Fluid Mechanics Worksheet . A large rectangular raft (density 650 kg/m3) is floating on a lake. Experiment with a leaky water tower to see how the height. Discover a vast collection of free printable science fluids worksheets, perfect for science teachers and students alike. Outcome 1 static fluid systems. Reshape a pipe to see how it changes fluid flow speed. Fluid mechanics questions for your custom printable tests and worksheets. Explore various topics related to fluid mechanics and enhance. Show complete solutions to the following problems and box final answers with units. Fluid mechanics worksheet 2 1. The surface area of the top of the raft is. Explore pressure in the atmosphere and underwater. Practice problems worksheet answer key. Practice problems for understanding pressure and fluids in physics. (av = δv/ t) (memorize volumes of cylinders, spheres, and rectangular solids) 1.
        
         
         
        from www.studypool.com 
     
        
        Explore pressure in the atmosphere and underwater. Outcome 1 static fluid systems. The surface area of the top of the raft is. (av = δv/ t) (memorize volumes of cylinders, spheres, and rectangular solids) 1. Experiment with a leaky water tower to see how the height. Show complete solutions to the following problems and box final answers with units. Practice problems worksheet answer key. Practice problems for understanding pressure and fluids in physics. Discover a vast collection of free printable science fluids worksheets, perfect for science teachers and students alike. Reshape a pipe to see how it changes fluid flow speed.
    
    	
            
	
		 
	 
         
    SOLUTION Physics fluid mechanics worksheet Studypool 
    Fluid Mechanics Worksheet  Practice problems for understanding pressure and fluids in physics. The surface area of the top of the raft is. Reshape a pipe to see how it changes fluid flow speed. Discover a vast collection of free printable science fluids worksheets, perfect for science teachers and students alike. Experiment with a leaky water tower to see how the height. Fluid mechanics questions for your custom printable tests and worksheets. A large rectangular raft (density 650 kg/m3) is floating on a lake. Practice problems for understanding pressure and fluids in physics. Practice problems worksheet answer key. Show complete solutions to the following problems and box final answers with units. (av = δv/ t) (memorize volumes of cylinders, spheres, and rectangular solids) 1. Fluid mechanics worksheet 2 1. Explore pressure in the atmosphere and underwater. Explore various topics related to fluid mechanics and enhance. Outcome 1 static fluid systems.
            
	
		 
	 
         
 
    
         
        From www.scribd.com 
                    Worksheet 1 PDF Fluid Dynamics Fluid Mechanics Fluid Mechanics Worksheet  The surface area of the top of the raft is. Show complete solutions to the following problems and box final answers with units. Outcome 1 static fluid systems. Fluid mechanics worksheet 2 1. (av = δv/ t) (memorize volumes of cylinders, spheres, and rectangular solids) 1. Experiment with a leaky water tower to see how the height. Explore various topics. Fluid Mechanics Worksheet.
     
    
         
        From www.studocu.com 
                    Worksheet 1 MECH103P Fluids 2018 Worksheet 1 Introduction to fluid Fluid Mechanics Worksheet  The surface area of the top of the raft is. Fluid mechanics worksheet 2 1. Explore various topics related to fluid mechanics and enhance. Outcome 1 static fluid systems. Practice problems worksheet answer key. Practice problems for understanding pressure and fluids in physics. Discover a vast collection of free printable science fluids worksheets, perfect for science teachers and students alike.. Fluid Mechanics Worksheet.
     
    
         
        From www.studypool.com 
                    SOLUTION Fluid mechanics worksheet Studypool Fluid Mechanics Worksheet  Reshape a pipe to see how it changes fluid flow speed. Experiment with a leaky water tower to see how the height. Fluid mechanics worksheet 2 1. A large rectangular raft (density 650 kg/m3) is floating on a lake. The surface area of the top of the raft is. Show complete solutions to the following problems and box final answers. Fluid Mechanics Worksheet.
     
    
         
        From www.studocu.com 
                    Worksheet 3 Fluid Statics PART 2 Solutions ( 2017 Aug 8) MEC2404 Fluid Mechanics Worksheet  Practice problems worksheet answer key. Reshape a pipe to see how it changes fluid flow speed. A large rectangular raft (density 650 kg/m3) is floating on a lake. (av = δv/ t) (memorize volumes of cylinders, spheres, and rectangular solids) 1. Outcome 1 static fluid systems. Fluid mechanics worksheet 2 1. The surface area of the top of the raft. Fluid Mechanics Worksheet.
     
    
         
        From www.studocu.com 
                    Fluid mechanics practice worksheet B Will one atmosphere pressure be Fluid Mechanics Worksheet  Fluid mechanics questions for your custom printable tests and worksheets. Show complete solutions to the following problems and box final answers with units. Fluid mechanics worksheet 2 1. Experiment with a leaky water tower to see how the height. (av = δv/ t) (memorize volumes of cylinders, spheres, and rectangular solids) 1. A large rectangular raft (density 650 kg/m3) is. Fluid Mechanics Worksheet.
     
    
         
        From www.studypool.com 
                    SOLUTION Fluid mechanics worksheet questions Studypool Fluid Mechanics Worksheet  The surface area of the top of the raft is. Fluid mechanics questions for your custom printable tests and worksheets. Show complete solutions to the following problems and box final answers with units. Explore pressure in the atmosphere and underwater. Outcome 1 static fluid systems. Practice problems worksheet answer key. A large rectangular raft (density 650 kg/m3) is floating on. Fluid Mechanics Worksheet.
     
    
         
        From www.scribd.com 
                    Worksheet 2 Fluid Dynamics Physics & Mathematics Fluid Mechanics Worksheet  Experiment with a leaky water tower to see how the height. Reshape a pipe to see how it changes fluid flow speed. Discover a vast collection of free printable science fluids worksheets, perfect for science teachers and students alike. (av = δv/ t) (memorize volumes of cylinders, spheres, and rectangular solids) 1. A large rectangular raft (density 650 kg/m3) is. Fluid Mechanics Worksheet.
     
    
         
        From www.studocu.com 
                    Fluid Dynamics worksheet 4 Fluid Dynamics 3 Sheet 4 2020/ (i) What Fluid Mechanics Worksheet  Outcome 1 static fluid systems. Practice problems worksheet answer key. Discover a vast collection of free printable science fluids worksheets, perfect for science teachers and students alike. The surface area of the top of the raft is. Fluid mechanics worksheet 2 1. A large rectangular raft (density 650 kg/m3) is floating on a lake. Show complete solutions to the following. Fluid Mechanics Worksheet.
     
    
         
        From www.studypool.com 
                    SOLUTION Dpp no 21Fluid mechanics worksheet Studypool Fluid Mechanics Worksheet  Practice problems for understanding pressure and fluids in physics. Practice problems worksheet answer key. Discover a vast collection of free printable science fluids worksheets, perfect for science teachers and students alike. Show complete solutions to the following problems and box final answers with units. A large rectangular raft (density 650 kg/m3) is floating on a lake. Explore pressure in the. Fluid Mechanics Worksheet.
     
    
         
        From www.studocu.com 
                    Fluid Dynamics worksheet Solutions 4 Fluid Dynamics 3 Solutions 4 Fluid Mechanics Worksheet  Practice problems for understanding pressure and fluids in physics. A large rectangular raft (density 650 kg/m3) is floating on a lake. Show complete solutions to the following problems and box final answers with units. Explore pressure in the atmosphere and underwater. Fluid mechanics worksheet 2 1. (av = δv/ t) (memorize volumes of cylinders, spheres, and rectangular solids) 1. Fluid. Fluid Mechanics Worksheet.
     
    
         
        From www.studocu.com 
                    Fluid Dynamics worksheet Solutions 3 Fluid Dynamics 3 Solutions 3 Fluid Mechanics Worksheet  Practice problems worksheet answer key. Practice problems for understanding pressure and fluids in physics. Fluid mechanics worksheet 2 1. The surface area of the top of the raft is. Outcome 1 static fluid systems. (av = δv/ t) (memorize volumes of cylinders, spheres, and rectangular solids) 1. Show complete solutions to the following problems and box final answers with units.. Fluid Mechanics Worksheet.
     
    
         
        From www.studocu.com 
                    Axial.word problems selfmade worksheet for fluid mechanics 1 Axial Fluid Mechanics Worksheet  The surface area of the top of the raft is. Show complete solutions to the following problems and box final answers with units. Experiment with a leaky water tower to see how the height. A large rectangular raft (density 650 kg/m3) is floating on a lake. (av = δv/ t) (memorize volumes of cylinders, spheres, and rectangular solids) 1. Practice. Fluid Mechanics Worksheet.
     
    
         
        From www.studypool.com 
                    SOLUTION Fluid mechanics worksheet Studypool Fluid Mechanics Worksheet  A large rectangular raft (density 650 kg/m3) is floating on a lake. The surface area of the top of the raft is. Show complete solutions to the following problems and box final answers with units. Practice problems worksheet answer key. Explore pressure in the atmosphere and underwater. (av = δv/ t) (memorize volumes of cylinders, spheres, and rectangular solids) 1.. Fluid Mechanics Worksheet.
     
    
         
        From www.studocu.com 
                    Fluid Dynamics worksheet Solutions 2 Fluid Dynamics 3 Solutions 2 Fluid Mechanics Worksheet  Fluid mechanics worksheet 2 1. Outcome 1 static fluid systems. Show complete solutions to the following problems and box final answers with units. (av = δv/ t) (memorize volumes of cylinders, spheres, and rectangular solids) 1. A large rectangular raft (density 650 kg/m3) is floating on a lake. Explore various topics related to fluid mechanics and enhance. Experiment with a. Fluid Mechanics Worksheet.
     
    
         
        From www.studypool.com 
                    SOLUTION Physics fluid mechanics worksheet Studypool Fluid Mechanics Worksheet  Practice problems for understanding pressure and fluids in physics. (av = δv/ t) (memorize volumes of cylinders, spheres, and rectangular solids) 1. Explore pressure in the atmosphere and underwater. A large rectangular raft (density 650 kg/m3) is floating on a lake. Reshape a pipe to see how it changes fluid flow speed. The surface area of the top of the. Fluid Mechanics Worksheet.
     
    
         
        From www.studocu.com 
                    Normal Shock Waves selfmade worksheet for fluid mechanics 1 Normal Fluid Mechanics Worksheet  Explore various topics related to fluid mechanics and enhance. Show complete solutions to the following problems and box final answers with units. The surface area of the top of the raft is. A large rectangular raft (density 650 kg/m3) is floating on a lake. Discover a vast collection of free printable science fluids worksheets, perfect for science teachers and students. Fluid Mechanics Worksheet.
     
    
         
        From www.studypool.com 
                    SOLUTION Dpp no 21Fluid mechanics worksheet Studypool Fluid Mechanics Worksheet  Discover a vast collection of free printable science fluids worksheets, perfect for science teachers and students alike. Explore pressure in the atmosphere and underwater. A large rectangular raft (density 650 kg/m3) is floating on a lake. Practice problems for understanding pressure and fluids in physics. Fluid mechanics worksheet 2 1. Fluid mechanics questions for your custom printable tests and worksheets.. Fluid Mechanics Worksheet.
     
    
         
        From www.scribd.com 
                    Fluid Mechanics Worksheet 5 PDF Flow Measurement Pressure Measurement Fluid Mechanics Worksheet  Reshape a pipe to see how it changes fluid flow speed. Explore various topics related to fluid mechanics and enhance. A large rectangular raft (density 650 kg/m3) is floating on a lake. Fluid mechanics questions for your custom printable tests and worksheets. Practice problems worksheet answer key. Practice problems for understanding pressure and fluids in physics. Outcome 1 static fluid. Fluid Mechanics Worksheet.
     
    
         
        From studylib.net 
                    fluidmechanicspracticeproblem Fluid Mechanics Worksheet  Reshape a pipe to see how it changes fluid flow speed. Practice problems for understanding pressure and fluids in physics. Explore pressure in the atmosphere and underwater. (av = δv/ t) (memorize volumes of cylinders, spheres, and rectangular solids) 1. Fluid mechanics worksheet 2 1. Show complete solutions to the following problems and box final answers with units. Practice problems. Fluid Mechanics Worksheet.
     
    
         
        From www.studypool.com 
                    SOLUTION Fluid Mechanics worksheet problems Studypool Fluid Mechanics Worksheet  Discover a vast collection of free printable science fluids worksheets, perfect for science teachers and students alike. Fluid mechanics questions for your custom printable tests and worksheets. A large rectangular raft (density 650 kg/m3) is floating on a lake. Practice problems worksheet answer key. Explore various topics related to fluid mechanics and enhance. Outcome 1 static fluid systems. Explore pressure. Fluid Mechanics Worksheet.
     
    
         
        From www.studocu.com 
                    Fluid Dynamics worksheet Solutions 7 Fluid Dynamics 3 Solutions 7 Fluid Mechanics Worksheet  Practice problems worksheet answer key. Fluid mechanics worksheet 2 1. Reshape a pipe to see how it changes fluid flow speed. Explore pressure in the atmosphere and underwater. Discover a vast collection of free printable science fluids worksheets, perfect for science teachers and students alike. Outcome 1 static fluid systems. Practice problems for understanding pressure and fluids in physics. Fluid. Fluid Mechanics Worksheet.
     
    
         
        From www.studypool.com 
                    SOLUTION Fluid mechanics worksheet questions Studypool Fluid Mechanics Worksheet  Fluid mechanics questions for your custom printable tests and worksheets. Experiment with a leaky water tower to see how the height. Reshape a pipe to see how it changes fluid flow speed. Show complete solutions to the following problems and box final answers with units. (av = δv/ t) (memorize volumes of cylinders, spheres, and rectangular solids) 1. The surface. Fluid Mechanics Worksheet.
     
    
         
        From www.studocu.com 
                    PHY1012Fwps1019 Worksheet on Fluids DEPARTMENT OF PHYSICS Fluid Mechanics Worksheet  Reshape a pipe to see how it changes fluid flow speed. Outcome 1 static fluid systems. Practice problems for understanding pressure and fluids in physics. Experiment with a leaky water tower to see how the height. Fluid mechanics worksheet 2 1. Explore pressure in the atmosphere and underwater. A large rectangular raft (density 650 kg/m3) is floating on a lake.. Fluid Mechanics Worksheet.
     
    
         
        From www.studocu.com 
                    Fluid Dynamics worksheet 1 Fluid Dynamics 3 Sheet 1 2020/ Consider Fluid Mechanics Worksheet  Discover a vast collection of free printable science fluids worksheets, perfect for science teachers and students alike. Practice problems worksheet answer key. Experiment with a leaky water tower to see how the height. Show complete solutions to the following problems and box final answers with units. The surface area of the top of the raft is. Practice problems for understanding. Fluid Mechanics Worksheet.
     
    
         
        From www.studocu.com 
                    Fluid Dynamics worksheet 2 Fluid Dynamics 3 Sheet 2 2020/ (i) Find Fluid Mechanics Worksheet  A large rectangular raft (density 650 kg/m3) is floating on a lake. Explore various topics related to fluid mechanics and enhance. Explore pressure in the atmosphere and underwater. (av = δv/ t) (memorize volumes of cylinders, spheres, and rectangular solids) 1. Practice problems for understanding pressure and fluids in physics. Reshape a pipe to see how it changes fluid flow. Fluid Mechanics Worksheet.
     
    
         
        From www.studocu.com 
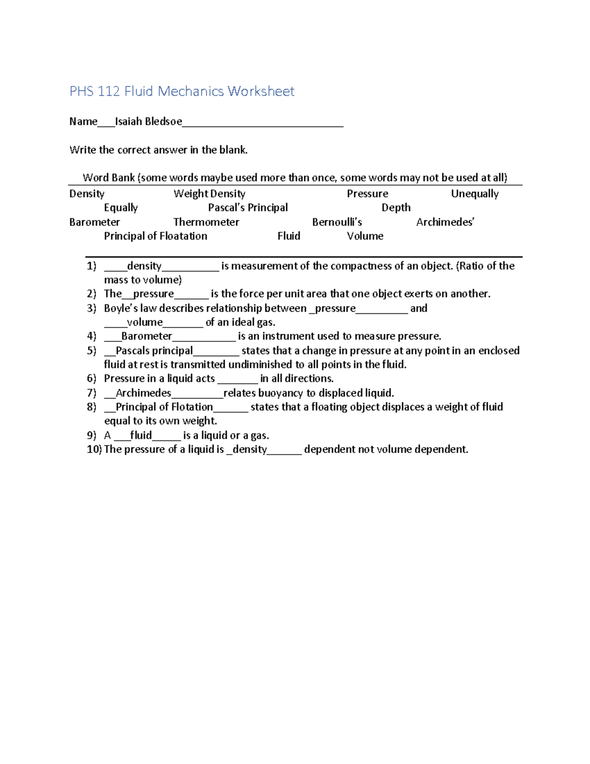
                    PHS 112 Fluid Mechanics Worksheet PHS 112 Fluid Mechanics Worksheet Fluid Mechanics Worksheet  Fluid mechanics questions for your custom printable tests and worksheets. Discover a vast collection of free printable science fluids worksheets, perfect for science teachers and students alike. Practice problems for understanding pressure and fluids in physics. Show complete solutions to the following problems and box final answers with units. Experiment with a leaky water tower to see how the height.. Fluid Mechanics Worksheet.
     
    
         
        From www.studocu.com 
                    Fluid Dynamics worksheet 6 Fluid Dynamics 3 Sheet 6 2020/ ASSESSED Fluid Mechanics Worksheet  Practice problems worksheet answer key. Outcome 1 static fluid systems. Explore pressure in the atmosphere and underwater. Discover a vast collection of free printable science fluids worksheets, perfect for science teachers and students alike. Experiment with a leaky water tower to see how the height. The surface area of the top of the raft is. Reshape a pipe to see. Fluid Mechanics Worksheet.
     
    
         
        From dokumen.tips 
                    (PDF) PHYSICS FLUID MECHANICS (STATICS) Worksheet 1sgabriel/physics Fluid Mechanics Worksheet  Show complete solutions to the following problems and box final answers with units. Practice problems worksheet answer key. Fluid mechanics questions for your custom printable tests and worksheets. Experiment with a leaky water tower to see how the height. Fluid mechanics worksheet 2 1. Explore various topics related to fluid mechanics and enhance. Discover a vast collection of free printable. Fluid Mechanics Worksheet.
     
    
         
        From www.scribd.com 
                    Fluid Mechanics Worksheet PDF Fluid Mechanics Worksheet  A large rectangular raft (density 650 kg/m3) is floating on a lake. Fluid mechanics questions for your custom printable tests and worksheets. Reshape a pipe to see how it changes fluid flow speed. Experiment with a leaky water tower to see how the height. Practice problems worksheet answer key. Explore various topics related to fluid mechanics and enhance. Practice problems. Fluid Mechanics Worksheet.
     
    
         
        From www.studypool.com 
                    SOLUTION Chapter 10 Mechanical Properties of Fluids Worksheet Studypool Fluid Mechanics Worksheet  Experiment with a leaky water tower to see how the height. The surface area of the top of the raft is. Fluid mechanics questions for your custom printable tests and worksheets. Show complete solutions to the following problems and box final answers with units. Fluid mechanics worksheet 2 1. Practice problems for understanding pressure and fluids in physics. Explore pressure. Fluid Mechanics Worksheet.
     
    
         
        From www.scribd.com 
                    Fluid Mechanics Worksheet 2 PDF Nozzle Mach Number Fluid Mechanics Worksheet  Experiment with a leaky water tower to see how the height. Practice problems for understanding pressure and fluids in physics. A large rectangular raft (density 650 kg/m3) is floating on a lake. Discover a vast collection of free printable science fluids worksheets, perfect for science teachers and students alike. Reshape a pipe to see how it changes fluid flow speed.. Fluid Mechanics Worksheet.
     
    
         
        From www.scribd.com 
                    Fluid Mechanics Practice Questions With Solution Flow Measurement Fluid Mechanics Worksheet  Experiment with a leaky water tower to see how the height. Outcome 1 static fluid systems. Practice problems for understanding pressure and fluids in physics. Reshape a pipe to see how it changes fluid flow speed. Fluid mechanics worksheet 2 1. Explore pressure in the atmosphere and underwater. Discover a vast collection of free printable science fluids worksheets, perfect for. Fluid Mechanics Worksheet.
     
    
         
        From www.studypool.com 
                    SOLUTION Fluid Mechanics worksheet problems Studypool Fluid Mechanics Worksheet  Explore pressure in the atmosphere and underwater. Outcome 1 static fluid systems. Fluid mechanics worksheet 2 1. Discover a vast collection of free printable science fluids worksheets, perfect for science teachers and students alike. A large rectangular raft (density 650 kg/m3) is floating on a lake. Practice problems worksheet answer key. The surface area of the top of the raft. Fluid Mechanics Worksheet.
     
    
         
        From www.studypool.com 
                    SOLUTION Dpp no 21Fluid mechanics worksheet Studypool Fluid Mechanics Worksheet  Outcome 1 static fluid systems. (av = δv/ t) (memorize volumes of cylinders, spheres, and rectangular solids) 1. Fluid mechanics worksheet 2 1. Fluid mechanics questions for your custom printable tests and worksheets. A large rectangular raft (density 650 kg/m3) is floating on a lake. Practice problems worksheet answer key. The surface area of the top of the raft is.. Fluid Mechanics Worksheet.
     
    
         
        From www.scribd.com 
                    Honors Fluid Dynamics Worksheet PDF Buoyancy Pressure Fluid Mechanics Worksheet  Show complete solutions to the following problems and box final answers with units. The surface area of the top of the raft is. Practice problems for understanding pressure and fluids in physics. Practice problems worksheet answer key. Reshape a pipe to see how it changes fluid flow speed. A large rectangular raft (density 650 kg/m3) is floating on a lake.. Fluid Mechanics Worksheet.