Materials Engineering Quiz . Explore quizzes and practice tests. Study with quizlet and memorize flashcards containing terms like what does a materials engineer do?, what does materials engineers. Materials science, also known as materials engineering, is an interdisciplinary field that explores the structure, properties, performance, and applications. These 40 mcqs cover a broad range of topics in engineering materials, including material properties, types, treatments, and. Approved & edited by proprofs editorial team | by benjie_torrente. Quiz yourself with questions and answers for engineering materials quiz, so you can be ready for test day.
from www.facebook.com
Explore quizzes and practice tests. Approved & edited by proprofs editorial team | by benjie_torrente. Quiz yourself with questions and answers for engineering materials quiz, so you can be ready for test day. Study with quizlet and memorize flashcards containing terms like what does a materials engineer do?, what does materials engineers. These 40 mcqs cover a broad range of topics in engineering materials, including material properties, types, treatments, and. Materials science, also known as materials engineering, is an interdisciplinary field that explores the structure, properties, performance, and applications.
Materials Engineer Quiz App
Materials Engineering Quiz Study with quizlet and memorize flashcards containing terms like what does a materials engineer do?, what does materials engineers. Approved & edited by proprofs editorial team | by benjie_torrente. Study with quizlet and memorize flashcards containing terms like what does a materials engineer do?, what does materials engineers. Quiz yourself with questions and answers for engineering materials quiz, so you can be ready for test day. Explore quizzes and practice tests. These 40 mcqs cover a broad range of topics in engineering materials, including material properties, types, treatments, and. Materials science, also known as materials engineering, is an interdisciplinary field that explores the structure, properties, performance, and applications.
From studylib.net
Fundamentals of Engineering Exam Sample Questions Materials Engineering Quiz Materials science, also known as materials engineering, is an interdisciplinary field that explores the structure, properties, performance, and applications. These 40 mcqs cover a broad range of topics in engineering materials, including material properties, types, treatments, and. Explore quizzes and practice tests. Quiz yourself with questions and answers for engineering materials quiz, so you can be ready for test day.. Materials Engineering Quiz.
From www.youtube.com
Civil Engineering Quiz For Basic Knowledge Civil Engineering MCQ'S Materials Engineering Quiz Quiz yourself with questions and answers for engineering materials quiz, so you can be ready for test day. Approved & edited by proprofs editorial team | by benjie_torrente. Study with quizlet and memorize flashcards containing terms like what does a materials engineer do?, what does materials engineers. Explore quizzes and practice tests. These 40 mcqs cover a broad range of. Materials Engineering Quiz.
From www.youtube.com
COURSERA QUIZ ANSWERS NEW Material Science 10 Things Every Engineer Materials Engineering Quiz Materials science, also known as materials engineering, is an interdisciplinary field that explores the structure, properties, performance, and applications. Study with quizlet and memorize flashcards containing terms like what does a materials engineer do?, what does materials engineers. Explore quizzes and practice tests. These 40 mcqs cover a broad range of topics in engineering materials, including material properties, types, treatments,. Materials Engineering Quiz.
From www.owlguru.com
What Do Materials Engineers Do (including Their Typical Day At Work) Materials Engineering Quiz Materials science, also known as materials engineering, is an interdisciplinary field that explores the structure, properties, performance, and applications. Explore quizzes and practice tests. These 40 mcqs cover a broad range of topics in engineering materials, including material properties, types, treatments, and. Quiz yourself with questions and answers for engineering materials quiz, so you can be ready for test day.. Materials Engineering Quiz.
From www.pinterest.com
FLY ASH CONSTITUENTS OF FLY ASH USES OF FLY ASH CONSTRUCTION Materials Engineering Quiz Study with quizlet and memorize flashcards containing terms like what does a materials engineer do?, what does materials engineers. Approved & edited by proprofs editorial team | by benjie_torrente. Quiz yourself with questions and answers for engineering materials quiz, so you can be ready for test day. These 40 mcqs cover a broad range of topics in engineering materials, including. Materials Engineering Quiz.
From www.studocu.com
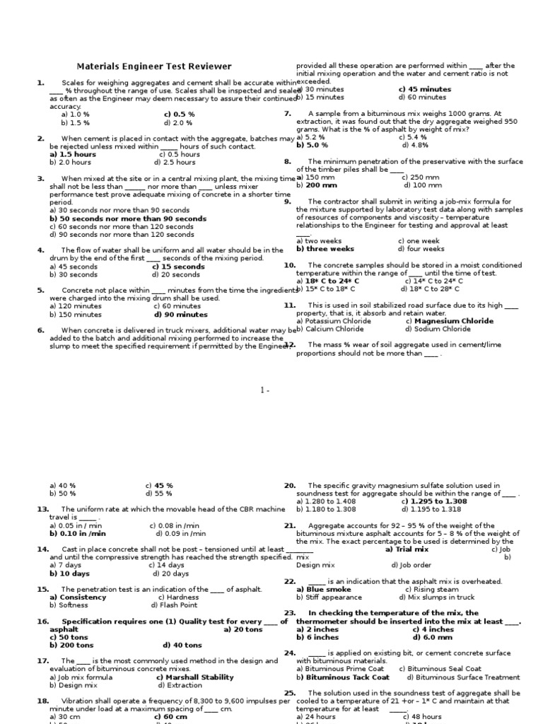
87652673 48627117 Materials Engineer Test Reviewer 1 Scribd Upload a Materials Engineering Quiz These 40 mcqs cover a broad range of topics in engineering materials, including material properties, types, treatments, and. Materials science, also known as materials engineering, is an interdisciplinary field that explores the structure, properties, performance, and applications. Approved & edited by proprofs editorial team | by benjie_torrente. Quiz yourself with questions and answers for engineering materials quiz, so you can. Materials Engineering Quiz.
From www.youtube.com
Basic Engineering Properties Of Materials Basic Concept Materials Materials Engineering Quiz Study with quizlet and memorize flashcards containing terms like what does a materials engineer do?, what does materials engineers. Explore quizzes and practice tests. Approved & edited by proprofs editorial team | by benjie_torrente. These 40 mcqs cover a broad range of topics in engineering materials, including material properties, types, treatments, and. Quiz yourself with questions and answers for engineering. Materials Engineering Quiz.
From apkpure.com
Material Engineering Quiz APK for Android Download Materials Engineering Quiz These 40 mcqs cover a broad range of topics in engineering materials, including material properties, types, treatments, and. Quiz yourself with questions and answers for engineering materials quiz, so you can be ready for test day. Materials science, also known as materials engineering, is an interdisciplinary field that explores the structure, properties, performance, and applications. Study with quizlet and memorize. Materials Engineering Quiz.
From www.gkseries.com
Engineering Materials Multiple Choice Questions(MCQs) & Answers Materials Engineering Quiz Study with quizlet and memorize flashcards containing terms like what does a materials engineer do?, what does materials engineers. Approved & edited by proprofs editorial team | by benjie_torrente. These 40 mcqs cover a broad range of topics in engineering materials, including material properties, types, treatments, and. Materials science, also known as materials engineering, is an interdisciplinary field that explores. Materials Engineering Quiz.
From cset.mnsu.edu
Structural Testing Lab Structural & Manufacturing Labs Facilities Materials Engineering Quiz Study with quizlet and memorize flashcards containing terms like what does a materials engineer do?, what does materials engineers. Approved & edited by proprofs editorial team | by benjie_torrente. Explore quizzes and practice tests. Quiz yourself with questions and answers for engineering materials quiz, so you can be ready for test day. Materials science, also known as materials engineering, is. Materials Engineering Quiz.
From www.scribd.com
Dpwh Material Engineering Engineer Test (Assessment) Materials Engineering Quiz These 40 mcqs cover a broad range of topics in engineering materials, including material properties, types, treatments, and. Approved & edited by proprofs editorial team | by benjie_torrente. Study with quizlet and memorize flashcards containing terms like what does a materials engineer do?, what does materials engineers. Materials science, also known as materials engineering, is an interdisciplinary field that explores. Materials Engineering Quiz.
From laney-lee.com
Engineering Quiz Laney Lee Materials Engineering Quiz Materials science, also known as materials engineering, is an interdisciplinary field that explores the structure, properties, performance, and applications. Study with quizlet and memorize flashcards containing terms like what does a materials engineer do?, what does materials engineers. Approved & edited by proprofs editorial team | by benjie_torrente. Quiz yourself with questions and answers for engineering materials quiz, so you. Materials Engineering Quiz.
From study.com
Quiz & Worksheet Engineering Design Materials Engineering Quiz Approved & edited by proprofs editorial team | by benjie_torrente. Explore quizzes and practice tests. These 40 mcqs cover a broad range of topics in engineering materials, including material properties, types, treatments, and. Materials science, also known as materials engineering, is an interdisciplinary field that explores the structure, properties, performance, and applications. Study with quizlet and memorize flashcards containing terms. Materials Engineering Quiz.
From pdfcoffee.com
Materials Engineer Test Reviewer Materials Engineering Quiz Explore quizzes and practice tests. Study with quizlet and memorize flashcards containing terms like what does a materials engineer do?, what does materials engineers. Approved & edited by proprofs editorial team | by benjie_torrente. These 40 mcqs cover a broad range of topics in engineering materials, including material properties, types, treatments, and. Quiz yourself with questions and answers for engineering. Materials Engineering Quiz.
From www.scribd.com
36655099MaterialsEngineerTestReviewer1.doc Asphalt Road Surface Materials Engineering Quiz Explore quizzes and practice tests. Study with quizlet and memorize flashcards containing terms like what does a materials engineer do?, what does materials engineers. Approved & edited by proprofs editorial team | by benjie_torrente. Quiz yourself with questions and answers for engineering materials quiz, so you can be ready for test day. Materials science, also known as materials engineering, is. Materials Engineering Quiz.
From splessons.com
Engineering Materials Practice Quiz Materials Engineering Quiz Explore quizzes and practice tests. Quiz yourself with questions and answers for engineering materials quiz, so you can be ready for test day. Approved & edited by proprofs editorial team | by benjie_torrente. Materials science, also known as materials engineering, is an interdisciplinary field that explores the structure, properties, performance, and applications. These 40 mcqs cover a broad range of. Materials Engineering Quiz.
From www.scribd.com
Materials Engineer REVIEWER 2 Engineer Test (Assessment) Materials Engineering Quiz These 40 mcqs cover a broad range of topics in engineering materials, including material properties, types, treatments, and. Quiz yourself with questions and answers for engineering materials quiz, so you can be ready for test day. Study with quizlet and memorize flashcards containing terms like what does a materials engineer do?, what does materials engineers. Materials science, also known as. Materials Engineering Quiz.
From studylib.net
Engineering Design Quiz Answers Materials Engineering Quiz These 40 mcqs cover a broad range of topics in engineering materials, including material properties, types, treatments, and. Explore quizzes and practice tests. Quiz yourself with questions and answers for engineering materials quiz, so you can be ready for test day. Approved & edited by proprofs editorial team | by benjie_torrente. Materials science, also known as materials engineering, is an. Materials Engineering Quiz.
From www.scribd.com
Materials Engineer Test Reviewer 1 Asphalt Concrete Materials Engineering Quiz These 40 mcqs cover a broad range of topics in engineering materials, including material properties, types, treatments, and. Materials science, also known as materials engineering, is an interdisciplinary field that explores the structure, properties, performance, and applications. Quiz yourself with questions and answers for engineering materials quiz, so you can be ready for test day. Approved & edited by proprofs. Materials Engineering Quiz.
From www.facebook.com
Materials Engineer Quiz App Materials Engineering Quiz Approved & edited by proprofs editorial team | by benjie_torrente. Quiz yourself with questions and answers for engineering materials quiz, so you can be ready for test day. Materials science, also known as materials engineering, is an interdisciplinary field that explores the structure, properties, performance, and applications. Explore quizzes and practice tests. These 40 mcqs cover a broad range of. Materials Engineering Quiz.
From www.facebook.com
Materials Engineer Quiz App Materials Engineering Quiz These 40 mcqs cover a broad range of topics in engineering materials, including material properties, types, treatments, and. Approved & edited by proprofs editorial team | by benjie_torrente. Materials science, also known as materials engineering, is an interdisciplinary field that explores the structure, properties, performance, and applications. Explore quizzes and practice tests. Study with quizlet and memorize flashcards containing terms. Materials Engineering Quiz.
From www.youtube.com
Hardness Of Materials Hardness Testing Methods Basic Concepts Materials Engineering Quiz Quiz yourself with questions and answers for engineering materials quiz, so you can be ready for test day. Approved & edited by proprofs editorial team | by benjie_torrente. Explore quizzes and practice tests. Materials science, also known as materials engineering, is an interdisciplinary field that explores the structure, properties, performance, and applications. Study with quizlet and memorize flashcards containing terms. Materials Engineering Quiz.
From www.youtube.com
Geotechnical and Construction lab Laboratory equipments for civil Materials Engineering Quiz Approved & edited by proprofs editorial team | by benjie_torrente. Materials science, also known as materials engineering, is an interdisciplinary field that explores the structure, properties, performance, and applications. These 40 mcqs cover a broad range of topics in engineering materials, including material properties, types, treatments, and. Study with quizlet and memorize flashcards containing terms like what does a materials. Materials Engineering Quiz.
From www.surajmech.com
Mechanical Engineer Quiz 1 Materials Engineering Quiz Materials science, also known as materials engineering, is an interdisciplinary field that explores the structure, properties, performance, and applications. Study with quizlet and memorize flashcards containing terms like what does a materials engineer do?, what does materials engineers. Explore quizzes and practice tests. Quiz yourself with questions and answers for engineering materials quiz, so you can be ready for test. Materials Engineering Quiz.
From www.scribd.com
Materials Engineer Test Reviewer Asphalt Concrete Materials Engineering Quiz These 40 mcqs cover a broad range of topics in engineering materials, including material properties, types, treatments, and. Explore quizzes and practice tests. Approved & edited by proprofs editorial team | by benjie_torrente. Study with quizlet and memorize flashcards containing terms like what does a materials engineer do?, what does materials engineers. Materials science, also known as materials engineering, is. Materials Engineering Quiz.
From www.pinterest.com
Quiz What kind of engineer should you be? Engineering, Quiz, After Materials Engineering Quiz These 40 mcqs cover a broad range of topics in engineering materials, including material properties, types, treatments, and. Study with quizlet and memorize flashcards containing terms like what does a materials engineer do?, what does materials engineers. Approved & edited by proprofs editorial team | by benjie_torrente. Materials science, also known as materials engineering, is an interdisciplinary field that explores. Materials Engineering Quiz.
From www.studocu.com
Building Materials and Construction Civil Engineering Questions and Materials Engineering Quiz These 40 mcqs cover a broad range of topics in engineering materials, including material properties, types, treatments, and. Materials science, also known as materials engineering, is an interdisciplinary field that explores the structure, properties, performance, and applications. Approved & edited by proprofs editorial team | by benjie_torrente. Quiz yourself with questions and answers for engineering materials quiz, so you can. Materials Engineering Quiz.
From www.facebook.com
Materials Engineer Quiz App Materials Engineering Quiz Quiz yourself with questions and answers for engineering materials quiz, so you can be ready for test day. Approved & edited by proprofs editorial team | by benjie_torrente. Study with quizlet and memorize flashcards containing terms like what does a materials engineer do?, what does materials engineers. Explore quizzes and practice tests. These 40 mcqs cover a broad range of. Materials Engineering Quiz.
From www.studypool.com
SOLUTION 106523419 material engineer test reviewer 2 Studypool Materials Engineering Quiz Quiz yourself with questions and answers for engineering materials quiz, so you can be ready for test day. Study with quizlet and memorize flashcards containing terms like what does a materials engineer do?, what does materials engineers. These 40 mcqs cover a broad range of topics in engineering materials, including material properties, types, treatments, and. Approved & edited by proprofs. Materials Engineering Quiz.
From www.vidyarthiplus.in
Electrical Engineering Lab Questions Vidyarthiplus (V+) Blog A Blog Materials Engineering Quiz Explore quizzes and practice tests. Approved & edited by proprofs editorial team | by benjie_torrente. Quiz yourself with questions and answers for engineering materials quiz, so you can be ready for test day. These 40 mcqs cover a broad range of topics in engineering materials, including material properties, types, treatments, and. Study with quizlet and memorize flashcards containing terms like. Materials Engineering Quiz.
From www.constructionsciences.net
Construction Materials Testing Construction Sciences NATA Materials Engineering Quiz Study with quizlet and memorize flashcards containing terms like what does a materials engineer do?, what does materials engineers. These 40 mcqs cover a broad range of topics in engineering materials, including material properties, types, treatments, and. Materials science, also known as materials engineering, is an interdisciplinary field that explores the structure, properties, performance, and applications. Quiz yourself with questions. Materials Engineering Quiz.
From eduadvisor.my
Should You Study Engineering? Personality Quiz Materials Engineering Quiz These 40 mcqs cover a broad range of topics in engineering materials, including material properties, types, treatments, and. Explore quizzes and practice tests. Study with quizlet and memorize flashcards containing terms like what does a materials engineer do?, what does materials engineers. Quiz yourself with questions and answers for engineering materials quiz, so you can be ready for test day.. Materials Engineering Quiz.
From www.scribd.com
36655099 Materials Engineer Test Reviewer 1 Asphalt Concrete Materials Engineering Quiz These 40 mcqs cover a broad range of topics in engineering materials, including material properties, types, treatments, and. Explore quizzes and practice tests. Study with quizlet and memorize flashcards containing terms like what does a materials engineer do?, what does materials engineers. Approved & edited by proprofs editorial team | by benjie_torrente. Materials science, also known as materials engineering, is. Materials Engineering Quiz.
From www.pinterest.com
Which Engineer Are You? (Find out your love for Engineering Materials Engineering Quiz Study with quizlet and memorize flashcards containing terms like what does a materials engineer do?, what does materials engineers. Materials science, also known as materials engineering, is an interdisciplinary field that explores the structure, properties, performance, and applications. These 40 mcqs cover a broad range of topics in engineering materials, including material properties, types, treatments, and. Quiz yourself with questions. Materials Engineering Quiz.
From qz.app.do
Building Engineering Quiz Materials Engineering Quiz Approved & edited by proprofs editorial team | by benjie_torrente. Quiz yourself with questions and answers for engineering materials quiz, so you can be ready for test day. These 40 mcqs cover a broad range of topics in engineering materials, including material properties, types, treatments, and. Study with quizlet and memorize flashcards containing terms like what does a materials engineer. Materials Engineering Quiz.