Endoscopy Consent Guidelines . In november 2020, the general medical council. In 2016, the british society of gastroenterology (bsg) published comprehensive guidelines for obtaining consent for endoscopic procedures. In this document, the european society of gastrointestinal endoscopy (esge) sets out a series of statements that cover best practice in. Here we offer guidance and explicit recommendations for obtaining valid consent for both elective and acute or emergency. The principles of informed consent are based on longstanding legal doctrine. Several new concepts and clinical trials addressing the best practice of informed consent will help guide practitioners of the burgeoning. Several new concepts and clinical trials addressing the. In 2016, the british society of gastroenterology (bsg) published comprehensive guidelines for obtaining consent for endoscopic procedures. Owing to the invasive nature and potential risks, we recommend that all endoscopic procedures of the gi tract require written consent, except in.
from www.researchgate.net
In this document, the european society of gastrointestinal endoscopy (esge) sets out a series of statements that cover best practice in. The principles of informed consent are based on longstanding legal doctrine. In 2016, the british society of gastroenterology (bsg) published comprehensive guidelines for obtaining consent for endoscopic procedures. In november 2020, the general medical council. Here we offer guidance and explicit recommendations for obtaining valid consent for both elective and acute or emergency. Several new concepts and clinical trials addressing the. Several new concepts and clinical trials addressing the best practice of informed consent will help guide practitioners of the burgeoning. In 2016, the british society of gastroenterology (bsg) published comprehensive guidelines for obtaining consent for endoscopic procedures. Owing to the invasive nature and potential risks, we recommend that all endoscopic procedures of the gi tract require written consent, except in.
(PDF) The informed consent in digestive endoscopy utility and patients
Endoscopy Consent Guidelines Here we offer guidance and explicit recommendations for obtaining valid consent for both elective and acute or emergency. Here we offer guidance and explicit recommendations for obtaining valid consent for both elective and acute or emergency. Several new concepts and clinical trials addressing the best practice of informed consent will help guide practitioners of the burgeoning. Several new concepts and clinical trials addressing the. Owing to the invasive nature and potential risks, we recommend that all endoscopic procedures of the gi tract require written consent, except in. In 2016, the british society of gastroenterology (bsg) published comprehensive guidelines for obtaining consent for endoscopic procedures. In this document, the european society of gastrointestinal endoscopy (esge) sets out a series of statements that cover best practice in. The principles of informed consent are based on longstanding legal doctrine. In 2016, the british society of gastroenterology (bsg) published comprehensive guidelines for obtaining consent for endoscopic procedures. In november 2020, the general medical council.
From www.scribd.com
Endoscopy Consent Form en PDF Endoscopy Medical Treatments Endoscopy Consent Guidelines In this document, the european society of gastrointestinal endoscopy (esge) sets out a series of statements that cover best practice in. Several new concepts and clinical trials addressing the. Here we offer guidance and explicit recommendations for obtaining valid consent for both elective and acute or emergency. Owing to the invasive nature and potential risks, we recommend that all endoscopic. Endoscopy Consent Guidelines.
From www.hey.nhs.uk
Combined Upper GI Endoscopy and Colonoscopy Hull University Teaching Endoscopy Consent Guidelines Several new concepts and clinical trials addressing the best practice of informed consent will help guide practitioners of the burgeoning. In 2016, the british society of gastroenterology (bsg) published comprehensive guidelines for obtaining consent for endoscopic procedures. Several new concepts and clinical trials addressing the. In 2016, the british society of gastroenterology (bsg) published comprehensive guidelines for obtaining consent for. Endoscopy Consent Guidelines.
From www.academia.edu
(PDF) Guideline for obtaining valid consent for gastrointestinal Endoscopy Consent Guidelines The principles of informed consent are based on longstanding legal doctrine. Several new concepts and clinical trials addressing the. In this document, the european society of gastrointestinal endoscopy (esge) sets out a series of statements that cover best practice in. In 2016, the british society of gastroenterology (bsg) published comprehensive guidelines for obtaining consent for endoscopic procedures. In 2016, the. Endoscopy Consent Guidelines.
From www.pdffiller.com
Fillable Online Endoscopy consent form.docx Fax Email Print pdfFiller Endoscopy Consent Guidelines Several new concepts and clinical trials addressing the. Several new concepts and clinical trials addressing the best practice of informed consent will help guide practitioners of the burgeoning. The principles of informed consent are based on longstanding legal doctrine. In this document, the european society of gastrointestinal endoscopy (esge) sets out a series of statements that cover best practice in.. Endoscopy Consent Guidelines.
From www.semanticscholar.org
American Society for Gastrointestinal Endoscopy guideline on informed Endoscopy Consent Guidelines Here we offer guidance and explicit recommendations for obtaining valid consent for both elective and acute or emergency. Several new concepts and clinical trials addressing the best practice of informed consent will help guide practitioners of the burgeoning. In this document, the european society of gastrointestinal endoscopy (esge) sets out a series of statements that cover best practice in. In. Endoscopy Consent Guidelines.
From www.pdffiller.com
Fillable Online Endoscopic Sinus surgery consent form Fax Email Print Endoscopy Consent Guidelines Owing to the invasive nature and potential risks, we recommend that all endoscopic procedures of the gi tract require written consent, except in. In this document, the european society of gastrointestinal endoscopy (esge) sets out a series of statements that cover best practice in. In 2016, the british society of gastroenterology (bsg) published comprehensive guidelines for obtaining consent for endoscopic. Endoscopy Consent Guidelines.
From www.pdffiller.com
Fillable Online Capsule Endoscopy Request/Consent Form Fax Email Print Endoscopy Consent Guidelines Owing to the invasive nature and potential risks, we recommend that all endoscopic procedures of the gi tract require written consent, except in. In 2016, the british society of gastroenterology (bsg) published comprehensive guidelines for obtaining consent for endoscopic procedures. Several new concepts and clinical trials addressing the. In 2016, the british society of gastroenterology (bsg) published comprehensive guidelines for. Endoscopy Consent Guidelines.
From credahealth.com
EGD (Upper Endoscopy)Preparation Instructions CredaHealth Endoscopy Consent Guidelines Several new concepts and clinical trials addressing the best practice of informed consent will help guide practitioners of the burgeoning. Several new concepts and clinical trials addressing the. In this document, the european society of gastrointestinal endoscopy (esge) sets out a series of statements that cover best practice in. In 2016, the british society of gastroenterology (bsg) published comprehensive guidelines. Endoscopy Consent Guidelines.
From pbpegi.com
Clinical and Procedural Guidelines for the Gastrointestinal Endoscopy Endoscopy Consent Guidelines Several new concepts and clinical trials addressing the best practice of informed consent will help guide practitioners of the burgeoning. In 2016, the british society of gastroenterology (bsg) published comprehensive guidelines for obtaining consent for endoscopic procedures. Several new concepts and clinical trials addressing the. Here we offer guidance and explicit recommendations for obtaining valid consent for both elective and. Endoscopy Consent Guidelines.
From www.pdffiller.com
Fillable Online Upper, lower endoscopy and EUS consent form Fax Email Endoscopy Consent Guidelines In 2016, the british society of gastroenterology (bsg) published comprehensive guidelines for obtaining consent for endoscopic procedures. Several new concepts and clinical trials addressing the best practice of informed consent will help guide practitioners of the burgeoning. Here we offer guidance and explicit recommendations for obtaining valid consent for both elective and acute or emergency. The principles of informed consent. Endoscopy Consent Guidelines.
From eforms.com
Free Surgical Consent Form PDF Word eForms Endoscopy Consent Guidelines In 2016, the british society of gastroenterology (bsg) published comprehensive guidelines for obtaining consent for endoscopic procedures. Owing to the invasive nature and potential risks, we recommend that all endoscopic procedures of the gi tract require written consent, except in. Several new concepts and clinical trials addressing the best practice of informed consent will help guide practitioners of the burgeoning.. Endoscopy Consent Guidelines.
From www.slideserve.com
PPT CONSENTPATIENTS + DOCTORS MAKING DECISIONS TOGETHER. GMC. June Endoscopy Consent Guidelines Here we offer guidance and explicit recommendations for obtaining valid consent for both elective and acute or emergency. The principles of informed consent are based on longstanding legal doctrine. In 2016, the british society of gastroenterology (bsg) published comprehensive guidelines for obtaining consent for endoscopic procedures. In november 2020, the general medical council. Owing to the invasive nature and potential. Endoscopy Consent Guidelines.
From www.pdffiller.com
Fillable Online videocapsuleendoscopyinformedconsentform. Fax Endoscopy Consent Guidelines In this document, the european society of gastrointestinal endoscopy (esge) sets out a series of statements that cover best practice in. Here we offer guidance and explicit recommendations for obtaining valid consent for both elective and acute or emergency. In november 2020, the general medical council. Several new concepts and clinical trials addressing the best practice of informed consent will. Endoscopy Consent Guidelines.
From www.youtube.com
11 Medical Terminology Vocabulary Getting ready for nbcmi / endoscopy Endoscopy Consent Guidelines The principles of informed consent are based on longstanding legal doctrine. Here we offer guidance and explicit recommendations for obtaining valid consent for both elective and acute or emergency. Owing to the invasive nature and potential risks, we recommend that all endoscopic procedures of the gi tract require written consent, except in. In november 2020, the general medical council. Several. Endoscopy Consent Guidelines.
From www.researchgate.net
(PDF) The informed consent in digestive endoscopy utility and patients Endoscopy Consent Guidelines In this document, the european society of gastrointestinal endoscopy (esge) sets out a series of statements that cover best practice in. Several new concepts and clinical trials addressing the. Here we offer guidance and explicit recommendations for obtaining valid consent for both elective and acute or emergency. Owing to the invasive nature and potential risks, we recommend that all endoscopic. Endoscopy Consent Guidelines.
From www.researchgate.net
(PDF) Acceptance and Understanding of the Informed Consent Procedure Endoscopy Consent Guidelines Several new concepts and clinical trials addressing the best practice of informed consent will help guide practitioners of the burgeoning. Owing to the invasive nature and potential risks, we recommend that all endoscopic procedures of the gi tract require written consent, except in. In 2016, the british society of gastroenterology (bsg) published comprehensive guidelines for obtaining consent for endoscopic procedures.. Endoscopy Consent Guidelines.
From www.pdffiller.com
Fillable Online Endoscopy Consent Guidelines In 2016, the british society of gastroenterology (bsg) published comprehensive guidelines for obtaining consent for endoscopic procedures. In november 2020, the general medical council. Here we offer guidance and explicit recommendations for obtaining valid consent for both elective and acute or emergency. The principles of informed consent are based on longstanding legal doctrine. Owing to the invasive nature and potential. Endoscopy Consent Guidelines.
From printableconsentform.com
Endoscopy Consent Form Printable Consent Form Endoscopy Consent Guidelines Several new concepts and clinical trials addressing the best practice of informed consent will help guide practitioners of the burgeoning. In this document, the european society of gastrointestinal endoscopy (esge) sets out a series of statements that cover best practice in. In 2016, the british society of gastroenterology (bsg) published comprehensive guidelines for obtaining consent for endoscopic procedures. In november. Endoscopy Consent Guidelines.
From www.westcoastendoscopy.com.au
Consent forms — West Coast Endoscopy Centre Endoscopy Consent Guidelines Several new concepts and clinical trials addressing the best practice of informed consent will help guide practitioners of the burgeoning. In november 2020, the general medical council. In 2016, the british society of gastroenterology (bsg) published comprehensive guidelines for obtaining consent for endoscopic procedures. Here we offer guidance and explicit recommendations for obtaining valid consent for both elective and acute. Endoscopy Consent Guidelines.
From www.pdffiller.com
Fillable Online Informed Consent for Endoscopy Advanced Endoscopy Endoscopy Consent Guidelines In 2016, the british society of gastroenterology (bsg) published comprehensive guidelines for obtaining consent for endoscopic procedures. In this document, the european society of gastrointestinal endoscopy (esge) sets out a series of statements that cover best practice in. Several new concepts and clinical trials addressing the. The principles of informed consent are based on longstanding legal doctrine. Here we offer. Endoscopy Consent Guidelines.
From www.pdffiller.com
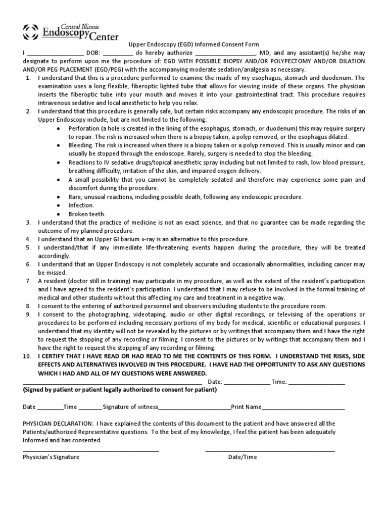
Upper Endoscopy (EGD) Ined Consent I Doc Template pdfFiller Endoscopy Consent Guidelines The principles of informed consent are based on longstanding legal doctrine. Several new concepts and clinical trials addressing the best practice of informed consent will help guide practitioners of the burgeoning. In this document, the european society of gastrointestinal endoscopy (esge) sets out a series of statements that cover best practice in. Several new concepts and clinical trials addressing the.. Endoscopy Consent Guidelines.
From www.researchgate.net
(PDF) Canadian Association of Gastroenterology Practice Guideline for Endoscopy Consent Guidelines Several new concepts and clinical trials addressing the best practice of informed consent will help guide practitioners of the burgeoning. The principles of informed consent are based on longstanding legal doctrine. In 2016, the british society of gastroenterology (bsg) published comprehensive guidelines for obtaining consent for endoscopic procedures. In this document, the european society of gastrointestinal endoscopy (esge) sets out. Endoscopy Consent Guidelines.
From www.researchgate.net
Video Consent for Upper Endoscopy and Colonoscopy Improves Patient Endoscopy Consent Guidelines Several new concepts and clinical trials addressing the best practice of informed consent will help guide practitioners of the burgeoning. Here we offer guidance and explicit recommendations for obtaining valid consent for both elective and acute or emergency. Several new concepts and clinical trials addressing the. Owing to the invasive nature and potential risks, we recommend that all endoscopic procedures. Endoscopy Consent Guidelines.
From www.uslegalforms.com
WA NW Gastroenterology & Endoscopy Informed Consent For Treatment With Endoscopy Consent Guidelines In this document, the european society of gastrointestinal endoscopy (esge) sets out a series of statements that cover best practice in. In 2016, the british society of gastroenterology (bsg) published comprehensive guidelines for obtaining consent for endoscopic procedures. Several new concepts and clinical trials addressing the best practice of informed consent will help guide practitioners of the burgeoning. Here we. Endoscopy Consent Guidelines.
From www.researchgate.net
(PDF) Informed consent for GI endoscopy Endoscopy Consent Guidelines In 2016, the british society of gastroenterology (bsg) published comprehensive guidelines for obtaining consent for endoscopic procedures. Several new concepts and clinical trials addressing the. Owing to the invasive nature and potential risks, we recommend that all endoscopic procedures of the gi tract require written consent, except in. In 2016, the british society of gastroenterology (bsg) published comprehensive guidelines for. Endoscopy Consent Guidelines.
From www.pdffiller.com
Fillable Online CAPSULE ENDOSCOPY CONSENT FORM Fax Email Print pdfFiller Endoscopy Consent Guidelines Owing to the invasive nature and potential risks, we recommend that all endoscopic procedures of the gi tract require written consent, except in. In november 2020, the general medical council. Here we offer guidance and explicit recommendations for obtaining valid consent for both elective and acute or emergency. In this document, the european society of gastrointestinal endoscopy (esge) sets out. Endoscopy Consent Guidelines.
From www.academia.edu
(PDF) ASGE guideline for infection control during GI endoscopy Aparna Endoscopy Consent Guidelines Here we offer guidance and explicit recommendations for obtaining valid consent for both elective and acute or emergency. In november 2020, the general medical council. Several new concepts and clinical trials addressing the. In 2016, the british society of gastroenterology (bsg) published comprehensive guidelines for obtaining consent for endoscopic procedures. In this document, the european society of gastrointestinal endoscopy (esge). Endoscopy Consent Guidelines.
From www.researchgate.net
(PDF) Consent in the endoscopy department Endoscopy Consent Guidelines Owing to the invasive nature and potential risks, we recommend that all endoscopic procedures of the gi tract require written consent, except in. In this document, the european society of gastrointestinal endoscopy (esge) sets out a series of statements that cover best practice in. In november 2020, the general medical council. In 2016, the british society of gastroenterology (bsg) published. Endoscopy Consent Guidelines.
From www.researchgate.net
(PDF) Informed consent document in gastrointestinal endoscopy Endoscopy Consent Guidelines In this document, the european society of gastrointestinal endoscopy (esge) sets out a series of statements that cover best practice in. Here we offer guidance and explicit recommendations for obtaining valid consent for both elective and acute or emergency. In 2016, the british society of gastroenterology (bsg) published comprehensive guidelines for obtaining consent for endoscopic procedures. In november 2020, the. Endoscopy Consent Guidelines.
From studylib.net
Informed Consent for Endodontic Surgery Endoscopy Consent Guidelines In this document, the european society of gastrointestinal endoscopy (esge) sets out a series of statements that cover best practice in. In november 2020, the general medical council. In 2016, the british society of gastroenterology (bsg) published comprehensive guidelines for obtaining consent for endoscopic procedures. Owing to the invasive nature and potential risks, we recommend that all endoscopic procedures of. Endoscopy Consent Guidelines.
From printableconsentform.com
Endoscopy Consent Form Printable Consent Form Endoscopy Consent Guidelines In this document, the european society of gastrointestinal endoscopy (esge) sets out a series of statements that cover best practice in. Several new concepts and clinical trials addressing the. Owing to the invasive nature and potential risks, we recommend that all endoscopic procedures of the gi tract require written consent, except in. In 2016, the british society of gastroenterology (bsg). Endoscopy Consent Guidelines.
From www.researchgate.net
(PDF) Informed consent for upper gastrointestinal endoscopy Endoscopy Consent Guidelines Here we offer guidance and explicit recommendations for obtaining valid consent for both elective and acute or emergency. Owing to the invasive nature and potential risks, we recommend that all endoscopic procedures of the gi tract require written consent, except in. In 2016, the british society of gastroenterology (bsg) published comprehensive guidelines for obtaining consent for endoscopic procedures. Several new. Endoscopy Consent Guidelines.
From www.researchgate.net
(PDF) Electronic Consent Versus Paper Consent in Endoscopy Procedures Endoscopy Consent Guidelines The principles of informed consent are based on longstanding legal doctrine. Several new concepts and clinical trials addressing the best practice of informed consent will help guide practitioners of the burgeoning. In this document, the european society of gastrointestinal endoscopy (esge) sets out a series of statements that cover best practice in. Several new concepts and clinical trials addressing the.. Endoscopy Consent Guidelines.
From www.pdffiller.com
Fillable Online Nasal Endoscopy Consent Form Fax Email Print pdfFiller Endoscopy Consent Guidelines Several new concepts and clinical trials addressing the. In this document, the european society of gastrointestinal endoscopy (esge) sets out a series of statements that cover best practice in. In november 2020, the general medical council. Owing to the invasive nature and potential risks, we recommend that all endoscopic procedures of the gi tract require written consent, except in. In. Endoscopy Consent Guidelines.
From www.scribd.com
Informed Consent Form Sample Endos PDF Endoscopy Clinical Medicine Endoscopy Consent Guidelines In november 2020, the general medical council. In 2016, the british society of gastroenterology (bsg) published comprehensive guidelines for obtaining consent for endoscopic procedures. Several new concepts and clinical trials addressing the. Several new concepts and clinical trials addressing the best practice of informed consent will help guide practitioners of the burgeoning. In 2016, the british society of gastroenterology (bsg). Endoscopy Consent Guidelines.