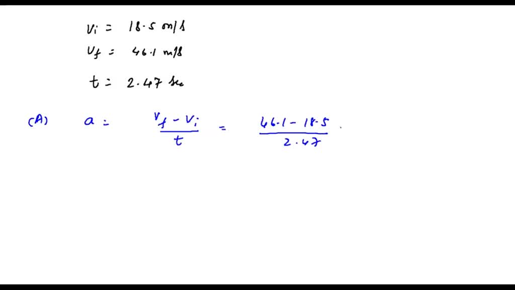
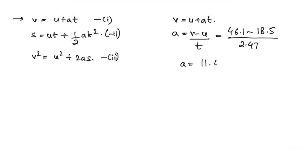
Race Car Accelerates Uniformly From . Determine the acceleration of the car and the distance traveled. Suppose the race car now slows down uniformly from 64.0 m/s to 29.0 m/s in 3.80 s to avoid an accident, while still traveling a circular path 4.20 x 102 m in radius. A race car accelerates uniformly from 18.5 m/s to 46.1 m/s in 2.47 seconds. The uniformly accelerated motion calculator or (kinematic equations calculator) solves motion calculations involving constant acceleration in one dimension, a straight line. We will use the following kinematic equation: A race car accelerates uniformly from 18.5 m/s to 46.5 m/s in 2.3 seconds. Where vf is the final velocity, vi is the initial velocity, a is the. Join this channel to get access to. V2 f = v2 i +2aδs. A race car accelerates uniformly from 18.5 m/s to 46.1 m/s in 2.47 seconds. Determine the acceleration of the car and the distance traveled.
from www.chegg.com
V2 f = v2 i +2aδs. Determine the acceleration of the car and the distance traveled. A race car accelerates uniformly from 18.5 m/s to 46.1 m/s in 2.47 seconds. We will use the following kinematic equation: A race car accelerates uniformly from 18.5 m/s to 46.5 m/s in 2.3 seconds. Suppose the race car now slows down uniformly from 64.0 m/s to 29.0 m/s in 3.80 s to avoid an accident, while still traveling a circular path 4.20 x 102 m in radius. Join this channel to get access to. A race car accelerates uniformly from 18.5 m/s to 46.1 m/s in 2.47 seconds. Determine the acceleration of the car and the distance traveled. Where vf is the final velocity, vi is the initial velocity, a is the.
Solved A racing car accelerates uniformly from rest along a
Race Car Accelerates Uniformly From Suppose the race car now slows down uniformly from 64.0 m/s to 29.0 m/s in 3.80 s to avoid an accident, while still traveling a circular path 4.20 x 102 m in radius. Determine the acceleration of the car and the distance traveled. We will use the following kinematic equation: A race car accelerates uniformly from 18.5 m/s to 46.5 m/s in 2.3 seconds. Suppose the race car now slows down uniformly from 64.0 m/s to 29.0 m/s in 3.80 s to avoid an accident, while still traveling a circular path 4.20 x 102 m in radius. The uniformly accelerated motion calculator or (kinematic equations calculator) solves motion calculations involving constant acceleration in one dimension, a straight line. A race car accelerates uniformly from 18.5 m/s to 46.1 m/s in 2.47 seconds. Determine the acceleration of the car and the distance traveled. Join this channel to get access to. A race car accelerates uniformly from 18.5 m/s to 46.1 m/s in 2.47 seconds. Where vf is the final velocity, vi is the initial velocity, a is the. V2 f = v2 i +2aδs.
From byjus.com
a car accelerates uniformly and its velocity changes from5m/s to 30 m/s Race Car Accelerates Uniformly From Determine the acceleration of the car and the distance traveled. Where vf is the final velocity, vi is the initial velocity, a is the. Determine the acceleration of the car and the distance traveled. We will use the following kinematic equation: Join this channel to get access to. The uniformly accelerated motion calculator or (kinematic equations calculator) solves motion calculations. Race Car Accelerates Uniformly From.
From www.chegg.com
Solved PROBLEM A race car accelerates uniformly from a speed Race Car Accelerates Uniformly From The uniformly accelerated motion calculator or (kinematic equations calculator) solves motion calculations involving constant acceleration in one dimension, a straight line. We will use the following kinematic equation: A race car accelerates uniformly from 18.5 m/s to 46.5 m/s in 2.3 seconds. Determine the acceleration of the car and the distance traveled. Determine the acceleration of the car and the. Race Car Accelerates Uniformly From.
From www.coursehero.com
[Solved] n 5 A race car starting from rest accelerates uniformly at a Race Car Accelerates Uniformly From We will use the following kinematic equation: Determine the acceleration of the car and the distance traveled. Where vf is the final velocity, vi is the initial velocity, a is the. Determine the acceleration of the car and the distance traveled. A race car accelerates uniformly from 18.5 m/s to 46.1 m/s in 2.47 seconds. Suppose the race car now. Race Car Accelerates Uniformly From.
From www.gauthmath.com
2. A race car accelerates uniformly from 17.5 m/s Gauthmath Race Car Accelerates Uniformly From A race car accelerates uniformly from 18.5 m/s to 46.1 m/s in 2.47 seconds. Suppose the race car now slows down uniformly from 64.0 m/s to 29.0 m/s in 3.80 s to avoid an accident, while still traveling a circular path 4.20 x 102 m in radius. Determine the acceleration of the car and the distance traveled. A race car. Race Car Accelerates Uniformly From.
From www.chegg.com
Solved A racing car accelerates uniformly from rest along a Race Car Accelerates Uniformly From Determine the acceleration of the car and the distance traveled. A race car accelerates uniformly from 18.5 m/s to 46.5 m/s in 2.3 seconds. Suppose the race car now slows down uniformly from 64.0 m/s to 29.0 m/s in 3.80 s to avoid an accident, while still traveling a circular path 4.20 x 102 m in radius. The uniformly accelerated. Race Car Accelerates Uniformly From.
From www.chegg.com
Solved A race car starting from rest accelerates uniformly Race Car Accelerates Uniformly From A race car accelerates uniformly from 18.5 m/s to 46.5 m/s in 2.3 seconds. Join this channel to get access to. A race car accelerates uniformly from 18.5 m/s to 46.1 m/s in 2.47 seconds. Determine the acceleration of the car and the distance traveled. The uniformly accelerated motion calculator or (kinematic equations calculator) solves motion calculations involving constant acceleration. Race Car Accelerates Uniformly From.
From www.numerade.com
SOLVED A race car accelerates uniformly from 18.5 m/s to 46.1 m/s in 2 Race Car Accelerates Uniformly From The uniformly accelerated motion calculator or (kinematic equations calculator) solves motion calculations involving constant acceleration in one dimension, a straight line. Join this channel to get access to. A race car accelerates uniformly from 18.5 m/s to 46.5 m/s in 2.3 seconds. We will use the following kinematic equation: A race car accelerates uniformly from 18.5 m/s to 46.1 m/s. Race Car Accelerates Uniformly From.
From www.numerade.com
SOLVED 4) A racing car accelerates uniformly from rest along a Race Car Accelerates Uniformly From A race car accelerates uniformly from 18.5 m/s to 46.5 m/s in 2.3 seconds. The uniformly accelerated motion calculator or (kinematic equations calculator) solves motion calculations involving constant acceleration in one dimension, a straight line. Determine the acceleration of the car and the distance traveled. Determine the acceleration of the car and the distance traveled. Suppose the race car now. Race Car Accelerates Uniformly From.
From www.numerade.com
A race car accelerates uniformly from 18.5 m / s to 46.1 m / s in 2. Race Car Accelerates Uniformly From V2 f = v2 i +2aδs. A race car accelerates uniformly from 18.5 m/s to 46.5 m/s in 2.3 seconds. A race car accelerates uniformly from 18.5 m/s to 46.1 m/s in 2.47 seconds. Determine the acceleration of the car and the distance traveled. We will use the following kinematic equation: Where vf is the final velocity, vi is the. Race Car Accelerates Uniformly From.
From brainly.com
A racing car accelerates uniformly from rest along a straight track Race Car Accelerates Uniformly From A race car accelerates uniformly from 18.5 m/s to 46.1 m/s in 2.47 seconds. Determine the acceleration of the car and the distance traveled. Determine the acceleration of the car and the distance traveled. The uniformly accelerated motion calculator or (kinematic equations calculator) solves motion calculations involving constant acceleration in one dimension, a straight line. We will use the following. Race Car Accelerates Uniformly From.
From www.numerade.com
SOLVED A race car accelerates uniformly from 18.5 m/s to 46.1 m/s in 2 Race Car Accelerates Uniformly From The uniformly accelerated motion calculator or (kinematic equations calculator) solves motion calculations involving constant acceleration in one dimension, a straight line. Determine the acceleration of the car and the distance traveled. Determine the acceleration of the car and the distance traveled. Join this channel to get access to. A race car accelerates uniformly from 18.5 m/s to 46.1 m/s in. Race Car Accelerates Uniformly From.
From www.chegg.com
Solved A racing car accelerates uniformly from rest along a Race Car Accelerates Uniformly From Determine the acceleration of the car and the distance traveled. A race car accelerates uniformly from 18.5 m/s to 46.1 m/s in 2.47 seconds. A race car accelerates uniformly from 18.5 m/s to 46.1 m/s in 2.47 seconds. Where vf is the final velocity, vi is the initial velocity, a is the. A race car accelerates uniformly from 18.5 m/s. Race Car Accelerates Uniformly From.
From www.youtube.com
Physics Help A race car accelerates uniformly from 16.5 m/s to 43.2 m Race Car Accelerates Uniformly From Join this channel to get access to. A race car accelerates uniformly from 18.5 m/s to 46.1 m/s in 2.47 seconds. We will use the following kinematic equation: V2 f = v2 i +2aδs. Determine the acceleration of the car and the distance traveled. Determine the acceleration of the car and the distance traveled. A race car accelerates uniformly from. Race Car Accelerates Uniformly From.
From wheelsadviser.com
A Race Car Accelerates Uniformly From 18.5? Race Car Accelerates Uniformly From Determine the acceleration of the car and the distance traveled. Join this channel to get access to. Suppose the race car now slows down uniformly from 64.0 m/s to 29.0 m/s in 3.80 s to avoid an accident, while still traveling a circular path 4.20 x 102 m in radius. A race car accelerates uniformly from 18.5 m/s to 46.1. Race Car Accelerates Uniformly From.
From www.numerade.com
SOLVED Race car accelerates uniformly from 25 metre per second to 50 Race Car Accelerates Uniformly From Determine the acceleration of the car and the distance traveled. A race car accelerates uniformly from 18.5 m/s to 46.1 m/s in 2.47 seconds. The uniformly accelerated motion calculator or (kinematic equations calculator) solves motion calculations involving constant acceleration in one dimension, a straight line. Suppose the race car now slows down uniformly from 64.0 m/s to 29.0 m/s in. Race Car Accelerates Uniformly From.
From www.numerade.com
SOLVED A race car accelerates uniformly from 40 m/s to 200 m/s in 150 Race Car Accelerates Uniformly From We will use the following kinematic equation: Join this channel to get access to. Where vf is the final velocity, vi is the initial velocity, a is the. The uniformly accelerated motion calculator or (kinematic equations calculator) solves motion calculations involving constant acceleration in one dimension, a straight line. A race car accelerates uniformly from 18.5 m/s to 46.1 m/s. Race Car Accelerates Uniformly From.
From www.numerade.com
A racing car accelerates uniformly from rest along straight track This Race Car Accelerates Uniformly From Where vf is the final velocity, vi is the initial velocity, a is the. Determine the acceleration of the car and the distance traveled. Join this channel to get access to. A race car accelerates uniformly from 18.5 m/s to 46.1 m/s in 2.47 seconds. The uniformly accelerated motion calculator or (kinematic equations calculator) solves motion calculations involving constant acceleration. Race Car Accelerates Uniformly From.
From www.numerade.com
SOLVED A racing car accelerates uniformly from rest along a straight Race Car Accelerates Uniformly From A race car accelerates uniformly from 18.5 m/s to 46.5 m/s in 2.3 seconds. The uniformly accelerated motion calculator or (kinematic equations calculator) solves motion calculations involving constant acceleration in one dimension, a straight line. Determine the acceleration of the car and the distance traveled. We will use the following kinematic equation: A race car accelerates uniformly from 18.5 m/s. Race Car Accelerates Uniformly From.
From www.numerade.com
SOLVED A race car accelerates uniformly from 18.5ms?1 to 46.1ms?1 in 2 Race Car Accelerates Uniformly From Where vf is the final velocity, vi is the initial velocity, a is the. The uniformly accelerated motion calculator or (kinematic equations calculator) solves motion calculations involving constant acceleration in one dimension, a straight line. A race car accelerates uniformly from 18.5 m/s to 46.1 m/s in 2.47 seconds. We will use the following kinematic equation: A race car accelerates. Race Car Accelerates Uniformly From.
From www.chegg.com
Solved PROBLEM A race car accelerates uniformly from a speed Race Car Accelerates Uniformly From A race car accelerates uniformly from 18.5 m/s to 46.1 m/s in 2.47 seconds. Where vf is the final velocity, vi is the initial velocity, a is the. Join this channel to get access to. Suppose the race car now slows down uniformly from 64.0 m/s to 29.0 m/s in 3.80 s to avoid an accident, while still traveling a. Race Car Accelerates Uniformly From.
From www.chegg.com
Solved A racing car accelerates uniformly from rest along a Race Car Accelerates Uniformly From Suppose the race car now slows down uniformly from 64.0 m/s to 29.0 m/s in 3.80 s to avoid an accident, while still traveling a circular path 4.20 x 102 m in radius. Join this channel to get access to. Where vf is the final velocity, vi is the initial velocity, a is the. We will use the following kinematic. Race Car Accelerates Uniformly From.
From www.chegg.com
Solved A racing car accelerates uniformly from rest along a Race Car Accelerates Uniformly From A race car accelerates uniformly from 18.5 m/s to 46.1 m/s in 2.47 seconds. Suppose the race car now slows down uniformly from 64.0 m/s to 29.0 m/s in 3.80 s to avoid an accident, while still traveling a circular path 4.20 x 102 m in radius. Determine the acceleration of the car and the distance traveled. A race car. Race Car Accelerates Uniformly From.
From www.chegg.com
Solved A race car starting from rest accelerates uniformly Race Car Accelerates Uniformly From We will use the following kinematic equation: A race car accelerates uniformly from 18.5 m/s to 46.1 m/s in 2.47 seconds. V2 f = v2 i +2aδs. Suppose the race car now slows down uniformly from 64.0 m/s to 29.0 m/s in 3.80 s to avoid an accident, while still traveling a circular path 4.20 x 102 m in radius.. Race Car Accelerates Uniformly From.
From www.numerade.com
SOLVEDA race car accelerates uniformly from 25 m/s to 50 m/s in 5 Race Car Accelerates Uniformly From We will use the following kinematic equation: Determine the acceleration of the car and the distance traveled. Determine the acceleration of the car and the distance traveled. V2 f = v2 i +2aδs. Suppose the race car now slows down uniformly from 64.0 m/s to 29.0 m/s in 3.80 s to avoid an accident, while still traveling a circular path. Race Car Accelerates Uniformly From.
From www.chegg.com
Solved 9. A race car accelerates uniformly from 20 m/s to 50 Race Car Accelerates Uniformly From Where vf is the final velocity, vi is the initial velocity, a is the. Suppose the race car now slows down uniformly from 64.0 m/s to 29.0 m/s in 3.80 s to avoid an accident, while still traveling a circular path 4.20 x 102 m in radius. V2 f = v2 i +2aδs. A race car accelerates uniformly from 18.5. Race Car Accelerates Uniformly From.
From www.numerade.com
SOLVED A race car accelerates uniformly from 10 m/s to 40 m/s in 3 Race Car Accelerates Uniformly From Where vf is the final velocity, vi is the initial velocity, a is the. Join this channel to get access to. Determine the acceleration of the car and the distance traveled. The uniformly accelerated motion calculator or (kinematic equations calculator) solves motion calculations involving constant acceleration in one dimension, a straight line. V2 f = v2 i +2aδs. Determine the. Race Car Accelerates Uniformly From.
From wheelsadviser.com
A Race Car Accelerates Uniformly From 18.5? Race Car Accelerates Uniformly From Determine the acceleration of the car and the distance traveled. Suppose the race car now slows down uniformly from 64.0 m/s to 29.0 m/s in 3.80 s to avoid an accident, while still traveling a circular path 4.20 x 102 m in radius. We will use the following kinematic equation: Join this channel to get access to. A race car. Race Car Accelerates Uniformly From.
From www.chegg.com
A racing car accelerates uniformly from rest along a Race Car Accelerates Uniformly From A race car accelerates uniformly from 18.5 m/s to 46.1 m/s in 2.47 seconds. Determine the acceleration of the car and the distance traveled. Join this channel to get access to. The uniformly accelerated motion calculator or (kinematic equations calculator) solves motion calculations involving constant acceleration in one dimension, a straight line. Determine the acceleration of the car and the. Race Car Accelerates Uniformly From.
From www.chegg.com
Solved A racing car accelerates uniformly from rest along a Race Car Accelerates Uniformly From Determine the acceleration of the car and the distance traveled. A race car accelerates uniformly from 18.5 m/s to 46.1 m/s in 2.47 seconds. A race car accelerates uniformly from 18.5 m/s to 46.5 m/s in 2.3 seconds. Suppose the race car now slows down uniformly from 64.0 m/s to 29.0 m/s in 3.80 s to avoid an accident, while. Race Car Accelerates Uniformly From.
From www.transtutors.com
(Get Answer) . 252 M 5. A Race Car Starting From Rest Accelerates Race Car Accelerates Uniformly From Join this channel to get access to. A race car accelerates uniformly from 18.5 m/s to 46.1 m/s in 2.47 seconds. A race car accelerates uniformly from 18.5 m/s to 46.1 m/s in 2.47 seconds. Determine the acceleration of the car and the distance traveled. Determine the acceleration of the car and the distance traveled. Where vf is the final. Race Car Accelerates Uniformly From.
From www.studypool.com
SOLUTION 4) A racing car accelerates uniformly from rest along a Race Car Accelerates Uniformly From We will use the following kinematic equation: The uniformly accelerated motion calculator or (kinematic equations calculator) solves motion calculations involving constant acceleration in one dimension, a straight line. Determine the acceleration of the car and the distance traveled. A race car accelerates uniformly from 18.5 m/s to 46.1 m/s in 2.47 seconds. A race car accelerates uniformly from 18.5 m/s. Race Car Accelerates Uniformly From.
From www.numerade.com
SOLVED A race car accelerates uniformly from 18.5 m/s to 46.1 m/s in 2 Race Car Accelerates Uniformly From V2 f = v2 i +2aδs. The uniformly accelerated motion calculator or (kinematic equations calculator) solves motion calculations involving constant acceleration in one dimension, a straight line. We will use the following kinematic equation: Where vf is the final velocity, vi is the initial velocity, a is the. Join this channel to get access to. A race car accelerates uniformly. Race Car Accelerates Uniformly From.
From www.numerade.com
SOLVED A race car accelerates uniformly from 18.5 m/s to 46.1 m/s in 2 Race Car Accelerates Uniformly From Suppose the race car now slows down uniformly from 64.0 m/s to 29.0 m/s in 3.80 s to avoid an accident, while still traveling a circular path 4.20 x 102 m in radius. Join this channel to get access to. A race car accelerates uniformly from 18.5 m/s to 46.5 m/s in 2.3 seconds. V2 f = v2 i +2aδs.. Race Car Accelerates Uniformly From.
From www.chegg.com
Solved (b) A race car accelerates uniformly from 18.5 " to Race Car Accelerates Uniformly From Join this channel to get access to. A race car accelerates uniformly from 18.5 m/s to 46.1 m/s in 2.47 seconds. Suppose the race car now slows down uniformly from 64.0 m/s to 29.0 m/s in 3.80 s to avoid an accident, while still traveling a circular path 4.20 x 102 m in radius. A race car accelerates uniformly from. Race Car Accelerates Uniformly From.
From www.youtube.com
A car accelerates uniformly from 18 km h^1 to 36 km h^1 in 5 s Race Car Accelerates Uniformly From Determine the acceleration of the car and the distance traveled. A race car accelerates uniformly from 18.5 m/s to 46.1 m/s in 2.47 seconds. V2 f = v2 i +2aδs. We will use the following kinematic equation: Join this channel to get access to. Where vf is the final velocity, vi is the initial velocity, a is the. A race. Race Car Accelerates Uniformly From.