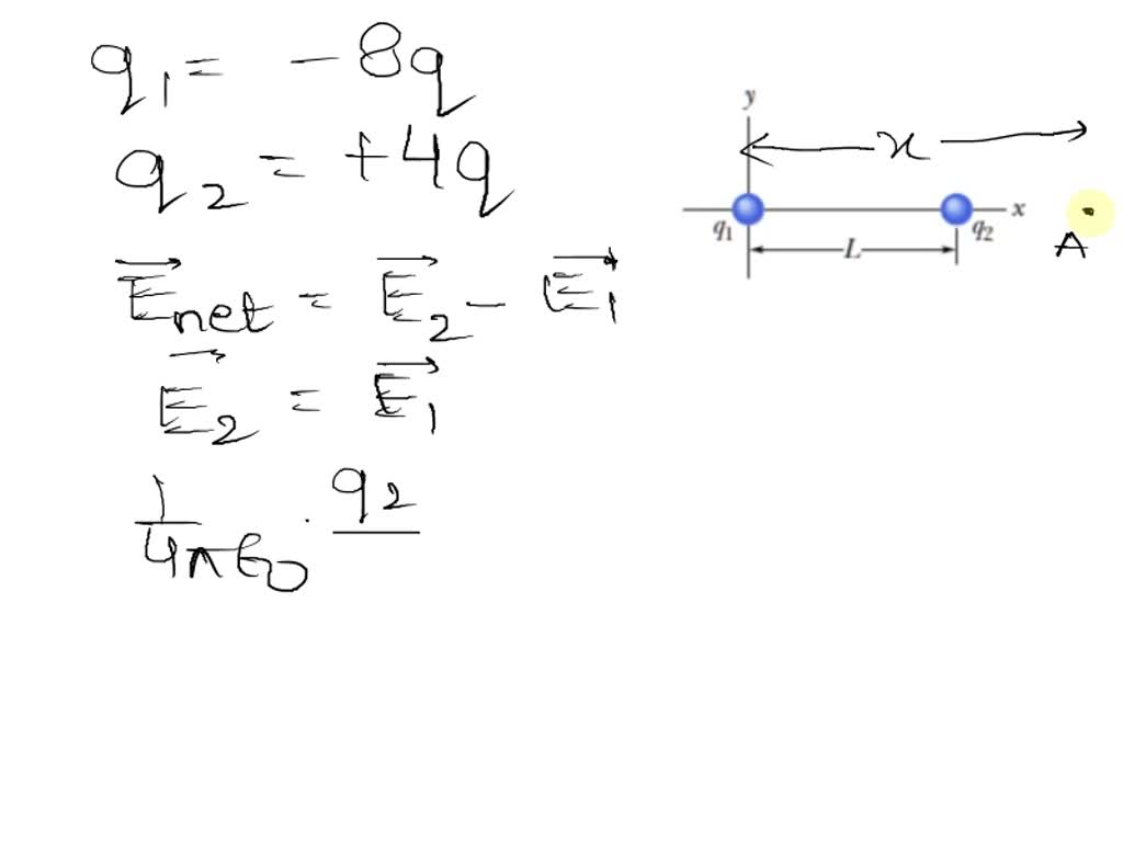
Net Electric Field Of The Particles Zero . The region of space around a charged particle is actually the rest of the universe. Two particles of charge q1 and q2 are separated by distance d in the figure. (a) as a multiple of distance l, at what coordinate on the axis is the net electric field of the particles zero? As a multiple of distance l, at what. → e = k |q| r2. The electric field points away from the positively charged plane and toward the negatively charged plane. The net electric field of the particles is zero at x = d/9. Is there a point along the line passing through them (and. Where is the field equal to zero? The electric field of a point charge is given by: A source charge) causes an electric field to exist in the region of space around itself. Since the σ σ are equal and opposite, this. Again using the superposition law, we can get the value of the electric field in its direction and this determines the net electric field at that point. Where k is the electrostatic constant, q is the magnitude of the charge, and r is the radius from the charge to. This is coulomb’s law for the electric field in conceptual form.
from www.youtube.com
The electric field points away from the positively charged plane and toward the negatively charged plane. (a) as a multiple of distance l, at what coordinate on the axis is the net electric field of the particles zero? Again using the superposition law, we can get the value of the electric field in its direction and this determines the net electric field at that point. Two particles of charge q1 and q2 are separated by distance d in the figure. Where k is the electrostatic constant, q is the magnitude of the charge, and r is the radius from the charge to. The electric field of a point charge is given by: This is coulomb’s law for the electric field in conceptual form. The region of space around a charged particle is actually the rest of the universe. → e = k |q| r2. Is there a point along the line passing through them (and.
Three point charges are aligned along the x axis as shown. Find the
Net Electric Field Of The Particles Zero Again using the superposition law, we can get the value of the electric field in its direction and this determines the net electric field at that point. Where is the field equal to zero? (a) as a multiple of distance l, at what coordinate on the axis is the net electric field of the particles zero? Where k is the electrostatic constant, q is the magnitude of the charge, and r is the radius from the charge to. This is coulomb’s law for the electric field in conceptual form. Since the σ σ are equal and opposite, this. A source charge) causes an electric field to exist in the region of space around itself. Again using the superposition law, we can get the value of the electric field in its direction and this determines the net electric field at that point. The net electric field of the particles is zero at x = d/9. The region of space around a charged particle is actually the rest of the universe. Is there a point along the line passing through them (and. The electric field of a point charge is given by: → e = k |q| r2. Two particles of charge q1 and q2 are separated by distance d in the figure. As a multiple of distance l, at what. The electric field points away from the positively charged plane and toward the negatively charged plane.
From www.youtube.com
Electric Field Example Identify the Position of Zero Electric Field Net Electric Field Of The Particles Zero Where k is the electrostatic constant, q is the magnitude of the charge, and r is the radius from the charge to. The electric field of a point charge is given by: This is coulomb’s law for the electric field in conceptual form. (a) as a multiple of distance l, at what coordinate on the axis is the net electric. Net Electric Field Of The Particles Zero.
From byjus.com
An electric dipole is held in a uniform electric field. Show that the Net Electric Field Of The Particles Zero Again using the superposition law, we can get the value of the electric field in its direction and this determines the net electric field at that point. The net electric field of the particles is zero at x = d/9. Is there a point along the line passing through them (and. (a) as a multiple of distance l, at what. Net Electric Field Of The Particles Zero.
From diagrammanualdunn.z13.web.core.windows.net
Electric Field Diagram Zero Point Net Electric Field Of The Particles Zero → e = k |q| r2. This is coulomb’s law for the electric field in conceptual form. The region of space around a charged particle is actually the rest of the universe. The electric field of a point charge is given by: Where k is the electrostatic constant, q is the magnitude of the charge, and r is the radius. Net Electric Field Of The Particles Zero.
From www.youtube.com
Where is the electric field equal to zero? YouTube Net Electric Field Of The Particles Zero → e = k |q| r2. As a multiple of distance l, at what. Since the σ σ are equal and opposite, this. The electric field points away from the positively charged plane and toward the negatively charged plane. Two particles of charge q1 and q2 are separated by distance d in the figure. Again using the superposition law, we. Net Electric Field Of The Particles Zero.
From www.numerade.com
SOLVEDIn the figure particle charge 91 679 and particle 2 of charge 42 Net Electric Field Of The Particles Zero The electric field of a point charge is given by: The net electric field of the particles is zero at x = d/9. The region of space around a charged particle is actually the rest of the universe. (a) as a multiple of distance l, at what coordinate on the axis is the net electric field of the particles zero?. Net Electric Field Of The Particles Zero.
From profmattstrassler.com
The Known Particles — If The Higgs Field Were Zero Of Particular Net Electric Field Of The Particles Zero The electric field of a point charge is given by: The net electric field of the particles is zero at x = d/9. A source charge) causes an electric field to exist in the region of space around itself. Two particles of charge q1 and q2 are separated by distance d in the figure. → e = k |q| r2.. Net Electric Field Of The Particles Zero.
From www.slideserve.com
PPT Electric Flux and Gauss Law PowerPoint Presentation ID321421 Net Electric Field Of The Particles Zero Is there a point along the line passing through them (and. The electric field points away from the positively charged plane and toward the negatively charged plane. Again using the superposition law, we can get the value of the electric field in its direction and this determines the net electric field at that point. Where k is the electrostatic constant,. Net Electric Field Of The Particles Zero.
From www.slideserve.com
PPT II. Electric Field [Physics 2702] PowerPoint Presentation, free Net Electric Field Of The Particles Zero Where is the field equal to zero? Again using the superposition law, we can get the value of the electric field in its direction and this determines the net electric field at that point. Since the σ σ are equal and opposite, this. → e = k |q| r2. Two particles of charge q1 and q2 are separated by distance. Net Electric Field Of The Particles Zero.
From wiringguidedaftar.z19.web.core.windows.net
Electric Field Diagram Zero Point Net Electric Field Of The Particles Zero Where is the field equal to zero? Where k is the electrostatic constant, q is the magnitude of the charge, and r is the radius from the charge to. As a multiple of distance l, at what. → e = k |q| r2. This is coulomb’s law for the electric field in conceptual form. A source charge) causes an electric. Net Electric Field Of The Particles Zero.
From byjus.com
Four identical point charges, each of charge q, are placed on the Net Electric Field Of The Particles Zero Since the σ σ are equal and opposite, this. (a) as a multiple of distance l, at what coordinate on the axis is the net electric field of the particles zero? Where k is the electrostatic constant, q is the magnitude of the charge, and r is the radius from the charge to. As a multiple of distance l, at. Net Electric Field Of The Particles Zero.
From www.youtube.com
The charges and coordinates of two charged particles held fixed in an Net Electric Field Of The Particles Zero Again using the superposition law, we can get the value of the electric field in its direction and this determines the net electric field at that point. The net electric field of the particles is zero at x = d/9. (a) as a multiple of distance l, at what coordinate on the axis is the net electric field of the. Net Electric Field Of The Particles Zero.
From www.chegg.com
Solved Chapter 22, Problem 014 In the figure particle 1 of Net Electric Field Of The Particles Zero → e = k |q| r2. The electric field points away from the positively charged plane and toward the negatively charged plane. Two particles of charge q1 and q2 are separated by distance d in the figure. (a) as a multiple of distance l, at what coordinate on the axis is the net electric field of the particles zero? As. Net Electric Field Of The Particles Zero.
From www.vrogue.co
Is The Electric Potential Inside A Conductor Zero vrogue.co Net Electric Field Of The Particles Zero The net electric field of the particles is zero at x = d/9. Again using the superposition law, we can get the value of the electric field in its direction and this determines the net electric field at that point. The electric field of a point charge is given by: The electric field points away from the positively charged plane. Net Electric Field Of The Particles Zero.
From www.youtube.com
Ch 15 Electric Fields Problem 2 YouTube Net Electric Field Of The Particles Zero Again using the superposition law, we can get the value of the electric field in its direction and this determines the net electric field at that point. Two particles of charge q1 and q2 are separated by distance d in the figure. Is there a point along the line passing through them (and. → e = k |q| r2. (a). Net Electric Field Of The Particles Zero.
From www.youtube.com
Three point charges are aligned along the x axis as shown. Find the Net Electric Field Of The Particles Zero This is coulomb’s law for the electric field in conceptual form. (a) as a multiple of distance l, at what coordinate on the axis is the net electric field of the particles zero? The electric field of a point charge is given by: Where is the field equal to zero? Again using the superposition law, we can get the value. Net Electric Field Of The Particles Zero.
From www.chegg.com
Solved 02) Two particles (2.5 uic) and (+6 pc and the Net Electric Field Of The Particles Zero This is coulomb’s law for the electric field in conceptual form. (a) as a multiple of distance l, at what coordinate on the axis is the net electric field of the particles zero? The electric field points away from the positively charged plane and toward the negatively charged plane. The electric field of a point charge is given by: Since. Net Electric Field Of The Particles Zero.
From www.numerade.com
⏩SOLVEDFigure 2131 shows an arrangement of four charged particles Net Electric Field Of The Particles Zero Where k is the electrostatic constant, q is the magnitude of the charge, and r is the radius from the charge to. (a) as a multiple of distance l, at what coordinate on the axis is the net electric field of the particles zero? As a multiple of distance l, at what. Is there a point along the line passing. Net Electric Field Of The Particles Zero.
From www.numerade.com
𝐅 net Calculate the net electric field EP (magnitude and direction) at Net Electric Field Of The Particles Zero This is coulomb’s law for the electric field in conceptual form. A source charge) causes an electric field to exist in the region of space around itself. Since the σ σ are equal and opposite, this. Two particles of charge q1 and q2 are separated by distance d in the figure. (a) as a multiple of distance l, at what. Net Electric Field Of The Particles Zero.
From byjus.com
An electric dipole placed in uniform electric field the net force Net Electric Field Of The Particles Zero The net electric field of the particles is zero at x = d/9. Since the σ σ are equal and opposite, this. Where is the field equal to zero? Two particles of charge q1 and q2 are separated by distance d in the figure. Where k is the electrostatic constant, q is the magnitude of the charge, and r is. Net Electric Field Of The Particles Zero.
From byjus.com
What is Neutral Point in Electric Field? Net Electric Field Of The Particles Zero A source charge) causes an electric field to exist in the region of space around itself. Since the σ σ are equal and opposite, this. As a multiple of distance l, at what. Again using the superposition law, we can get the value of the electric field in its direction and this determines the net electric field at that point.. Net Electric Field Of The Particles Zero.
From www.doubtnut.com
Doubt Solutions Maths, Science, CBSE, NCERT, IIT JEE, NEET Net Electric Field Of The Particles Zero A source charge) causes an electric field to exist in the region of space around itself. The electric field of a point charge is given by: As a multiple of distance l, at what. Is there a point along the line passing through them (and. Two particles of charge q1 and q2 are separated by distance d in the figure.. Net Electric Field Of The Particles Zero.
From www.youtube.com
Zero field location between like and unlike charges YouTube Net Electric Field Of The Particles Zero Is there a point along the line passing through them (and. As a multiple of distance l, at what. The electric field points away from the positively charged plane and toward the negatively charged plane. Where k is the electrostatic constant, q is the magnitude of the charge, and r is the radius from the charge to. (a) as a. Net Electric Field Of The Particles Zero.
From www.chegg.com
Solved Electric Field Zero Net Field You will find the Net Electric Field Of The Particles Zero A source charge) causes an electric field to exist in the region of space around itself. The region of space around a charged particle is actually the rest of the universe. → e = k |q| r2. This is coulomb’s law for the electric field in conceptual form. The electric field of a point charge is given by: Where k. Net Electric Field Of The Particles Zero.
From www.youtube.com
Physics 12.3.2b A Charged Particle in an Electric Field YouTube Net Electric Field Of The Particles Zero Is there a point along the line passing through them (and. Where k is the electrostatic constant, q is the magnitude of the charge, and r is the radius from the charge to. The electric field of a point charge is given by: This is coulomb’s law for the electric field in conceptual form. (a) as a multiple of distance. Net Electric Field Of The Particles Zero.
From www.chegg.com
Solved Through which closed surface(s) is the net electric Net Electric Field Of The Particles Zero Again using the superposition law, we can get the value of the electric field in its direction and this determines the net electric field at that point. Where k is the electrostatic constant, q is the magnitude of the charge, and r is the radius from the charge to. A source charge) causes an electric field to exist in the. Net Electric Field Of The Particles Zero.
From www.youtube.com
why electric field is always zero inside charged conductor YouTube Net Electric Field Of The Particles Zero This is coulomb’s law for the electric field in conceptual form. Again using the superposition law, we can get the value of the electric field in its direction and this determines the net electric field at that point. The net electric field of the particles is zero at x = d/9. A source charge) causes an electric field to exist. Net Electric Field Of The Particles Zero.
From www.toppr.com
Three charged particles are placed on a straight line as shown in fig Net Electric Field Of The Particles Zero This is coulomb’s law for the electric field in conceptual form. The net electric field of the particles is zero at x = d/9. A source charge) causes an electric field to exist in the region of space around itself. The electric field points away from the positively charged plane and toward the negatively charged plane. Since the σ σ. Net Electric Field Of The Particles Zero.
From www.youtube.com
The figure shows two charged particles on an x axis YouTube Net Electric Field Of The Particles Zero As a multiple of distance l, at what. The region of space around a charged particle is actually the rest of the universe. Where is the field equal to zero? Again using the superposition law, we can get the value of the electric field in its direction and this determines the net electric field at that point. Two particles of. Net Electric Field Of The Particles Zero.
From www.youtube.com
Three identical point charges each of charge q are located at the Net Electric Field Of The Particles Zero The region of space around a charged particle is actually the rest of the universe. Where is the field equal to zero? → e = k |q| r2. (a) as a multiple of distance l, at what coordinate on the axis is the net electric field of the particles zero? Where k is the electrostatic constant, q is the magnitude. Net Electric Field Of The Particles Zero.
From www.chegg.com
Solved For the charge distribution provided, indicate the Net Electric Field Of The Particles Zero Where k is the electrostatic constant, q is the magnitude of the charge, and r is the radius from the charge to. The electric field points away from the positively charged plane and toward the negatively charged plane. Two particles of charge q1 and q2 are separated by distance d in the figure. The net electric field of the particles. Net Electric Field Of The Particles Zero.
From byjus.com
12.Two point charges 8q and 2q are located at x=0 and x=L.the location Net Electric Field Of The Particles Zero A source charge) causes an electric field to exist in the region of space around itself. Again using the superposition law, we can get the value of the electric field in its direction and this determines the net electric field at that point. Two particles of charge q1 and q2 are separated by distance d in the figure. The region. Net Electric Field Of The Particles Zero.
From www.youtube.com
Chapter 18, example 7 (Zero electric field between point charges Net Electric Field Of The Particles Zero Two particles of charge q1 and q2 are separated by distance d in the figure. The net electric field of the particles is zero at x = d/9. The electric field points away from the positively charged plane and toward the negatively charged plane. The region of space around a charged particle is actually the rest of the universe. Again. Net Electric Field Of The Particles Zero.
From www.sciencefacts.net
Electric Field Lines Definition, Properties, and Drawings Net Electric Field Of The Particles Zero A source charge) causes an electric field to exist in the region of space around itself. Where k is the electrostatic constant, q is the magnitude of the charge, and r is the radius from the charge to. The net electric field of the particles is zero at x = d/9. The region of space around a charged particle is. Net Electric Field Of The Particles Zero.
From medium.com
Electric Field Between Two Plates Open Physics Class Net Electric Field Of The Particles Zero The net electric field of the particles is zero at x = d/9. The electric field points away from the positively charged plane and toward the negatively charged plane. Two particles of charge q1 and q2 are separated by distance d in the figure. Where is the field equal to zero? As a multiple of distance l, at what. Again. Net Electric Field Of The Particles Zero.
From www.numerade.com
Two particles, of charges q1 and q2, are separated by distance d in Fig Net Electric Field Of The Particles Zero Again using the superposition law, we can get the value of the electric field in its direction and this determines the net electric field at that point. (a) as a multiple of distance l, at what coordinate on the axis is the net electric field of the particles zero? Where is the field equal to zero? Two particles of charge. Net Electric Field Of The Particles Zero.