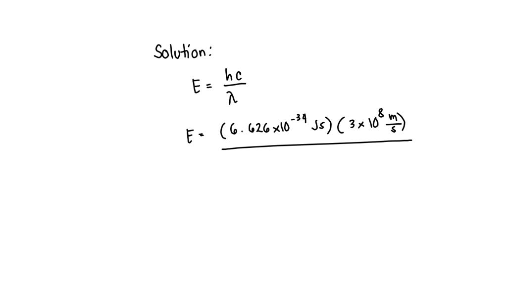
Microwave Ovens Emit Radiation With A Wavelength Of 12 5Cm . What is the energy of exactly one photon of this microwave. If you know the power of your microwave oven, in watts, which are per second, you can get it to electron volts with this. What is the energy of exactly one photon of this. Microwave ovens emit microwave energy with a wavelength of 12.5 cm. Microwave ovens emit microwave energy with a wavelength of 12.9 cm.
from www.wisegeek.com
Microwave ovens emit microwave energy with a wavelength of 12.5 cm. Microwave ovens emit microwave energy with a wavelength of 12.9 cm. If you know the power of your microwave oven, in watts, which are per second, you can get it to electron volts with this. What is the energy of exactly one photon of this. What is the energy of exactly one photon of this microwave.
What is Microwave Radiation? (with pictures)
Microwave Ovens Emit Radiation With A Wavelength Of 12 5Cm If you know the power of your microwave oven, in watts, which are per second, you can get it to electron volts with this. Microwave ovens emit microwave energy with a wavelength of 12.5 cm. Microwave ovens emit microwave energy with a wavelength of 12.9 cm. What is the energy of exactly one photon of this. What is the energy of exactly one photon of this microwave. If you know the power of your microwave oven, in watts, which are per second, you can get it to electron volts with this.
From www.numerade.com
SOLVEDThe wavelength of the radiation in a microwave oven is 12 cm Microwave Ovens Emit Radiation With A Wavelength Of 12 5Cm If you know the power of your microwave oven, in watts, which are per second, you can get it to electron volts with this. Microwave ovens emit microwave energy with a wavelength of 12.9 cm. Microwave ovens emit microwave energy with a wavelength of 12.5 cm. What is the energy of exactly one photon of this microwave. What is the. Microwave Ovens Emit Radiation With A Wavelength Of 12 5Cm.
From www.numerade.com
SOLVED Microwave ovens emit microwave energy with wavelength of 12.7 Microwave Ovens Emit Radiation With A Wavelength Of 12 5Cm Microwave ovens emit microwave energy with a wavelength of 12.9 cm. Microwave ovens emit microwave energy with a wavelength of 12.5 cm. What is the energy of exactly one photon of this. If you know the power of your microwave oven, in watts, which are per second, you can get it to electron volts with this. What is the energy. Microwave Ovens Emit Radiation With A Wavelength Of 12 5Cm.
From www.numerade.com
SOLVEDMicrowave ovens emit microwave radiation that is absorbed by Microwave Ovens Emit Radiation With A Wavelength Of 12 5Cm Microwave ovens emit microwave energy with a wavelength of 12.9 cm. What is the energy of exactly one photon of this. What is the energy of exactly one photon of this microwave. Microwave ovens emit microwave energy with a wavelength of 12.5 cm. If you know the power of your microwave oven, in watts, which are per second, you can. Microwave Ovens Emit Radiation With A Wavelength Of 12 5Cm.
From oneclass.com
OneClass A cook uses a microwave oven to heat a meal. The wavelength Microwave Ovens Emit Radiation With A Wavelength Of 12 5Cm If you know the power of your microwave oven, in watts, which are per second, you can get it to electron volts with this. What is the energy of exactly one photon of this. Microwave ovens emit microwave energy with a wavelength of 12.5 cm. What is the energy of exactly one photon of this microwave. Microwave ovens emit microwave. Microwave Ovens Emit Radiation With A Wavelength Of 12 5Cm.
From www.wisegeek.com
What is Microwave Radiation? (with pictures) Microwave Ovens Emit Radiation With A Wavelength Of 12 5Cm Microwave ovens emit microwave energy with a wavelength of 12.9 cm. Microwave ovens emit microwave energy with a wavelength of 12.5 cm. What is the energy of exactly one photon of this. What is the energy of exactly one photon of this microwave. If you know the power of your microwave oven, in watts, which are per second, you can. Microwave Ovens Emit Radiation With A Wavelength Of 12 5Cm.
From www.numerade.com
SOLVED Microwave ovens emit microwave energy with a wavelength of 12.7 Microwave Ovens Emit Radiation With A Wavelength Of 12 5Cm Microwave ovens emit microwave energy with a wavelength of 12.9 cm. If you know the power of your microwave oven, in watts, which are per second, you can get it to electron volts with this. What is the energy of exactly one photon of this microwave. Microwave ovens emit microwave energy with a wavelength of 12.5 cm. What is the. Microwave Ovens Emit Radiation With A Wavelength Of 12 5Cm.
From www.numerade.com
SOLVEDMicrowave ovens convert radiation to energy. A microwave oven Microwave Ovens Emit Radiation With A Wavelength Of 12 5Cm Microwave ovens emit microwave energy with a wavelength of 12.5 cm. If you know the power of your microwave oven, in watts, which are per second, you can get it to electron volts with this. What is the energy of exactly one photon of this microwave. Microwave ovens emit microwave energy with a wavelength of 12.9 cm. What is the. Microwave Ovens Emit Radiation With A Wavelength Of 12 5Cm.
From www.pinterest.com
EMF Radiation From the Microwave Oven Microwave oven, Radiation Microwave Ovens Emit Radiation With A Wavelength Of 12 5Cm Microwave ovens emit microwave energy with a wavelength of 12.5 cm. Microwave ovens emit microwave energy with a wavelength of 12.9 cm. What is the energy of exactly one photon of this microwave. What is the energy of exactly one photon of this. If you know the power of your microwave oven, in watts, which are per second, you can. Microwave Ovens Emit Radiation With A Wavelength Of 12 5Cm.
From www.geoset.info
GEOSET Radiation in Your Kitchen Basic Microwave Oven Physics GEOSET Microwave Ovens Emit Radiation With A Wavelength Of 12 5Cm What is the energy of exactly one photon of this microwave. What is the energy of exactly one photon of this. Microwave ovens emit microwave energy with a wavelength of 12.9 cm. If you know the power of your microwave oven, in watts, which are per second, you can get it to electron volts with this. Microwave ovens emit microwave. Microwave Ovens Emit Radiation With A Wavelength Of 12 5Cm.
From tees.tamu.edu
Microwaves may cause traumatic brain injuries Texas A&M Engineering Microwave Ovens Emit Radiation With A Wavelength Of 12 5Cm Microwave ovens emit microwave energy with a wavelength of 12.9 cm. What is the energy of exactly one photon of this. If you know the power of your microwave oven, in watts, which are per second, you can get it to electron volts with this. Microwave ovens emit microwave energy with a wavelength of 12.5 cm. What is the energy. Microwave Ovens Emit Radiation With A Wavelength Of 12 5Cm.
From byjus.com
Microwave Spectrum What is Spectrum? Microwave Ovens Emit Radiation With A Wavelength Of 12 5Cm If you know the power of your microwave oven, in watts, which are per second, you can get it to electron volts with this. Microwave ovens emit microwave energy with a wavelength of 12.5 cm. Microwave ovens emit microwave energy with a wavelength of 12.9 cm. What is the energy of exactly one photon of this. What is the energy. Microwave Ovens Emit Radiation With A Wavelength Of 12 5Cm.
From www.numerade.com
SOLVED Microwave ovens emit microwave energy with a wavelength of 12.8 Microwave Ovens Emit Radiation With A Wavelength Of 12 5Cm Microwave ovens emit microwave energy with a wavelength of 12.5 cm. If you know the power of your microwave oven, in watts, which are per second, you can get it to electron volts with this. What is the energy of exactly one photon of this microwave. What is the energy of exactly one photon of this. Microwave ovens emit microwave. Microwave Ovens Emit Radiation With A Wavelength Of 12 5Cm.
From discover.hubpages.com
Principle of Microwave Radio Communications HubPages Microwave Ovens Emit Radiation With A Wavelength Of 12 5Cm Microwave ovens emit microwave energy with a wavelength of 12.9 cm. If you know the power of your microwave oven, in watts, which are per second, you can get it to electron volts with this. What is the energy of exactly one photon of this microwave. What is the energy of exactly one photon of this. Microwave ovens emit microwave. Microwave Ovens Emit Radiation With A Wavelength Of 12 5Cm.
From slideplayer.com
Radiation ppt download Microwave Ovens Emit Radiation With A Wavelength Of 12 5Cm If you know the power of your microwave oven, in watts, which are per second, you can get it to electron volts with this. Microwave ovens emit microwave energy with a wavelength of 12.9 cm. Microwave ovens emit microwave energy with a wavelength of 12.5 cm. What is the energy of exactly one photon of this microwave. What is the. Microwave Ovens Emit Radiation With A Wavelength Of 12 5Cm.
From studiousguy.com
10 Microwave Examples in Real Life StudiousGuy Microwave Ovens Emit Radiation With A Wavelength Of 12 5Cm If you know the power of your microwave oven, in watts, which are per second, you can get it to electron volts with this. Microwave ovens emit microwave energy with a wavelength of 12.5 cm. Microwave ovens emit microwave energy with a wavelength of 12.9 cm. What is the energy of exactly one photon of this microwave. What is the. Microwave Ovens Emit Radiation With A Wavelength Of 12 5Cm.
From www.numerade.com
SOLVEDA microwave oven heats by radiating food with microwave Microwave Ovens Emit Radiation With A Wavelength Of 12 5Cm Microwave ovens emit microwave energy with a wavelength of 12.9 cm. What is the energy of exactly one photon of this microwave. What is the energy of exactly one photon of this. If you know the power of your microwave oven, in watts, which are per second, you can get it to electron volts with this. Microwave ovens emit microwave. Microwave Ovens Emit Radiation With A Wavelength Of 12 5Cm.
From www.numerade.com
SOLVED Attempt z Microwave ovens emit microwave energy with wavelength Microwave Ovens Emit Radiation With A Wavelength Of 12 5Cm Microwave ovens emit microwave energy with a wavelength of 12.9 cm. What is the energy of exactly one photon of this microwave. If you know the power of your microwave oven, in watts, which are per second, you can get it to electron volts with this. Microwave ovens emit microwave energy with a wavelength of 12.5 cm. What is the. Microwave Ovens Emit Radiation With A Wavelength Of 12 5Cm.
From www.slideserve.com
PPT Spectrum and Colors PowerPoint Presentation, free Microwave Ovens Emit Radiation With A Wavelength Of 12 5Cm If you know the power of your microwave oven, in watts, which are per second, you can get it to electron volts with this. What is the energy of exactly one photon of this. Microwave ovens emit microwave energy with a wavelength of 12.9 cm. Microwave ovens emit microwave energy with a wavelength of 12.5 cm. What is the energy. Microwave Ovens Emit Radiation With A Wavelength Of 12 5Cm.
From www.numerade.com
SOLVED A cook uses a microwave oven to heat a meal. The wavelength of Microwave Ovens Emit Radiation With A Wavelength Of 12 5Cm If you know the power of your microwave oven, in watts, which are per second, you can get it to electron volts with this. What is the energy of exactly one photon of this microwave. What is the energy of exactly one photon of this. Microwave ovens emit microwave energy with a wavelength of 12.9 cm. Microwave ovens emit microwave. Microwave Ovens Emit Radiation With A Wavelength Of 12 5Cm.
From diningtokitchen.com
Do Microwaves Emit Radiation Microwave Ovens Emit Radiation With A Wavelength Of 12 5Cm If you know the power of your microwave oven, in watts, which are per second, you can get it to electron volts with this. What is the energy of exactly one photon of this. Microwave ovens emit microwave energy with a wavelength of 12.5 cm. Microwave ovens emit microwave energy with a wavelength of 12.9 cm. What is the energy. Microwave Ovens Emit Radiation With A Wavelength Of 12 5Cm.
From www.numerade.com
SOLVEDMicrowave ovens convert radiation to energy. A microwave oven Microwave Ovens Emit Radiation With A Wavelength Of 12 5Cm What is the energy of exactly one photon of this microwave. Microwave ovens emit microwave energy with a wavelength of 12.9 cm. What is the energy of exactly one photon of this. Microwave ovens emit microwave energy with a wavelength of 12.5 cm. If you know the power of your microwave oven, in watts, which are per second, you can. Microwave Ovens Emit Radiation With A Wavelength Of 12 5Cm.
From www.numerade.com
SOLVED A cook uses a microwave oven to heat a meal. The wavelength of Microwave Ovens Emit Radiation With A Wavelength Of 12 5Cm Microwave ovens emit microwave energy with a wavelength of 12.5 cm. Microwave ovens emit microwave energy with a wavelength of 12.9 cm. If you know the power of your microwave oven, in watts, which are per second, you can get it to electron volts with this. What is the energy of exactly one photon of this microwave. What is the. Microwave Ovens Emit Radiation With A Wavelength Of 12 5Cm.
From brainly.com
Microwave ovens emit microwave energy with a wavelength of 12.5 cm Microwave Ovens Emit Radiation With A Wavelength Of 12 5Cm What is the energy of exactly one photon of this. Microwave ovens emit microwave energy with a wavelength of 12.9 cm. Microwave ovens emit microwave energy with a wavelength of 12.5 cm. What is the energy of exactly one photon of this microwave. If you know the power of your microwave oven, in watts, which are per second, you can. Microwave Ovens Emit Radiation With A Wavelength Of 12 5Cm.
From www.numerade.com
SOLVED Microwave ovens emit microwave energy with a wavelength of 12.6 Microwave Ovens Emit Radiation With A Wavelength Of 12 5Cm What is the energy of exactly one photon of this microwave. Microwave ovens emit microwave energy with a wavelength of 12.5 cm. Microwave ovens emit microwave energy with a wavelength of 12.9 cm. What is the energy of exactly one photon of this. If you know the power of your microwave oven, in watts, which are per second, you can. Microwave Ovens Emit Radiation With A Wavelength Of 12 5Cm.
From www.numerade.com
SOLVED Microwave ovens emit microwave energy with a wavelength of 12.1 Microwave Ovens Emit Radiation With A Wavelength Of 12 5Cm Microwave ovens emit microwave energy with a wavelength of 12.9 cm. Microwave ovens emit microwave energy with a wavelength of 12.5 cm. What is the energy of exactly one photon of this microwave. What is the energy of exactly one photon of this. If you know the power of your microwave oven, in watts, which are per second, you can. Microwave Ovens Emit Radiation With A Wavelength Of 12 5Cm.
From www.numerade.com
SOLVEDA microwave oven heats by radiating food with microwave Microwave Ovens Emit Radiation With A Wavelength Of 12 5Cm If you know the power of your microwave oven, in watts, which are per second, you can get it to electron volts with this. What is the energy of exactly one photon of this microwave. Microwave ovens emit microwave energy with a wavelength of 12.9 cm. What is the energy of exactly one photon of this. Microwave ovens emit microwave. Microwave Ovens Emit Radiation With A Wavelength Of 12 5Cm.
From byjus.com
Arrange the following waves in the descending order of Microwave Ovens Emit Radiation With A Wavelength Of 12 5Cm Microwave ovens emit microwave energy with a wavelength of 12.9 cm. Microwave ovens emit microwave energy with a wavelength of 12.5 cm. What is the energy of exactly one photon of this. What is the energy of exactly one photon of this microwave. If you know the power of your microwave oven, in watts, which are per second, you can. Microwave Ovens Emit Radiation With A Wavelength Of 12 5Cm.
From www.slideserve.com
PPT Do Microwave Ovens use radiation PowerPoint Microwave Ovens Emit Radiation With A Wavelength Of 12 5Cm What is the energy of exactly one photon of this. Microwave ovens emit microwave energy with a wavelength of 12.5 cm. What is the energy of exactly one photon of this microwave. Microwave ovens emit microwave energy with a wavelength of 12.9 cm. If you know the power of your microwave oven, in watts, which are per second, you can. Microwave Ovens Emit Radiation With A Wavelength Of 12 5Cm.
From www.bartleby.com
Answered Microwave ovens emit microwave energy… bartleby Microwave Ovens Emit Radiation With A Wavelength Of 12 5Cm Microwave ovens emit microwave energy with a wavelength of 12.5 cm. Microwave ovens emit microwave energy with a wavelength of 12.9 cm. If you know the power of your microwave oven, in watts, which are per second, you can get it to electron volts with this. What is the energy of exactly one photon of this microwave. What is the. Microwave Ovens Emit Radiation With A Wavelength Of 12 5Cm.
From slideplayer.com
radiation ppt download Microwave Ovens Emit Radiation With A Wavelength Of 12 5Cm Microwave ovens emit microwave energy with a wavelength of 12.5 cm. What is the energy of exactly one photon of this microwave. What is the energy of exactly one photon of this. Microwave ovens emit microwave energy with a wavelength of 12.9 cm. If you know the power of your microwave oven, in watts, which are per second, you can. Microwave Ovens Emit Radiation With A Wavelength Of 12 5Cm.
From www.youtube.com
How a Microwave Oven Works YouTube Microwave Ovens Emit Radiation With A Wavelength Of 12 5Cm What is the energy of exactly one photon of this microwave. If you know the power of your microwave oven, in watts, which are per second, you can get it to electron volts with this. Microwave ovens emit microwave energy with a wavelength of 12.5 cm. What is the energy of exactly one photon of this. Microwave ovens emit microwave. Microwave Ovens Emit Radiation With A Wavelength Of 12 5Cm.
From onlinelibrary.wiley.com
Unlocking Potentials of Microwaves for Food Safety and Quality Tang Microwave Ovens Emit Radiation With A Wavelength Of 12 5Cm Microwave ovens emit microwave energy with a wavelength of 12.5 cm. If you know the power of your microwave oven, in watts, which are per second, you can get it to electron volts with this. What is the energy of exactly one photon of this microwave. Microwave ovens emit microwave energy with a wavelength of 12.9 cm. What is the. Microwave Ovens Emit Radiation With A Wavelength Of 12 5Cm.
From www.numerade.com
SOLVED Microwave ovens emit microwave energy with a wavelength of 12.0 Microwave Ovens Emit Radiation With A Wavelength Of 12 5Cm Microwave ovens emit microwave energy with a wavelength of 12.5 cm. What is the energy of exactly one photon of this microwave. If you know the power of your microwave oven, in watts, which are per second, you can get it to electron volts with this. Microwave ovens emit microwave energy with a wavelength of 12.9 cm. What is the. Microwave Ovens Emit Radiation With A Wavelength Of 12 5Cm.
From ar.inspiredpencil.com
Microwaves Waves Microwave Ovens Emit Radiation With A Wavelength Of 12 5Cm Microwave ovens emit microwave energy with a wavelength of 12.5 cm. What is the energy of exactly one photon of this. Microwave ovens emit microwave energy with a wavelength of 12.9 cm. What is the energy of exactly one photon of this microwave. If you know the power of your microwave oven, in watts, which are per second, you can. Microwave Ovens Emit Radiation With A Wavelength Of 12 5Cm.
From www.numerade.com
SOLVED Microwave ovens emit microwave energy with a wavelength of 12.9 Microwave Ovens Emit Radiation With A Wavelength Of 12 5Cm Microwave ovens emit microwave energy with a wavelength of 12.5 cm. What is the energy of exactly one photon of this microwave. Microwave ovens emit microwave energy with a wavelength of 12.9 cm. If you know the power of your microwave oven, in watts, which are per second, you can get it to electron volts with this. What is the. Microwave Ovens Emit Radiation With A Wavelength Of 12 5Cm.