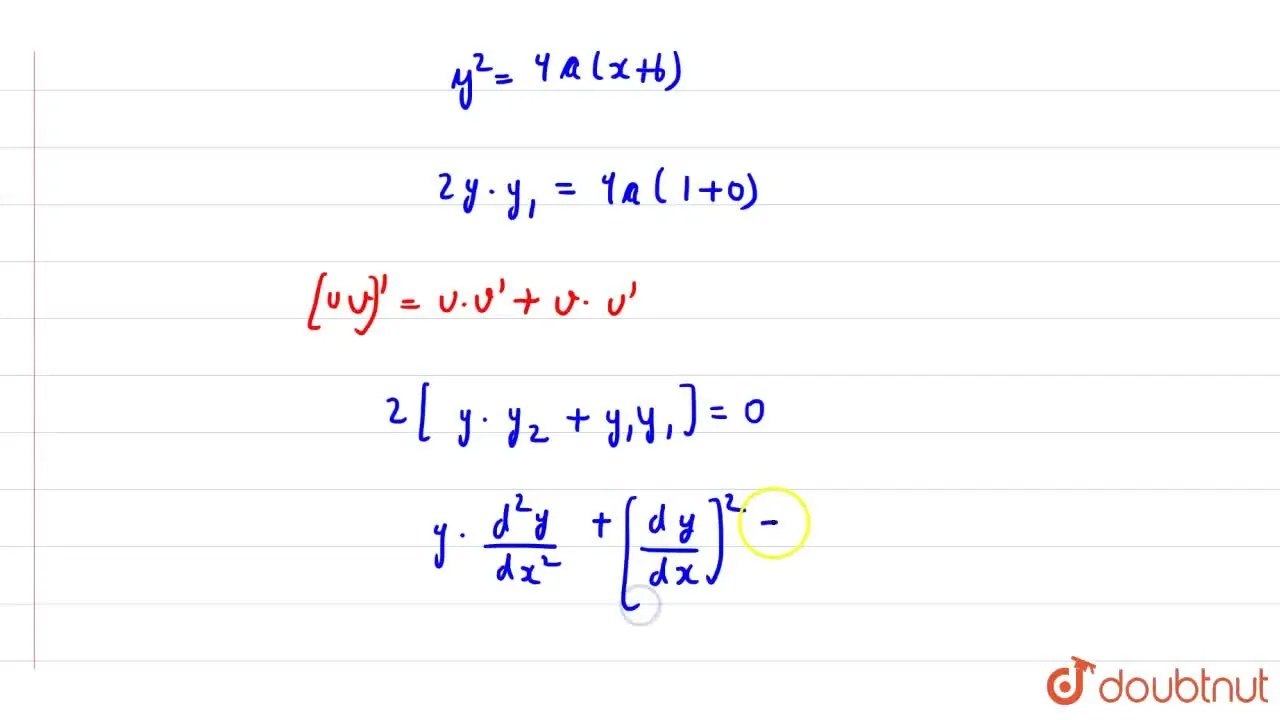
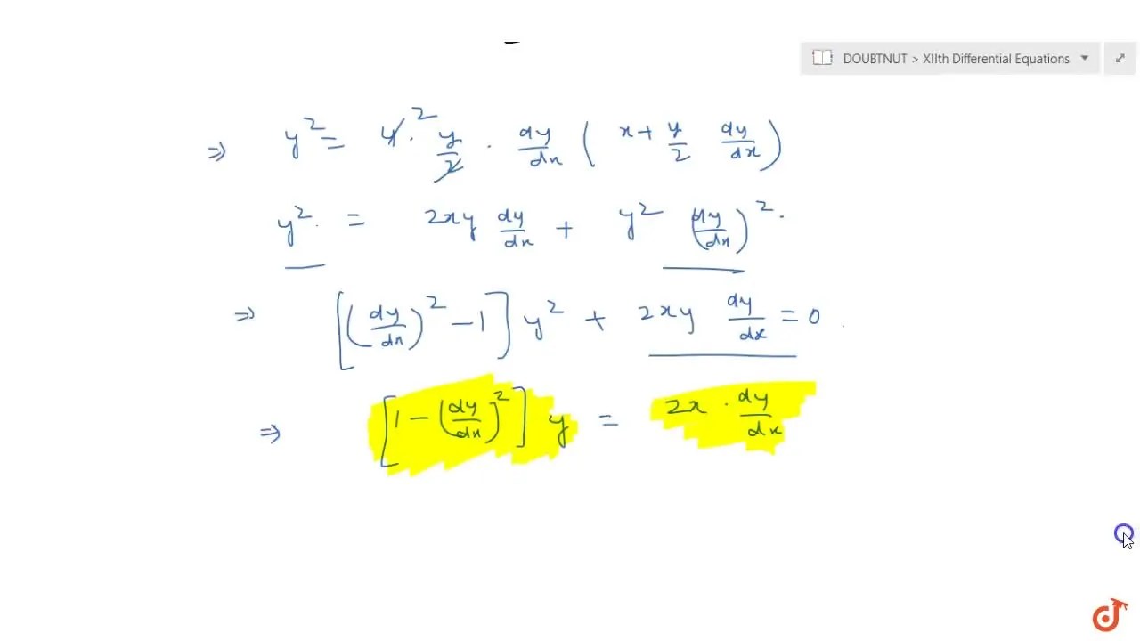
Pedal Equation Of Y^2=4A(X+A) . The equation of the tangent to given ellipse at the point (x, y), x2 a2 + y2 b2 = 1 , (1) is xx a2 + yx b2 = 1. The given equation of family of. Differentiate with respect to x. Merocourse guides on calculus each and every portion Answered sep 27, 2019 by rk roy (63.8k points) selected sep 27, 2019 by kumarmanish. Y 2 = 4ax + 4a 2. Y {1 − (d y d x) 2} = 2 x d y d x. Verify that y 2 = 4a (x + a) is a solution of the differential equations. In this post, we have discussed the pedal equation and solved a pedal equation of an ellipse step by step. We have, y 2 = 4 a (x + a). Given curve is $$y^2 = 4a(x+a)$$ $$y = \sqrt {4a(x+a)}$$. So, required differential equation is Find the pedal equation of the curve $y^2 = 4a(x+a)$ my attempt:
from www.yawin.in
Given curve is $$y^2 = 4a(x+a)$$ $$y = \sqrt {4a(x+a)}$$. The given equation of family of. Y {1 − (d y d x) 2} = 2 x d y d x. The equation of the tangent to given ellipse at the point (x, y), x2 a2 + y2 b2 = 1 , (1) is xx a2 + yx b2 = 1. Find the pedal equation of the curve $y^2 = 4a(x+a)$ my attempt: Differentiate with respect to x. We have, y 2 = 4 a (x + a). So, required differential equation is In this post, we have discussed the pedal equation and solved a pedal equation of an ellipse step by step. Y 2 = 4ax + 4a 2.
Find the Radius of curvature for the curve y^2= (4a^2 (2ax))/x where
Pedal Equation Of Y^2=4A(X+A) Y 2 = 4ax + 4a 2. In this post, we have discussed the pedal equation and solved a pedal equation of an ellipse step by step. The equation of the tangent to given ellipse at the point (x, y), x2 a2 + y2 b2 = 1 , (1) is xx a2 + yx b2 = 1. So, required differential equation is Y {1 − (d y d x) 2} = 2 x d y d x. Given curve is $$y^2 = 4a(x+a)$$ $$y = \sqrt {4a(x+a)}$$. Verify that y 2 = 4a (x + a) is a solution of the differential equations. The given equation of family of. Answered sep 27, 2019 by rk roy (63.8k points) selected sep 27, 2019 by kumarmanish. We have, y 2 = 4 a (x + a). Y 2 = 4ax + 4a 2. Differentiate with respect to x. Merocourse guides on calculus each and every portion Find the pedal equation of the curve $y^2 = 4a(x+a)$ my attempt:
From www.doubtnut.com
A normal drawn to the parabola y^2=4a x meets the curve again at Q suc Pedal Equation Of Y^2=4A(X+A) Verify that y 2 = 4a (x + a) is a solution of the differential equations. So, required differential equation is Find the pedal equation of the curve $y^2 = 4a(x+a)$ my attempt: Answered sep 27, 2019 by rk roy (63.8k points) selected sep 27, 2019 by kumarmanish. Differentiate with respect to x. The equation of the tangent to given. Pedal Equation Of Y^2=4A(X+A).
From www.youtube.com
B.Sc Calculus (Plane curves, lecture 46)Pedal equation of parabola y Pedal Equation Of Y^2=4A(X+A) The given equation of family of. Answered sep 27, 2019 by rk roy (63.8k points) selected sep 27, 2019 by kumarmanish. The equation of the tangent to given ellipse at the point (x, y), x2 a2 + y2 b2 = 1 , (1) is xx a2 + yx b2 = 1. Given curve is $$y^2 = 4a(x+a)$$ $$y = \sqrt. Pedal Equation Of Y^2=4A(X+A).
From brainly.in
Show that the pedal equation of the curve l/r = 1 + e cos theta is 1/p Pedal Equation Of Y^2=4A(X+A) Answered sep 27, 2019 by rk roy (63.8k points) selected sep 27, 2019 by kumarmanish. Merocourse guides on calculus each and every portion The equation of the tangent to given ellipse at the point (x, y), x2 a2 + y2 b2 = 1 , (1) is xx a2 + yx b2 = 1. Verify that y 2 = 4a (x. Pedal Equation Of Y^2=4A(X+A).
From www.doubtnut.com
The parabolas C(1) y^(2) = 4a (x a) and C(2) y^(2) = 4a(x k) Pedal Equation Of Y^2=4A(X+A) Given curve is $$y^2 = 4a(x+a)$$ $$y = \sqrt {4a(x+a)}$$. So, required differential equation is The given equation of family of. Y 2 = 4ax + 4a 2. In this post, we have discussed the pedal equation and solved a pedal equation of an ellipse step by step. Answered sep 27, 2019 by rk roy (63.8k points) selected sep 27,. Pedal Equation Of Y^2=4A(X+A).
From www.doubtnut.com
Form the differential equation for the family of curves y^2= 4a (x+b) Pedal Equation Of Y^2=4A(X+A) Answered sep 27, 2019 by rk roy (63.8k points) selected sep 27, 2019 by kumarmanish. The given equation of family of. So, required differential equation is In this post, we have discussed the pedal equation and solved a pedal equation of an ellipse step by step. Given curve is $$y^2 = 4a(x+a)$$ $$y = \sqrt {4a(x+a)}$$. The equation of the. Pedal Equation Of Y^2=4A(X+A).
From www.doubtnut.com
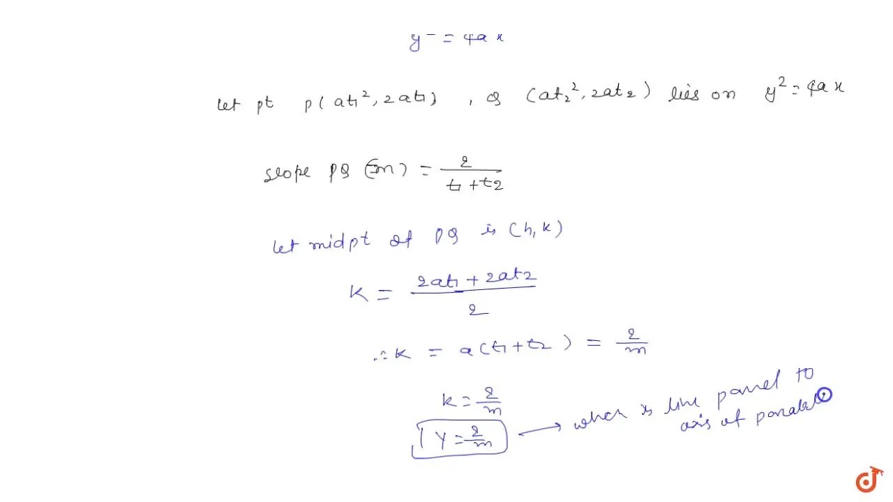
A set of parallel chords of the parabola y^2=4a x have their midpoint Pedal Equation Of Y^2=4A(X+A) Given curve is $$y^2 = 4a(x+a)$$ $$y = \sqrt {4a(x+a)}$$. Merocourse guides on calculus each and every portion The given equation of family of. The equation of the tangent to given ellipse at the point (x, y), x2 a2 + y2 b2 = 1 , (1) is xx a2 + yx b2 = 1. Answered sep 27, 2019 by rk. Pedal Equation Of Y^2=4A(X+A).
From www.toppr.com
Two straight lines are perpendicular to each other. If one of them Pedal Equation Of Y^2=4A(X+A) Merocourse guides on calculus each and every portion In this post, we have discussed the pedal equation and solved a pedal equation of an ellipse step by step. Differentiate with respect to x. Y 2 = 4ax + 4a 2. We have, y 2 = 4 a (x + a). Answered sep 27, 2019 by rk roy (63.8k points) selected. Pedal Equation Of Y^2=4A(X+A).
From www.teachoo.com
Question 3 Find area enclosed between parabola y2 = 4ax and y=mx Pedal Equation Of Y^2=4A(X+A) Answered sep 27, 2019 by rk roy (63.8k points) selected sep 27, 2019 by kumarmanish. Differentiate with respect to x. The given equation of family of. Verify that y 2 = 4a (x + a) is a solution of the differential equations. So, required differential equation is In this post, we have discussed the pedal equation and solved a pedal. Pedal Equation Of Y^2=4A(X+A).
From www.doubtnut.com
The area bounded by the curves y^(2)=4a(x+a) and y^(2)=4b(bx), where Pedal Equation Of Y^2=4A(X+A) Verify that y 2 = 4a (x + a) is a solution of the differential equations. Differentiate with respect to x. Given curve is $$y^2 = 4a(x+a)$$ $$y = \sqrt {4a(x+a)}$$. The equation of the tangent to given ellipse at the point (x, y), x2 a2 + y2 b2 = 1 , (1) is xx a2 + yx b2 =. Pedal Equation Of Y^2=4A(X+A).
From www.youtube.com
The differential equation satisfied by the system of parabolas y^2=4a(x Pedal Equation Of Y^2=4A(X+A) The given equation of family of. Answered sep 27, 2019 by rk roy (63.8k points) selected sep 27, 2019 by kumarmanish. Differentiate with respect to x. We have, y 2 = 4 a (x + a). The equation of the tangent to given ellipse at the point (x, y), x2 a2 + y2 b2 = 1 , (1) is xx. Pedal Equation Of Y^2=4A(X+A).
From www.doubtnut.com
Find the equation of the tangent and normal to the parabola y^2=4a x Pedal Equation Of Y^2=4A(X+A) Verify that y 2 = 4a (x + a) is a solution of the differential equations. So, required differential equation is Y 2 = 4ax + 4a 2. In this post, we have discussed the pedal equation and solved a pedal equation of an ellipse step by step. The equation of the tangent to given ellipse at the point (x,. Pedal Equation Of Y^2=4A(X+A).
From enginediagramlast.z21.web.core.windows.net
What's Pedal Position Equation Pedal Equation Of Y^2=4A(X+A) Verify that y 2 = 4a (x + a) is a solution of the differential equations. In this post, we have discussed the pedal equation and solved a pedal equation of an ellipse step by step. So, required differential equation is Find the pedal equation of the curve $y^2 = 4a(x+a)$ my attempt: Differentiate with respect to x. Given curve. Pedal Equation Of Y^2=4A(X+A).
From www.doubtnut.com
Find the orthogonal trajectory of y^2=4a x (a being the parameter). Pedal Equation Of Y^2=4A(X+A) The equation of the tangent to given ellipse at the point (x, y), x2 a2 + y2 b2 = 1 , (1) is xx a2 + yx b2 = 1. Merocourse guides on calculus each and every portion So, required differential equation is Y {1 − (d y d x) 2} = 2 x d y d x. In this. Pedal Equation Of Y^2=4A(X+A).
From scoop.eduncle.com
The system of confocal and coaxial parabolas y2 = 4a(x + a) is (a) (c Pedal Equation Of Y^2=4A(X+A) Y 2 = 4ax + 4a 2. Answered sep 27, 2019 by rk roy (63.8k points) selected sep 27, 2019 by kumarmanish. Y {1 − (d y d x) 2} = 2 x d y d x. Differentiate with respect to x. Merocourse guides on calculus each and every portion So, required differential equation is Find the pedal equation of. Pedal Equation Of Y^2=4A(X+A).
From www.doubtnut.com
If the length of a focal chord of the parabola y^2=4a x at a distance Pedal Equation Of Y^2=4A(X+A) Find the pedal equation of the curve $y^2 = 4a(x+a)$ my attempt: We have, y 2 = 4 a (x + a). Merocourse guides on calculus each and every portion Given curve is $$y^2 = 4a(x+a)$$ $$y = \sqrt {4a(x+a)}$$. Verify that y 2 = 4a (x + a) is a solution of the differential equations. Y 2 = 4ax. Pedal Equation Of Y^2=4A(X+A).
From enginediagramlast.z21.web.core.windows.net
What's Pedal Position Equation Pedal Equation Of Y^2=4A(X+A) Y 2 = 4ax + 4a 2. We have, y 2 = 4 a (x + a). Differentiate with respect to x. Given curve is $$y^2 = 4a(x+a)$$ $$y = \sqrt {4a(x+a)}$$. In this post, we have discussed the pedal equation and solved a pedal equation of an ellipse step by step. Find the pedal equation of the curve $y^2. Pedal Equation Of Y^2=4A(X+A).
From www.youtube.com
The area bounded by the curves `y^(2)=4a(x+a)` and `y^(2)=4b(bx Pedal Equation Of Y^2=4A(X+A) The given equation of family of. Given curve is $$y^2 = 4a(x+a)$$ $$y = \sqrt {4a(x+a)}$$. Answered sep 27, 2019 by rk roy (63.8k points) selected sep 27, 2019 by kumarmanish. The equation of the tangent to given ellipse at the point (x, y), x2 a2 + y2 b2 = 1 , (1) is xx a2 + yx b2 =. Pedal Equation Of Y^2=4A(X+A).
From www.youtube.com
pedal equation differential calculus and its application YouTube Pedal Equation Of Y^2=4A(X+A) Merocourse guides on calculus each and every portion We have, y 2 = 4 a (x + a). Differentiate with respect to x. Y {1 − (d y d x) 2} = 2 x d y d x. Given curve is $$y^2 = 4a(x+a)$$ $$y = \sqrt {4a(x+a)}$$. The given equation of family of. Y 2 = 4ax + 4a. Pedal Equation Of Y^2=4A(X+A).
From www.youtube.com
What is the differential equation for y^(2) = 4a (x a) ? CLASS 14 Pedal Equation Of Y^2=4A(X+A) Find the pedal equation of the curve $y^2 = 4a(x+a)$ my attempt: In this post, we have discussed the pedal equation and solved a pedal equation of an ellipse step by step. Y {1 − (d y d x) 2} = 2 x d y d x. Answered sep 27, 2019 by rk roy (63.8k points) selected sep 27, 2019. Pedal Equation Of Y^2=4A(X+A).
From www.doubtnut.com
Two lines are drawn at right angles, one being a tangent to y^2=4a x a Pedal Equation Of Y^2=4A(X+A) Merocourse guides on calculus each and every portion So, required differential equation is The equation of the tangent to given ellipse at the point (x, y), x2 a2 + y2 b2 = 1 , (1) is xx a2 + yx b2 = 1. Differentiate with respect to x. Y {1 − (d y d x) 2} = 2 x d. Pedal Equation Of Y^2=4A(X+A).
From www.toppr.com
The degree of differential equation of which {y}^{2}=4a(x+a) is a Pedal Equation Of Y^2=4A(X+A) The equation of the tangent to given ellipse at the point (x, y), x2 a2 + y2 b2 = 1 , (1) is xx a2 + yx b2 = 1. Find the pedal equation of the curve $y^2 = 4a(x+a)$ my attempt: Differentiate with respect to x. Answered sep 27, 2019 by rk roy (63.8k points) selected sep 27, 2019. Pedal Equation Of Y^2=4A(X+A).
From www.toppr.com
The order and degree of the differential equation y^2 = 4a(x a Pedal Equation Of Y^2=4A(X+A) Answered sep 27, 2019 by rk roy (63.8k points) selected sep 27, 2019 by kumarmanish. Merocourse guides on calculus each and every portion Y 2 = 4ax + 4a 2. We have, y 2 = 4 a (x + a). The equation of the tangent to given ellipse at the point (x, y), x2 a2 + y2 b2 = 1. Pedal Equation Of Y^2=4A(X+A).
From www.youtube.com
Verify that `y^2=4a x` is a solution of the differential equation `y=x Pedal Equation Of Y^2=4A(X+A) So, required differential equation is Given curve is $$y^2 = 4a(x+a)$$ $$y = \sqrt {4a(x+a)}$$. Differentiate with respect to x. The given equation of family of. We have, y 2 = 4 a (x + a). In this post, we have discussed the pedal equation and solved a pedal equation of an ellipse step by step. The equation of the. Pedal Equation Of Y^2=4A(X+A).
From www.yawin.in
Show that the family of parabolas y^2=4a (x+a) is selforthogonal Yawin Pedal Equation Of Y^2=4A(X+A) So, required differential equation is We have, y 2 = 4 a (x + a). Verify that y 2 = 4a (x + a) is a solution of the differential equations. Y {1 − (d y d x) 2} = 2 x d y d x. The equation of the tangent to given ellipse at the point (x, y), x2. Pedal Equation Of Y^2=4A(X+A).
From www.doubtnut.com
Find the orthogonal trajectory of y^2=4a x (a being the parameter). Pedal Equation Of Y^2=4A(X+A) The given equation of family of. The equation of the tangent to given ellipse at the point (x, y), x2 a2 + y2 b2 = 1 , (1) is xx a2 + yx b2 = 1. Y 2 = 4ax + 4a 2. Answered sep 27, 2019 by rk roy (63.8k points) selected sep 27, 2019 by kumarmanish. Y {1. Pedal Equation Of Y^2=4A(X+A).
From www.doubtnut.com
The equation of family of a curve is y^(2)=4a(x+a), then differential Pedal Equation Of Y^2=4A(X+A) Answered sep 27, 2019 by rk roy (63.8k points) selected sep 27, 2019 by kumarmanish. So, required differential equation is Verify that y 2 = 4a (x + a) is a solution of the differential equations. The equation of the tangent to given ellipse at the point (x, y), x2 a2 + y2 b2 = 1 , (1) is xx. Pedal Equation Of Y^2=4A(X+A).
From www.yawin.in
Find the Radius of curvature for the curve y^2= (4a^2 (2ax))/x where Pedal Equation Of Y^2=4A(X+A) In this post, we have discussed the pedal equation and solved a pedal equation of an ellipse step by step. Given curve is $$y^2 = 4a(x+a)$$ $$y = \sqrt {4a(x+a)}$$. Answered sep 27, 2019 by rk roy (63.8k points) selected sep 27, 2019 by kumarmanish. We have, y 2 = 4 a (x + a). So, required differential equation is. Pedal Equation Of Y^2=4A(X+A).
From edurev.in
The differential equation satisfied by the system of parabolas y2 = 4a Pedal Equation Of Y^2=4A(X+A) We have, y 2 = 4 a (x + a). Answered sep 27, 2019 by rk roy (63.8k points) selected sep 27, 2019 by kumarmanish. Verify that y 2 = 4a (x + a) is a solution of the differential equations. The equation of the tangent to given ellipse at the point (x, y), x2 a2 + y2 b2 =. Pedal Equation Of Y^2=4A(X+A).
From www.youtube.com
differential equation for `y^2=4a(xa)` YouTube Pedal Equation Of Y^2=4A(X+A) Verify that y 2 = 4a (x + a) is a solution of the differential equations. The given equation of family of. Find the pedal equation of the curve $y^2 = 4a(x+a)$ my attempt: Differentiate with respect to x. Answered sep 27, 2019 by rk roy (63.8k points) selected sep 27, 2019 by kumarmanish. Given curve is $$y^2 = 4a(x+a)$$. Pedal Equation Of Y^2=4A(X+A).
From www.youtube.com
bsc maths/calculus pedal equation find pedal equation y2=4a(x+a Pedal Equation Of Y^2=4A(X+A) Y 2 = 4ax + 4a 2. Merocourse guides on calculus each and every portion Given curve is $$y^2 = 4a(x+a)$$ $$y = \sqrt {4a(x+a)}$$. We have, y 2 = 4 a (x + a). Answered sep 27, 2019 by rk roy (63.8k points) selected sep 27, 2019 by kumarmanish. The given equation of family of. Y {1 − (d. Pedal Equation Of Y^2=4A(X+A).
From www.doubtnut.com
Find the equation of the common tangent of y^2=4a x and x^2=4a y. Pedal Equation Of Y^2=4A(X+A) Find the pedal equation of the curve $y^2 = 4a(x+a)$ my attempt: Y {1 − (d y d x) 2} = 2 x d y d x. The given equation of family of. Answered sep 27, 2019 by rk roy (63.8k points) selected sep 27, 2019 by kumarmanish. Verify that y 2 = 4a (x + a) is a solution. Pedal Equation Of Y^2=4A(X+A).
From www.doubtnut.com
Find the area included between the parabolas y^2=4a x\ a n d\ x^2=4b y Pedal Equation Of Y^2=4A(X+A) Y {1 − (d y d x) 2} = 2 x d y d x. Differentiate with respect to x. We have, y 2 = 4 a (x + a). Find the pedal equation of the curve $y^2 = 4a(x+a)$ my attempt: Merocourse guides on calculus each and every portion Given curve is $$y^2 = 4a(x+a)$$ $$y = \sqrt {4a(x+a)}$$.. Pedal Equation Of Y^2=4A(X+A).
From www.toppr.com
The equation of family of a curve is y2=4a(x+a), then differential Pedal Equation Of Y^2=4A(X+A) Find the pedal equation of the curve $y^2 = 4a(x+a)$ my attempt: So, required differential equation is Y {1 − (d y d x) 2} = 2 x d y d x. The given equation of family of. Differentiate with respect to x. Given curve is $$y^2 = 4a(x+a)$$ $$y = \sqrt {4a(x+a)}$$. Verify that y 2 = 4a (x. Pedal Equation Of Y^2=4A(X+A).
From www.numerade.com
SOLVED Text Show that the family of parabolas y^2 = 4a(x + a), where Pedal Equation Of Y^2=4A(X+A) Answered sep 27, 2019 by rk roy (63.8k points) selected sep 27, 2019 by kumarmanish. Y {1 − (d y d x) 2} = 2 x d y d x. We have, y 2 = 4 a (x + a). The equation of the tangent to given ellipse at the point (x, y), x2 a2 + y2 b2 = 1. Pedal Equation Of Y^2=4A(X+A).
From www.doubtnut.com
Verity that y^2=4a\ (x+a) is a solution of the differential equation Pedal Equation Of Y^2=4A(X+A) Verify that y 2 = 4a (x + a) is a solution of the differential equations. The equation of the tangent to given ellipse at the point (x, y), x2 a2 + y2 b2 = 1 , (1) is xx a2 + yx b2 = 1. We have, y 2 = 4 a (x + a). Y 2 = 4ax. Pedal Equation Of Y^2=4A(X+A).