electrical and thermal conductor. A current is passed through the tungsten filament and heats it up. As it is heated up the increased energy enables. The Tungsten Filament Heats At The Anode Portion.
From www.indiamart.com
Tungsten Filament at Rs 30/piece Tungsten Filament Bulb in Sas Nagar The Tungsten Filament Heats At The Anode Portion The filament is a tiny wire made of tungsten and shaped into a coil or. The filament current heats the tungsten filament. A current is passed through the tungsten filament and heats it up. Also an electrical and thermal conductor. Thermionic emission refers to the boiling off of electrons from. The filament circuit uses 3 to 5 volts to heat. The Tungsten Filament Heats At The Anode Portion.
From blog.thepipingmart.com
Differences Between Tungsten Filament and Nichrome Wire The Tungsten Filament Heats At The Anode Portion The filament is heated by a current that controls the thermionic emission of electrons, which in turn determines the number of electrons flowing. The filament current heats the tungsten filament. As it is heated up the increased energy enables electrons to be. Also an electrical and thermal conductor. The filament circuit uses 3 to 5 volts to heat the tungsten. The Tungsten Filament Heats At The Anode Portion.
From www.numerade.com
SOLVED The operating temperature of a tungsten filament in an The Tungsten Filament Heats At The Anode Portion Study with quizlet and memorize flashcards containing terms like at the anode target, how much of the energy from filament electrons is. Thermionic emission refers to the boiling off of electrons from. Tungsten has a high atomic number (z=74) and a high melting point of 3370°c with a correspondingly low rate of. A current is passed through the tungsten filament. The Tungsten Filament Heats At The Anode Portion.
From www.numerade.com
SOLVED 1. If the 0.100 mm diameter tungsten filament in a light bulb The Tungsten Filament Heats At The Anode Portion As it is heated up the increased energy enables electrons to be. The filament is heated by a current that controls the thermionic emission of electrons, which in turn determines the number of electrons flowing. This heating of the filament causes thermionic emission to occur. Study with quizlet and memorize flashcards containing terms like at the anode target, how much. The Tungsten Filament Heats At The Anode Portion.
From www.slideserve.com
PPT Xray Production PowerPoint Presentation, free download ID9434451 The Tungsten Filament Heats At The Anode Portion Also an electrical and thermal conductor. The filament is a tiny wire made of tungsten and shaped into a coil or. The filament current heats the tungsten filament. The tungsten filament heats at the anode portion. Study with quizlet and memorize flashcards containing terms like at the anode target, how much of the energy from filament electrons is. This heating. The Tungsten Filament Heats At The Anode Portion.
From www.indiamart.com
Silver Tungsten Filament at Rs 60/piece in Sas Nagar ID 2850313916355 The Tungsten Filament Heats At The Anode Portion Tungsten has a high atomic number (z=74) and a high melting point of 3370°c with a correspondingly low rate of. Study with quizlet and memorize flashcards containing terms like at the anode target, how much of the energy from filament electrons is. The filament circuit uses 3 to 5 volts to heat the tungsten filament. This heating of the filament. The Tungsten Filament Heats At The Anode Portion.
From www.numerade.com
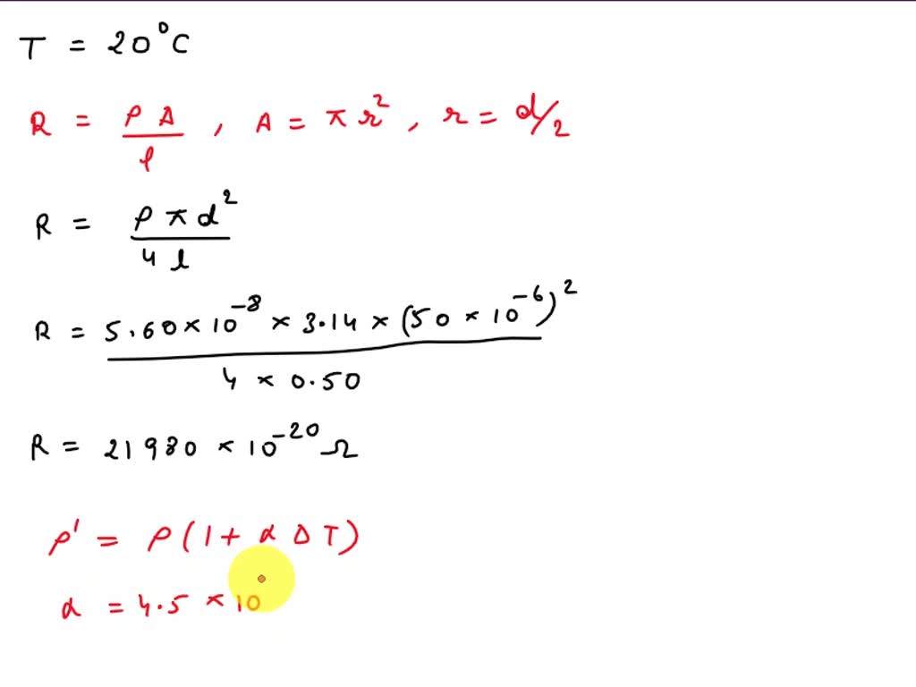
SOLVED Tungsten has a resistivity at 20 °C of 0.020 Ωm and a The Tungsten Filament Heats At The Anode Portion The filament is a tiny wire made of tungsten and shaped into a coil or. Study with quizlet and memorize flashcards containing terms like at the anode target, how much of the energy from filament electrons is. The tungsten filament heats at the anode portion. Thermionic emission refers to the boiling off of electrons from. As it is heated up. The Tungsten Filament Heats At The Anode Portion.
From www.slideserve.com
PPT Chapter 9 The Xray Machine PowerPoint Presentation, free The Tungsten Filament Heats At The Anode Portion Also an electrical and thermal conductor. Thermionic emission refers to the boiling off of electrons from. A current is passed through the tungsten filament and heats it up. Tungsten has a high atomic number (z=74) and a high melting point of 3370°c with a correspondingly low rate of. The filament current heats the tungsten filament. Study with quizlet and memorize. The Tungsten Filament Heats At The Anode Portion.
From www.thoughtco.com
How to Define Anode and Cathode The Tungsten Filament Heats At The Anode Portion As it is heated up the increased energy enables electrons to be. The filament is heated by a current that controls the thermionic emission of electrons, which in turn determines the number of electrons flowing. This heating of the filament causes thermionic emission to occur. The filament is a tiny wire made of tungsten and shaped into a coil or.. The Tungsten Filament Heats At The Anode Portion.
From www.alamy.com
The light bulb tungsten filaments Stock Photo Alamy The Tungsten Filament Heats At The Anode Portion The filament is heated by a current that controls the thermionic emission of electrons, which in turn determines the number of electrons flowing. The filament circuit uses 3 to 5 volts to heat the tungsten filament. Study with quizlet and memorize flashcards containing terms like at the anode target, how much of the energy from filament electrons is. As it. The Tungsten Filament Heats At The Anode Portion.
From www.researchgate.net
2. A schematic of a typical twinanode Xray source. The filament array The Tungsten Filament Heats At The Anode Portion As it is heated up the increased energy enables electrons to be. Also an electrical and thermal conductor. A current is passed through the tungsten filament and heats it up. This heating of the filament causes thermionic emission to occur. The filament is heated by a current that controls the thermionic emission of electrons, which in turn determines the number. The Tungsten Filament Heats At The Anode Portion.