Sqrt X H K . In this section we turn our attention to the square root function, the function defined by the equation. If a given number is a perfect square, you will get a final answer in. The square root calculator finds the square root of the given radical expression. To solve a quadratic equation, use the quadratic formula: There can be 0, 1 or 2 solutions to a quadratic equation. Our square root calculator estimates the square root of any positive number you want. When written in vertex form :. We begin the section by drawing. The vertex form of a quadratic function is given by.
from makingmathvisual.blogspot.com
To solve a quadratic equation, use the quadratic formula: When written in vertex form :. In this section we turn our attention to the square root function, the function defined by the equation. We begin the section by drawing. There can be 0, 1 or 2 solutions to a quadratic equation. Our square root calculator estimates the square root of any positive number you want. The vertex form of a quadratic function is given by. If a given number is a perfect square, you will get a final answer in. The square root calculator finds the square root of the given radical expression.
Making Math Visual Desmos Activity Builder as a tool for instruction
Sqrt X H K When written in vertex form :. In this section we turn our attention to the square root function, the function defined by the equation. The vertex form of a quadratic function is given by. There can be 0, 1 or 2 solutions to a quadratic equation. When written in vertex form :. The square root calculator finds the square root of the given radical expression. To solve a quadratic equation, use the quadratic formula: Our square root calculator estimates the square root of any positive number you want. If a given number is a perfect square, you will get a final answer in. We begin the section by drawing.
From www.youtube.com
Derivative of x*sqrt(x) YouTube Sqrt X H K When written in vertex form :. The square root calculator finds the square root of the given radical expression. If a given number is a perfect square, you will get a final answer in. In this section we turn our attention to the square root function, the function defined by the equation. Our square root calculator estimates the square root. Sqrt X H K.
From taylor-mcmath.blogspot.com
Taylor's math blog Square Root Function Sqrt X H K The vertex form of a quadratic function is given by. We begin the section by drawing. In this section we turn our attention to the square root function, the function defined by the equation. To solve a quadratic equation, use the quadratic formula: When written in vertex form :. The square root calculator finds the square root of the given. Sqrt X H K.
From www.geogebra.org
square root function GeoGebra Sqrt X H K When written in vertex form :. In this section we turn our attention to the square root function, the function defined by the equation. The square root calculator finds the square root of the given radical expression. If a given number is a perfect square, you will get a final answer in. To solve a quadratic equation, use the quadratic. Sqrt X H K.
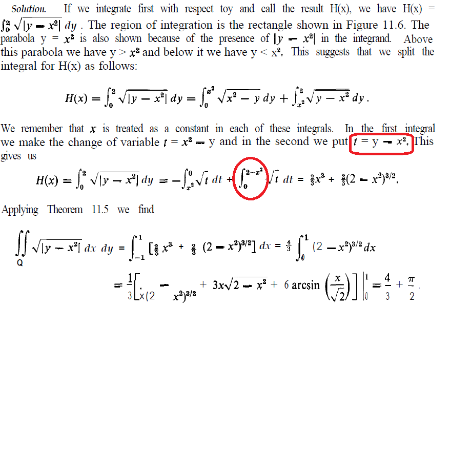
From math.stackexchange.com
calculus why H(x) = \int_{x^2}^{0} \sqrt tdt + \int_{0}^{ 2x^2 Sqrt X H K There can be 0, 1 or 2 solutions to a quadratic equation. To solve a quadratic equation, use the quadratic formula: The vertex form of a quadratic function is given by. Our square root calculator estimates the square root of any positive number you want. We begin the section by drawing. If a given number is a perfect square, you. Sqrt X H K.
From www.ck12.org
Rational Expressions in Equations and Problems CK12 Foundation Sqrt X H K We begin the section by drawing. In this section we turn our attention to the square root function, the function defined by the equation. To solve a quadratic equation, use the quadratic formula: There can be 0, 1 or 2 solutions to a quadratic equation. If a given number is a perfect square, you will get a final answer in.. Sqrt X H K.
From www.ck12.org
Graphs of Square Root Functions ( Read ) Algebra CK12 Foundation Sqrt X H K In this section we turn our attention to the square root function, the function defined by the equation. The square root calculator finds the square root of the given radical expression. If a given number is a perfect square, you will get a final answer in. To solve a quadratic equation, use the quadratic formula: We begin the section by. Sqrt X H K.
From quizlet.com
Graph the function. h(x)=\sqrt{4 x}" Quizlet Sqrt X H K To solve a quadratic equation, use the quadratic formula: The square root calculator finds the square root of the given radical expression. In this section we turn our attention to the square root function, the function defined by the equation. We begin the section by drawing. If a given number is a perfect square, you will get a final answer. Sqrt X H K.
From quizlet.com
Let h(x)=\sqrt{1x^2}, x \geq 0, show that h^{1}(x)=h(x) Quizlet Sqrt X H K The vertex form of a quadratic function is given by. To solve a quadratic equation, use the quadratic formula: There can be 0, 1 or 2 solutions to a quadratic equation. When written in vertex form :. The square root calculator finds the square root of the given radical expression. In this section we turn our attention to the square. Sqrt X H K.
From www.gauthmath.com
Solved 1 pts Question 4 Given the function f(x)=sqrt(xh)+k with a Sqrt X H K There can be 0, 1 or 2 solutions to a quadratic equation. To solve a quadratic equation, use the quadratic formula: In this section we turn our attention to the square root function, the function defined by the equation. If a given number is a perfect square, you will get a final answer in. Our square root calculator estimates the. Sqrt X H K.
From www.teachoo.com
Square root Definition with Examples Teachoo Square root Sqrt X H K In this section we turn our attention to the square root function, the function defined by the equation. The vertex form of a quadratic function is given by. There can be 0, 1 or 2 solutions to a quadratic equation. To solve a quadratic equation, use the quadratic formula: If a given number is a perfect square, you will get. Sqrt X H K.
From quizlet.com
Answer the following. Write a function with a graph that tra Quizlet Sqrt X H K In this section we turn our attention to the square root function, the function defined by the equation. If a given number is a perfect square, you will get a final answer in. The square root calculator finds the square root of the given radical expression. Our square root calculator estimates the square root of any positive number you want.. Sqrt X H K.
From www.youtube.com
sin57^()cos3^()=(sqrt(x)+sqrt(y)+1)/(z), and (x+y+z)=k^(2),k in R Sqrt X H K There can be 0, 1 or 2 solutions to a quadratic equation. Our square root calculator estimates the square root of any positive number you want. When written in vertex form :. To solve a quadratic equation, use the quadratic formula: We begin the section by drawing. The vertex form of a quadratic function is given by. If a given. Sqrt X H K.
From brainly.com
the function h(x) is a transformation of the square root parent Sqrt X H K To solve a quadratic equation, use the quadratic formula: If a given number is a perfect square, you will get a final answer in. Our square root calculator estimates the square root of any positive number you want. In this section we turn our attention to the square root function, the function defined by the equation. The vertex form of. Sqrt X H K.
From www.gauthmath.com
Solved Below is the graph of y=sqrt(x). Transform it to make it the Sqrt X H K To solve a quadratic equation, use the quadratic formula: The square root calculator finds the square root of the given radical expression. We begin the section by drawing. Our square root calculator estimates the square root of any positive number you want. The vertex form of a quadratic function is given by. In this section we turn our attention to. Sqrt X H K.
From www.youtube.com
Derivative of Square Root of x YouTube Sqrt X H K To solve a quadratic equation, use the quadratic formula: Our square root calculator estimates the square root of any positive number you want. The square root calculator finds the square root of the given radical expression. If a given number is a perfect square, you will get a final answer in. There can be 0, 1 or 2 solutions to. Sqrt X H K.
From makingmathvisual.blogspot.com
Making Math Visual Desmos Activity Builder as a tool for instruction Sqrt X H K When written in vertex form :. The vertex form of a quadratic function is given by. There can be 0, 1 or 2 solutions to a quadratic equation. In this section we turn our attention to the square root function, the function defined by the equation. If a given number is a perfect square, you will get a final answer. Sqrt X H K.
From www.youtube.com
Differentiate the function y= e^(k tan sqrt(x)). Natural exponential Sqrt X H K We begin the section by drawing. In this section we turn our attention to the square root function, the function defined by the equation. The square root calculator finds the square root of the given radical expression. There can be 0, 1 or 2 solutions to a quadratic equation. When written in vertex form :. To solve a quadratic equation,. Sqrt X H K.
From www.expii.com
Horizontal Translation of Square Root Graphs Expii Sqrt X H K Our square root calculator estimates the square root of any positive number you want. When written in vertex form :. The square root calculator finds the square root of the given radical expression. If a given number is a perfect square, you will get a final answer in. To solve a quadratic equation, use the quadratic formula: In this section. Sqrt X H K.
From www.gauthmath.com
Solved Question The graph of a particular function is given. Use the Sqrt X H K If a given number is a perfect square, you will get a final answer in. When written in vertex form :. The vertex form of a quadratic function is given by. The square root calculator finds the square root of the given radical expression. We begin the section by drawing. Our square root calculator estimates the square root of any. Sqrt X H K.
From www.numerade.com
SOLVED Recall how values of a, h, and k can affect the graph of a Sqrt X H K Our square root calculator estimates the square root of any positive number you want. There can be 0, 1 or 2 solutions to a quadratic equation. In this section we turn our attention to the square root function, the function defined by the equation. We begin the section by drawing. The square root calculator finds the square root of the. Sqrt X H K.
From evulpo.com
Função raiz quadrada Monotonia e gráfico Matemática A Explicação e Sqrt X H K Our square root calculator estimates the square root of any positive number you want. The square root calculator finds the square root of the given radical expression. When written in vertex form :. If a given number is a perfect square, you will get a final answer in. The vertex form of a quadratic function is given by. To solve. Sqrt X H K.
From www.doubtnut.com
Evaluate the following limits Lim(h to 0 ) ([sqrt(x+h)sqrt(x)])/h Sqrt X H K To solve a quadratic equation, use the quadratic formula: The square root calculator finds the square root of the given radical expression. We begin the section by drawing. When written in vertex form :. In this section we turn our attention to the square root function, the function defined by the equation. If a given number is a perfect square,. Sqrt X H K.
From quizlet.com
Graph y=1 /(2 \sqrt{x}) in a window that has 0 \leq x \le Quizlet Sqrt X H K Our square root calculator estimates the square root of any positive number you want. If a given number is a perfect square, you will get a final answer in. There can be 0, 1 or 2 solutions to a quadratic equation. When written in vertex form :. The square root calculator finds the square root of the given radical expression.. Sqrt X H K.
From quizizz.com
Writing Quadratic Equations problems & answers for quizzes and Sqrt X H K The square root calculator finds the square root of the given radical expression. In this section we turn our attention to the square root function, the function defined by the equation. When written in vertex form :. If a given number is a perfect square, you will get a final answer in. The vertex form of a quadratic function is. Sqrt X H K.
From quizlet.com
Graph each square root function. y=\sqrt{x2} Quizlet Sqrt X H K The square root calculator finds the square root of the given radical expression. The vertex form of a quadratic function is given by. If a given number is a perfect square, you will get a final answer in. When written in vertex form :. Our square root calculator estimates the square root of any positive number you want. There can. Sqrt X H K.
From www.youtube.com
Equation Challenge (sqrt(x))^x = x^(sqrt(x)) algebra equation Sqrt X H K Our square root calculator estimates the square root of any positive number you want. In this section we turn our attention to the square root function, the function defined by the equation. To solve a quadratic equation, use the quadratic formula: We begin the section by drawing. The square root calculator finds the square root of the given radical expression.. Sqrt X H K.
From www.youtube.com
Graphing Square Root Functions What do a, h, and k do? Apple Sqrt X H K To solve a quadratic equation, use the quadratic formula: Our square root calculator estimates the square root of any positive number you want. In this section we turn our attention to the square root function, the function defined by the equation. If a given number is a perfect square, you will get a final answer in. The vertex form of. Sqrt X H K.
From www.youtube.com
Integration of Square Root of a^2x^2 Integral of Square Root of Sqrt X H K There can be 0, 1 or 2 solutions to a quadratic equation. The vertex form of a quadratic function is given by. When written in vertex form :. In this section we turn our attention to the square root function, the function defined by the equation. We begin the section by drawing. To solve a quadratic equation, use the quadratic. Sqrt X H K.
From www.youtube.com
Algebra 1 Unit 9 Lesson 3 Graphing Square Root Equations YouTube Sqrt X H K In this section we turn our attention to the square root function, the function defined by the equation. To solve a quadratic equation, use the quadratic formula: If a given number is a perfect square, you will get a final answer in. Our square root calculator estimates the square root of any positive number you want. The square root calculator. Sqrt X H K.
From www.pinterest.com
square root and cube root functions practice mathbitsnotebook(a1 Sqrt X H K The square root calculator finds the square root of the given radical expression. When written in vertex form :. Our square root calculator estimates the square root of any positive number you want. We begin the section by drawing. In this section we turn our attention to the square root function, the function defined by the equation. To solve a. Sqrt X H K.
From www.expii.com
Square Root Function Graph Examples & Practice Expii Sqrt X H K In this section we turn our attention to the square root function, the function defined by the equation. Our square root calculator estimates the square root of any positive number you want. To solve a quadratic equation, use the quadratic formula: There can be 0, 1 or 2 solutions to a quadratic equation. The square root calculator finds the square. Sqrt X H K.
From www.numerade.com
SOLVED Graphs of Radical Functions Tutorial The standard form of a Sqrt X H K There can be 0, 1 or 2 solutions to a quadratic equation. The square root calculator finds the square root of the given radical expression. Our square root calculator estimates the square root of any positive number you want. We begin the section by drawing. If a given number is a perfect square, you will get a final answer in.. Sqrt X H K.
From socratic.org
How do you graph y=sqrt(x+1) and compare it to the parent graph? Socratic Sqrt X H K There can be 0, 1 or 2 solutions to a quadratic equation. To solve a quadratic equation, use the quadratic formula: In this section we turn our attention to the square root function, the function defined by the equation. When written in vertex form :. Our square root calculator estimates the square root of any positive number you want. If. Sqrt X H K.
From evulpo.com
Função raiz quadrada Monotonia e gráfico Matemática A Explicação e Sqrt X H K When written in vertex form :. The square root calculator finds the square root of the given radical expression. If a given number is a perfect square, you will get a final answer in. The vertex form of a quadratic function is given by. Our square root calculator estimates the square root of any positive number you want. In this. Sqrt X H K.
From quizlet.com
Graph the function. h(x)=\sqrt{4 x} Quizlet Sqrt X H K To solve a quadratic equation, use the quadratic formula: In this section we turn our attention to the square root function, the function defined by the equation. There can be 0, 1 or 2 solutions to a quadratic equation. We begin the section by drawing. The square root calculator finds the square root of the given radical expression. If a. Sqrt X H K.