Cork Density G/Cm3 . Volumetric mass density of cork (other) in other popular units: 37 rows this table cites density values from lowest density to highest. To convert density in g/cm 3 to kg/m 3, simply multiply by 1000. = 0.24 [ kg/l ] or [ g/ml ] or [. Density of cork, solid is equal to 240 kg/m³. Density of cork, ground is equal to 160 kg/m³. To calculate the density, divide the weight by the. The density calculator supports metrics in both metric and imperial units: 20 rows cork, solid weighs 0.24 gram per cubic centimeter or 240 kilogram per cubic meter, i.e. 20 rows cork, ground weighs 0.16 gram per cubic centimeter or 160 kilogram per cubic meter, i.e. Kg, pounds, tons, tonnes, cu ft, cu yd, mm3, cm3, m3 and so on. The si unit of density is kg/m 3. Density of cork is 240 kg/m 3 (approx.). Changes in density of aqueous solutions with changes in concentration at. In addition, it has the highest.
from askfilo.com
Density of cork, solid is equal to 240 kg/m³. = 0.24 [ kg/l ] or [ g/ml ] or [. In addition, it has the highest. The density calculator supports metrics in both metric and imperial units: 20 rows cork, ground weighs 0.16 gram per cubic centimeter or 160 kilogram per cubic meter, i.e. Kg, pounds, tons, tonnes, cu ft, cu yd, mm3, cm3, m3 and so on. To convert density in g/cm 3 to kg/m 3, simply multiply by 1000. Density of cork, ground is equal to 160 kg/m³. The si unit of density is kg/m 3. The volume of a champagne cork is around 37.5 cm 3 and its weight is 9 grams.
A cork of density 0.5 g cm−3 floats on a calm swimming pool. The fraction..
Cork Density G/Cm3 Density of cork, ground is equal to 160 kg/m³. To calculate the density, divide the weight by the. Density of cork, ground is equal to 160 kg/m³. Density of cork, solid is equal to 240 kg/m³. 37 rows this table cites density values from lowest density to highest. The si unit of density is kg/m 3. Volumetric mass density of cork (other) in other popular units: To convert density in g/cm 3 to kg/m 3, simply multiply by 1000. In addition, it has the highest. Densities of aqueous solutions of inorganic sodium salts. Density of cork is 240 kg/m 3 (approx.). Changes in density of aqueous solutions with changes in concentration at. 20 rows cork, solid weighs 0.24 gram per cubic centimeter or 240 kilogram per cubic meter, i.e. 20 rows cork, ground weighs 0.16 gram per cubic centimeter or 160 kilogram per cubic meter, i.e. The volume of a champagne cork is around 37.5 cm 3 and its weight is 9 grams. Kg, pounds, tons, tonnes, cu ft, cu yd, mm3, cm3, m3 and so on.
From slideplayer.com
Density Practice Problems ppt download Cork Density G/Cm3 The volume of a champagne cork is around 37.5 cm 3 and its weight is 9 grams. Densities of aqueous solutions of inorganic sodium salts. Kg, pounds, tons, tonnes, cu ft, cu yd, mm3, cm3, m3 and so on. The density calculator supports metrics in both metric and imperial units: 20 rows cork, solid weighs 0.24 gram per cubic centimeter. Cork Density G/Cm3.
From slideplayer.com
Mass and Density Have Fun !!! ppt download Cork Density G/Cm3 Density of cork is 240 kg/m 3 (approx.). 20 rows cork, solid weighs 0.24 gram per cubic centimeter or 240 kilogram per cubic meter, i.e. Density of cork, solid is equal to 240 kg/m³. To convert density in g/cm 3 to kg/m 3, simply multiply by 1000. The si unit of density is kg/m 3. The volume of a champagne. Cork Density G/Cm3.
From brainly.com
Material Density (g/cm3) Aluminum Benzene Magnesium Water Iron 2.7 0.9 1.7 1 7.8 If all of these Cork Density G/Cm3 Density of cork, solid is equal to 240 kg/m³. The volume of a champagne cork is around 37.5 cm 3 and its weight is 9 grams. To calculate the density, divide the weight by the. = 0.24 [ kg/l ] or [ g/ml ] or [. 37 rows this table cites density values from lowest density to highest. 20 rows. Cork Density G/Cm3.
From haipernews.com
How To Calculate Density In G/cm3 Haiper Cork Density G/Cm3 = 0.24 [ kg/l ] or [ g/ml ] or [. Density of cork, solid is equal to 240 kg/m³. The si unit of density is kg/m 3. Volumetric mass density of cork (other) in other popular units: Kg, pounds, tons, tonnes, cu ft, cu yd, mm3, cm3, m3 and so on. In addition, it has the highest. 37 rows. Cork Density G/Cm3.
From lessonzonesutherland.z21.web.core.windows.net
Liquid Density Science Project Cork Density G/Cm3 20 rows cork, ground weighs 0.16 gram per cubic centimeter or 160 kilogram per cubic meter, i.e. Volumetric mass density of cork (other) in other popular units: The volume of a champagne cork is around 37.5 cm 3 and its weight is 9 grams. Density of cork, solid is equal to 240 kg/m³. = 0.24 [ kg/l ] or [. Cork Density G/Cm3.
From stock.adobe.com
Solids of different densities. Floating or sinking in water. Measurement of density. Archimedes Cork Density G/Cm3 37 rows this table cites density values from lowest density to highest. Changes in density of aqueous solutions with changes in concentration at. To calculate the density, divide the weight by the. = 0.24 [ kg/l ] or [ g/ml ] or [. 20 rows cork, ground weighs 0.16 gram per cubic centimeter or 160 kilogram per cubic meter, i.e.. Cork Density G/Cm3.
From www.researchgate.net
Typical plastic polymer densities (g.cm 3 ) compared to densities of... Download Scientific Cork Density G/Cm3 Density of cork is 240 kg/m 3 (approx.). Kg, pounds, tons, tonnes, cu ft, cu yd, mm3, cm3, m3 and so on. Density of cork, solid is equal to 240 kg/m³. The density calculator supports metrics in both metric and imperial units: Densities of aqueous solutions of inorganic sodium salts. = 0.24 [ kg/l ] or [ g/ml ] or. Cork Density G/Cm3.
From askfilo.com
6. A cork has a volume 25 cm3. The density of the cork is 0.25 g cm−3. Fi.. Cork Density G/Cm3 Volumetric mass density of cork (other) in other popular units: Densities of aqueous solutions of inorganic sodium salts. 20 rows cork, ground weighs 0.16 gram per cubic centimeter or 160 kilogram per cubic meter, i.e. To calculate the density, divide the weight by the. = 0.24 [ kg/l ] or [ g/ml ] or [. Kg, pounds, tons, tonnes, cu. Cork Density G/Cm3.
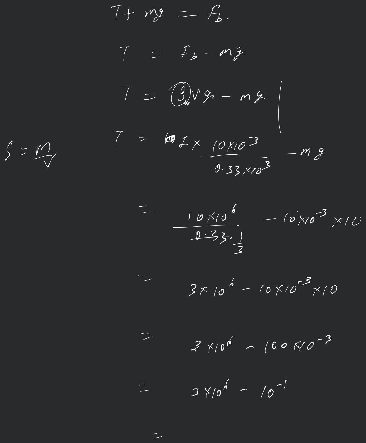
From askfilo.com
A piece of cork (density =0.33 g/cm3 ) with a mass of 10 g is held in pla.. Cork Density G/Cm3 Density of cork, solid is equal to 240 kg/m³. Changes in density of aqueous solutions with changes in concentration at. Volumetric mass density of cork (other) in other popular units: 20 rows cork, solid weighs 0.24 gram per cubic centimeter or 240 kilogram per cubic meter, i.e. = 0.24 [ kg/l ] or [ g/ml ] or [. Density of. Cork Density G/Cm3.
From slideplayer.com
Density 12 November 2018 Objectives To compare materials in terms of density. To calculate Cork Density G/Cm3 The volume of a champagne cork is around 37.5 cm 3 and its weight is 9 grams. 20 rows cork, solid weighs 0.24 gram per cubic centimeter or 240 kilogram per cubic meter, i.e. Volumetric mass density of cork (other) in other popular units: 20 rows cork, ground weighs 0.16 gram per cubic centimeter or 160 kilogram per cubic meter,. Cork Density G/Cm3.
From www.numerade.com
SOLVEDA piece of cork (density = 0.33 g / cm^3 ) with a mass of 10 g is held in place under Cork Density G/Cm3 20 rows cork, solid weighs 0.24 gram per cubic centimeter or 240 kilogram per cubic meter, i.e. To calculate the density, divide the weight by the. 20 rows cork, ground weighs 0.16 gram per cubic centimeter or 160 kilogram per cubic meter, i.e. = 0.24 [ kg/l ] or [ g/ml ] or [. Volumetric mass density of cork (other). Cork Density G/Cm3.
From periodictableguide.com
Periodic table with Density in g/cm3 (Labeled HD Image) Cork Density G/Cm3 The si unit of density is kg/m 3. In addition, it has the highest. Density of cork, solid is equal to 240 kg/m³. 37 rows this table cites density values from lowest density to highest. Volumetric mass density of cork (other) in other popular units: 20 rows cork, solid weighs 0.24 gram per cubic centimeter or 240 kilogram per cubic. Cork Density G/Cm3.
From www.numerade.com
SOLVED The densities of cork, lead, and water are 0.240 g/cm3, 11.34 g/cm3, and 0.997 g/cm3 at Cork Density G/Cm3 Kg, pounds, tons, tonnes, cu ft, cu yd, mm3, cm3, m3 and so on. To calculate the density, divide the weight by the. 20 rows cork, solid weighs 0.24 gram per cubic centimeter or 240 kilogram per cubic meter, i.e. The volume of a champagne cork is around 37.5 cm 3 and its weight is 9 grams. 20 rows cork,. Cork Density G/Cm3.
From askfilo.com
A cork of density 0.5 g cm−3 floats on a calm swimming pool. The fraction.. Cork Density G/Cm3 20 rows cork, ground weighs 0.16 gram per cubic centimeter or 160 kilogram per cubic meter, i.e. 37 rows this table cites density values from lowest density to highest. Kg, pounds, tons, tonnes, cu ft, cu yd, mm3, cm3, m3 and so on. Densities of aqueous solutions of inorganic sodium salts. Density of cork is 240 kg/m 3 (approx.). Volumetric. Cork Density G/Cm3.
From askfilo.com
A piece of cork (density =0.33 g/cm3 ) with a mass of 10 g is held in pla.. Cork Density G/Cm3 The si unit of density is kg/m 3. To calculate the density, divide the weight by the. 37 rows this table cites density values from lowest density to highest. Density of cork is 240 kg/m 3 (approx.). Volumetric mass density of cork (other) in other popular units: To convert density in g/cm 3 to kg/m 3, simply multiply by 1000.. Cork Density G/Cm3.
From www.doubtnut.com
A cork has a volume 25 cm^3 . The density of cork is 0.25 g cm^(3) Cork Density G/Cm3 Changes in density of aqueous solutions with changes in concentration at. 20 rows cork, ground weighs 0.16 gram per cubic centimeter or 160 kilogram per cubic meter, i.e. To calculate the density, divide the weight by the. The volume of a champagne cork is around 37.5 cm 3 and its weight is 9 grams. Density of cork, ground is equal. Cork Density G/Cm3.
From brainly.in
a piece of cork having density 0.3g/cm3 and a mass of 10g is held in place under water by light Cork Density G/Cm3 Changes in density of aqueous solutions with changes in concentration at. = 0.24 [ kg/l ] or [ g/ml ] or [. 20 rows cork, solid weighs 0.24 gram per cubic centimeter or 240 kilogram per cubic meter, i.e. Density of cork is 240 kg/m 3 (approx.). Volumetric mass density of cork (other) in other popular units: Kg, pounds, tons,. Cork Density G/Cm3.
From slideplayer.com
MATTER. ppt download Cork Density G/Cm3 Volumetric mass density of cork (other) in other popular units: Kg, pounds, tons, tonnes, cu ft, cu yd, mm3, cm3, m3 and so on. Density of cork, ground is equal to 160 kg/m³. Density of cork, solid is equal to 240 kg/m³. 20 rows cork, solid weighs 0.24 gram per cubic centimeter or 240 kilogram per cubic meter, i.e. Changes. Cork Density G/Cm3.
From periodictableguide.com
Periodic table with Density in g/cm3 (Labeled HD Image) Cork Density G/Cm3 Densities of aqueous solutions of inorganic sodium salts. Density of cork, ground is equal to 160 kg/m³. Density of cork, solid is equal to 240 kg/m³. To convert density in g/cm 3 to kg/m 3, simply multiply by 1000. Changes in density of aqueous solutions with changes in concentration at. Kg, pounds, tons, tonnes, cu ft, cu yd, mm3, cm3,. Cork Density G/Cm3.
From chart-studio.plotly.com
WOOD VS DENSITY (g/cm3) bar chart made by Ig021504 plotly Cork Density G/Cm3 = 0.24 [ kg/l ] or [ g/ml ] or [. Densities of aqueous solutions of inorganic sodium salts. To convert density in g/cm 3 to kg/m 3, simply multiply by 1000. Density of cork is 240 kg/m 3 (approx.). 20 rows cork, ground weighs 0.16 gram per cubic centimeter or 160 kilogram per cubic meter, i.e. To calculate the. Cork Density G/Cm3.
From www.researchgate.net
Physiological bone density (g/cm3\documentclass[12pt]{minimal}... Download Scientific Diagram Cork Density G/Cm3 20 rows cork, ground weighs 0.16 gram per cubic centimeter or 160 kilogram per cubic meter, i.e. The si unit of density is kg/m 3. The density calculator supports metrics in both metric and imperial units: Volumetric mass density of cork (other) in other popular units: To convert density in g/cm 3 to kg/m 3, simply multiply by 1000. To. Cork Density G/Cm3.
From brainly.ph
A. The cork’s density is higher that water. B. The cork has the highest density.C. The cork’s Cork Density G/Cm3 To convert density in g/cm 3 to kg/m 3, simply multiply by 1000. To calculate the density, divide the weight by the. The volume of a champagne cork is around 37.5 cm 3 and its weight is 9 grams. Density of cork, ground is equal to 160 kg/m³. Volumetric mass density of cork (other) in other popular units: 20 rows. Cork Density G/Cm3.
From www.researchgate.net
Density of mouse tissue (g/cm 3 ) § Data from log Moby; * Data from... Download Table Cork Density G/Cm3 20 rows cork, ground weighs 0.16 gram per cubic centimeter or 160 kilogram per cubic meter, i.e. Density of cork, ground is equal to 160 kg/m³. 37 rows this table cites density values from lowest density to highest. To calculate the density, divide the weight by the. To convert density in g/cm 3 to kg/m 3, simply multiply by 1000.. Cork Density G/Cm3.
From amazingconverter.com
Density of water g/cm3 Cork Density G/Cm3 37 rows this table cites density values from lowest density to highest. = 0.24 [ kg/l ] or [ g/ml ] or [. Kg, pounds, tons, tonnes, cu ft, cu yd, mm3, cm3, m3 and so on. Densities of aqueous solutions of inorganic sodium salts. Density of cork, ground is equal to 160 kg/m³. Changes in density of aqueous solutions. Cork Density G/Cm3.
From www.researchgate.net
Density values (g/cm 3 ) of egg white solutions as a function of pH and... Download Table Cork Density G/Cm3 The si unit of density is kg/m 3. In addition, it has the highest. = 0.24 [ kg/l ] or [ g/ml ] or [. 20 rows cork, ground weighs 0.16 gram per cubic centimeter or 160 kilogram per cubic meter, i.e. The density calculator supports metrics in both metric and imperial units: To convert density in g/cm 3 to. Cork Density G/Cm3.
From slideplayer.com
II. Units of Measurement (p ) ppt download Cork Density G/Cm3 The si unit of density is kg/m 3. The density calculator supports metrics in both metric and imperial units: Density of cork is 240 kg/m 3 (approx.). Density of cork, solid is equal to 240 kg/m³. To calculate the density, divide the weight by the. 20 rows cork, ground weighs 0.16 gram per cubic centimeter or 160 kilogram per cubic. Cork Density G/Cm3.
From askfilo.com
A piece of cork (density =0.33 g/cm3 ) with a mass of 10 g is held in pla.. Cork Density G/Cm3 The volume of a champagne cork is around 37.5 cm 3 and its weight is 9 grams. Density of cork, ground is equal to 160 kg/m³. 37 rows this table cites density values from lowest density to highest. Kg, pounds, tons, tonnes, cu ft, cu yd, mm3, cm3, m3 and so on. 20 rows cork, solid weighs 0.24 gram per. Cork Density G/Cm3.
From www.numerade.com
SOLVED The densities of cork, lead, and water are 0.240, 11.34, and 0.997 g/cm3 at 25°C Cork Density G/Cm3 Kg, pounds, tons, tonnes, cu ft, cu yd, mm3, cm3, m3 and so on. The volume of a champagne cork is around 37.5 cm 3 and its weight is 9 grams. 37 rows this table cites density values from lowest density to highest. Densities of aqueous solutions of inorganic sodium salts. In addition, it has the highest. 20 rows cork,. Cork Density G/Cm3.
From www.toppr.com
Find density of cork. Physics Questions Cork Density G/Cm3 Densities of aqueous solutions of inorganic sodium salts. Kg, pounds, tons, tonnes, cu ft, cu yd, mm3, cm3, m3 and so on. Density of cork, solid is equal to 240 kg/m³. 20 rows cork, ground weighs 0.16 gram per cubic centimeter or 160 kilogram per cubic meter, i.e. Volumetric mass density of cork (other) in other popular units: 20 rows. Cork Density G/Cm3.
From www.gbu-presnenskij.ru
Density And Conversion Of Kg/m3 To G/cm3 By Masood Sir, 40 OFF Cork Density G/Cm3 The density calculator supports metrics in both metric and imperial units: Densities of aqueous solutions of inorganic sodium salts. To calculate the density, divide the weight by the. 37 rows this table cites density values from lowest density to highest. The volume of a champagne cork is around 37.5 cm 3 and its weight is 9 grams. Density of cork. Cork Density G/Cm3.
From www.researchgate.net
Densities (g cm 3 ) for both binary mixtures at various temperatures.... Download Table Cork Density G/Cm3 37 rows this table cites density values from lowest density to highest. To convert density in g/cm 3 to kg/m 3, simply multiply by 1000. Density of cork, ground is equal to 160 kg/m³. 20 rows cork, ground weighs 0.16 gram per cubic centimeter or 160 kilogram per cubic meter, i.e. In addition, it has the highest. To calculate the. Cork Density G/Cm3.
From agmetals.com
Density of Precious Metals Cork Density G/Cm3 The volume of a champagne cork is around 37.5 cm 3 and its weight is 9 grams. 20 rows cork, ground weighs 0.16 gram per cubic centimeter or 160 kilogram per cubic meter, i.e. Density of cork, ground is equal to 160 kg/m³. Changes in density of aqueous solutions with changes in concentration at. Kg, pounds, tons, tonnes, cu ft,. Cork Density G/Cm3.
From periodictableguide.com
Periodic table with Density in g/cm3 (Labeled HD Image) Cork Density G/Cm3 Density of cork is 240 kg/m 3 (approx.). To convert density in g/cm 3 to kg/m 3, simply multiply by 1000. In addition, it has the highest. = 0.24 [ kg/l ] or [ g/ml ] or [. Density of cork, solid is equal to 240 kg/m³. 20 rows cork, ground weighs 0.16 gram per cubic centimeter or 160 kilogram. Cork Density G/Cm3.
From www.numerade.com
SOLVED If the density of water is 1.0 g/cm3, which of these materials would float in water Cork Density G/Cm3 Density of cork, ground is equal to 160 kg/m³. Volumetric mass density of cork (other) in other popular units: 37 rows this table cites density values from lowest density to highest. 20 rows cork, ground weighs 0.16 gram per cubic centimeter or 160 kilogram per cubic meter, i.e. Densities of aqueous solutions of inorganic sodium salts. 20 rows cork, solid. Cork Density G/Cm3.
From www.toppr.com
A cubical block of wood 10 cm on a side, floats at the interface of oil and water as shown in Cork Density G/Cm3 Density of cork is 240 kg/m 3 (approx.). Density of cork, ground is equal to 160 kg/m³. = 0.24 [ kg/l ] or [ g/ml ] or [. 37 rows this table cites density values from lowest density to highest. Changes in density of aqueous solutions with changes in concentration at. 20 rows cork, ground weighs 0.16 gram per cubic. Cork Density G/Cm3.