What Is Boiling Point Benzene . Benzene is a closed ring of six carbon atoms linked by bonds that alternate between single and double. Explain why the boiling points of alcohols and phenols are much higher than those of alkanes, ethers, etc., of similar molecular mass. Benzene is a colourless liquid with a characteristic odour of formula c6h6. The curve between the critical point and the triple point shows the benzene boiling point with changes in pressure. It also shows the saturation pressure with changes in temperature. In the gas phase, the dipole moment of benzene is zero, but the presence of electronegative or electropositive substituents can result in a net. Benzene has a boiling point of 80.1 °c (176.2 °f) and a melting point of 5.5 °c (41.9 °f), and it is freely soluble in organic solvents, but only slightly soluble in water.
from www.pinterest.co.uk
Benzene is a closed ring of six carbon atoms linked by bonds that alternate between single and double. Benzene has a boiling point of 80.1 °c (176.2 °f) and a melting point of 5.5 °c (41.9 °f), and it is freely soluble in organic solvents, but only slightly soluble in water. Benzene is a colourless liquid with a characteristic odour of formula c6h6. Explain why the boiling points of alcohols and phenols are much higher than those of alkanes, ethers, etc., of similar molecular mass. In the gas phase, the dipole moment of benzene is zero, but the presence of electronegative or electropositive substituents can result in a net. The curve between the critical point and the triple point shows the benzene boiling point with changes in pressure. It also shows the saturation pressure with changes in temperature.
What is Dow process and Compare the boiling point of ortho meta and
What Is Boiling Point Benzene Benzene has a boiling point of 80.1 °c (176.2 °f) and a melting point of 5.5 °c (41.9 °f), and it is freely soluble in organic solvents, but only slightly soluble in water. Explain why the boiling points of alcohols and phenols are much higher than those of alkanes, ethers, etc., of similar molecular mass. The curve between the critical point and the triple point shows the benzene boiling point with changes in pressure. In the gas phase, the dipole moment of benzene is zero, but the presence of electronegative or electropositive substituents can result in a net. Benzene has a boiling point of 80.1 °c (176.2 °f) and a melting point of 5.5 °c (41.9 °f), and it is freely soluble in organic solvents, but only slightly soluble in water. Benzene is a colourless liquid with a characteristic odour of formula c6h6. Benzene is a closed ring of six carbon atoms linked by bonds that alternate between single and double. It also shows the saturation pressure with changes in temperature.
From www.coursehero.com
[Solved] Benzene has a normal boiling point of 80.1 C, and its Hvap is What Is Boiling Point Benzene It also shows the saturation pressure with changes in temperature. Explain why the boiling points of alcohols and phenols are much higher than those of alkanes, ethers, etc., of similar molecular mass. Benzene has a boiling point of 80.1 °c (176.2 °f) and a melting point of 5.5 °c (41.9 °f), and it is freely soluble in organic solvents, but. What Is Boiling Point Benzene.
From www.youtube.com
How to determine boiling point of Benzene Chemistry Experiment YouTube What Is Boiling Point Benzene It also shows the saturation pressure with changes in temperature. Explain why the boiling points of alcohols and phenols are much higher than those of alkanes, ethers, etc., of similar molecular mass. In the gas phase, the dipole moment of benzene is zero, but the presence of electronegative or electropositive substituents can result in a net. Benzene has a boiling. What Is Boiling Point Benzene.
From www.pinterest.co.uk
What is Dow process and Compare the boiling point of ortho meta and What Is Boiling Point Benzene Benzene has a boiling point of 80.1 °c (176.2 °f) and a melting point of 5.5 °c (41.9 °f), and it is freely soluble in organic solvents, but only slightly soluble in water. Explain why the boiling points of alcohols and phenols are much higher than those of alkanes, ethers, etc., of similar molecular mass. In the gas phase, the. What Is Boiling Point Benzene.
From www.chegg.com
Solved The boiling point of benzene C6H6 is 80.10∘C at 1 What Is Boiling Point Benzene Benzene is a colourless liquid with a characteristic odour of formula c6h6. Explain why the boiling points of alcohols and phenols are much higher than those of alkanes, ethers, etc., of similar molecular mass. Benzene has a boiling point of 80.1 °c (176.2 °f) and a melting point of 5.5 °c (41.9 °f), and it is freely soluble in organic. What Is Boiling Point Benzene.
From www.numerade.com
SOLVED The normal boiling point of benzene is 80.1 °C and the heat of What Is Boiling Point Benzene Benzene is a closed ring of six carbon atoms linked by bonds that alternate between single and double. The curve between the critical point and the triple point shows the benzene boiling point with changes in pressure. Benzene is a colourless liquid with a characteristic odour of formula c6h6. In the gas phase, the dipole moment of benzene is zero,. What Is Boiling Point Benzene.
From www.numerade.com
The melting point of benzene is 5.5^∘ C and its boiling point is 80.1^∘ What Is Boiling Point Benzene The curve between the critical point and the triple point shows the benzene boiling point with changes in pressure. Benzene is a colourless liquid with a characteristic odour of formula c6h6. Benzene is a closed ring of six carbon atoms linked by bonds that alternate between single and double. Benzene has a boiling point of 80.1 °c (176.2 °f) and. What Is Boiling Point Benzene.
From oneclass.com
OneClass Equilibrium vapor pressures of benzene, C6H6, at various What Is Boiling Point Benzene The curve between the critical point and the triple point shows the benzene boiling point with changes in pressure. Explain why the boiling points of alcohols and phenols are much higher than those of alkanes, ethers, etc., of similar molecular mass. Benzene is a colourless liquid with a characteristic odour of formula c6h6. Benzene has a boiling point of 80.1. What Is Boiling Point Benzene.
From www.chegg.com
Solved The boiling point diagram for a mixture of benzene What Is Boiling Point Benzene Benzene is a closed ring of six carbon atoms linked by bonds that alternate between single and double. Benzene is a colourless liquid with a characteristic odour of formula c6h6. In the gas phase, the dipole moment of benzene is zero, but the presence of electronegative or electropositive substituents can result in a net. It also shows the saturation pressure. What Is Boiling Point Benzene.
From solvedlib.com
When benzene is at its melting point, two processes o… SolvedLib What Is Boiling Point Benzene Benzene is a colourless liquid with a characteristic odour of formula c6h6. Benzene has a boiling point of 80.1 °c (176.2 °f) and a melting point of 5.5 °c (41.9 °f), and it is freely soluble in organic solvents, but only slightly soluble in water. In the gas phase, the dipole moment of benzene is zero, but the presence of. What Is Boiling Point Benzene.
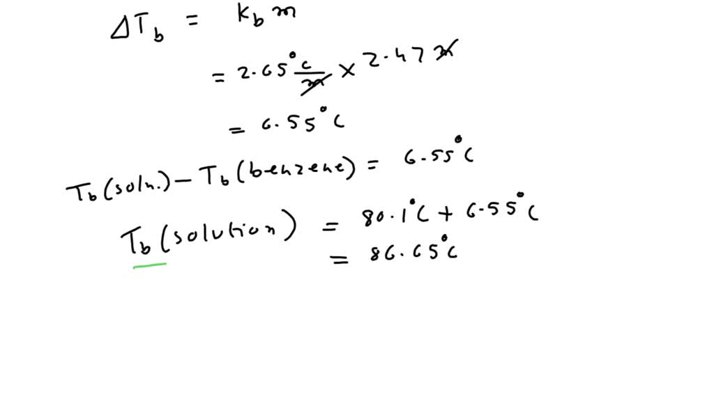
From www.numerade.com
SOLVED What are the boiling point and freezing point of a 2.47 m What Is Boiling Point Benzene In the gas phase, the dipole moment of benzene is zero, but the presence of electronegative or electropositive substituents can result in a net. Benzene has a boiling point of 80.1 °c (176.2 °f) and a melting point of 5.5 °c (41.9 °f), and it is freely soluble in organic solvents, but only slightly soluble in water. Benzene is a. What Is Boiling Point Benzene.
From www.chegg.com
Solved 16. The normal boiling point of benzene is 800C. If What Is Boiling Point Benzene Benzene is a colourless liquid with a characteristic odour of formula c6h6. Explain why the boiling points of alcohols and phenols are much higher than those of alkanes, ethers, etc., of similar molecular mass. In the gas phase, the dipole moment of benzene is zero, but the presence of electronegative or electropositive substituents can result in a net. Benzene is. What Is Boiling Point Benzene.
From www.chegg.com
Solved The boiling point of benzene, C6H6, is 80.100 °C at 1 What Is Boiling Point Benzene It also shows the saturation pressure with changes in temperature. Benzene has a boiling point of 80.1 °c (176.2 °f) and a melting point of 5.5 °c (41.9 °f), and it is freely soluble in organic solvents, but only slightly soluble in water. In the gas phase, the dipole moment of benzene is zero, but the presence of electronegative or. What Is Boiling Point Benzene.
From www.numerade.com
SOLVED Refer to the vaporliquid composition curve for a benzene What Is Boiling Point Benzene The curve between the critical point and the triple point shows the benzene boiling point with changes in pressure. It also shows the saturation pressure with changes in temperature. Benzene is a colourless liquid with a characteristic odour of formula c6h6. In the gas phase, the dipole moment of benzene is zero, but the presence of electronegative or electropositive substituents. What Is Boiling Point Benzene.
From general.chemistrysteps.com
Boiling Point Elevation Chemistry Steps What Is Boiling Point Benzene Benzene is a colourless liquid with a characteristic odour of formula c6h6. It also shows the saturation pressure with changes in temperature. The curve between the critical point and the triple point shows the benzene boiling point with changes in pressure. Benzene has a boiling point of 80.1 °c (176.2 °f) and a melting point of 5.5 °c (41.9 °f),. What Is Boiling Point Benzene.
From www.numerade.com
SOLVED The boiling point diagram for a mixture of benzene and toluene What Is Boiling Point Benzene Benzene is a closed ring of six carbon atoms linked by bonds that alternate between single and double. Benzene is a colourless liquid with a characteristic odour of formula c6h6. It also shows the saturation pressure with changes in temperature. In the gas phase, the dipole moment of benzene is zero, but the presence of electronegative or electropositive substituents can. What Is Boiling Point Benzene.
From www.researchgate.net
Boiling point T b ,°С, vs. molecular weight M (1) (a) benzene, (b What Is Boiling Point Benzene Benzene has a boiling point of 80.1 °c (176.2 °f) and a melting point of 5.5 °c (41.9 °f), and it is freely soluble in organic solvents, but only slightly soluble in water. The curve between the critical point and the triple point shows the benzene boiling point with changes in pressure. Benzene is a colourless liquid with a characteristic. What Is Boiling Point Benzene.
From www.toppr.com
a) The boiling point of benzene is 353.23 K. When 1.80 g of a non What Is Boiling Point Benzene Benzene has a boiling point of 80.1 °c (176.2 °f) and a melting point of 5.5 °c (41.9 °f), and it is freely soluble in organic solvents, but only slightly soluble in water. It also shows the saturation pressure with changes in temperature. In the gas phase, the dipole moment of benzene is zero, but the presence of electronegative or. What Is Boiling Point Benzene.
From byjus.com
38. The freezing and normal boiling points of benzene are 278.5 k and What Is Boiling Point Benzene Explain why the boiling points of alcohols and phenols are much higher than those of alkanes, ethers, etc., of similar molecular mass. The curve between the critical point and the triple point shows the benzene boiling point with changes in pressure. Benzene is a closed ring of six carbon atoms linked by bonds that alternate between single and double. It. What Is Boiling Point Benzene.
From www.numerade.com
SOLVED Benzene and toluene form nearly ideal solutions. The boiling What Is Boiling Point Benzene Benzene is a closed ring of six carbon atoms linked by bonds that alternate between single and double. The curve between the critical point and the triple point shows the benzene boiling point with changes in pressure. In the gas phase, the dipole moment of benzene is zero, but the presence of electronegative or electropositive substituents can result in a. What Is Boiling Point Benzene.
From www.youtube.com
The molar enthalpy of vaporization of benzene at its boiling point What Is Boiling Point Benzene Benzene is a closed ring of six carbon atoms linked by bonds that alternate between single and double. Explain why the boiling points of alcohols and phenols are much higher than those of alkanes, ethers, etc., of similar molecular mass. In the gas phase, the dipole moment of benzene is zero, but the presence of electronegative or electropositive substituents can. What Is Boiling Point Benzene.
From www.numerade.com
SOLVED Benzene has a heat of vaporization of 30.72kJ/mol and a normal What Is Boiling Point Benzene It also shows the saturation pressure with changes in temperature. Benzene is a closed ring of six carbon atoms linked by bonds that alternate between single and double. The curve between the critical point and the triple point shows the benzene boiling point with changes in pressure. In the gas phase, the dipole moment of benzene is zero, but the. What Is Boiling Point Benzene.
From www.youtube.com
The boiling point of benzene is 353.23K. When 1.80g of a nonvolatile What Is Boiling Point Benzene Benzene is a colourless liquid with a characteristic odour of formula c6h6. The curve between the critical point and the triple point shows the benzene boiling point with changes in pressure. Explain why the boiling points of alcohols and phenols are much higher than those of alkanes, ethers, etc., of similar molecular mass. In the gas phase, the dipole moment. What Is Boiling Point Benzene.
From chemizi.blogspot.com
What is Dow process and Compare the boiling point of ortho meta and What Is Boiling Point Benzene In the gas phase, the dipole moment of benzene is zero, but the presence of electronegative or electropositive substituents can result in a net. Benzene is a colourless liquid with a characteristic odour of formula c6h6. The curve between the critical point and the triple point shows the benzene boiling point with changes in pressure. Benzene has a boiling point. What Is Boiling Point Benzene.
From chempedia.info
Toluene boilingpoint Big Chemical Encyclopedia What Is Boiling Point Benzene Benzene has a boiling point of 80.1 °c (176.2 °f) and a melting point of 5.5 °c (41.9 °f), and it is freely soluble in organic solvents, but only slightly soluble in water. It also shows the saturation pressure with changes in temperature. Explain why the boiling points of alcohols and phenols are much higher than those of alkanes, ethers,. What Is Boiling Point Benzene.
From advancedsafetytraining.com
Emergency Procedures Advanced Safety & Training What Is Boiling Point Benzene Explain why the boiling points of alcohols and phenols are much higher than those of alkanes, ethers, etc., of similar molecular mass. Benzene is a colourless liquid with a characteristic odour of formula c6h6. Benzene has a boiling point of 80.1 °c (176.2 °f) and a melting point of 5.5 °c (41.9 °f), and it is freely soluble in organic. What Is Boiling Point Benzene.
From www.chegg.com
Solved What is the boiling point? (Kb(benzene) 2.53 °C What Is Boiling Point Benzene The curve between the critical point and the triple point shows the benzene boiling point with changes in pressure. Explain why the boiling points of alcohols and phenols are much higher than those of alkanes, ethers, etc., of similar molecular mass. In the gas phase, the dipole moment of benzene is zero, but the presence of electronegative or electropositive substituents. What Is Boiling Point Benzene.
From www.chegg.com
Solved The boiling point diagram for a mixture of benzene What Is Boiling Point Benzene Benzene is a closed ring of six carbon atoms linked by bonds that alternate between single and double. In the gas phase, the dipole moment of benzene is zero, but the presence of electronegative or electropositive substituents can result in a net. It also shows the saturation pressure with changes in temperature. Benzene has a boiling point of 80.1 °c. What Is Boiling Point Benzene.
From www.numerade.com
SOLVED The boiling point diagram for a mixture of benzene and toluene What Is Boiling Point Benzene Explain why the boiling points of alcohols and phenols are much higher than those of alkanes, ethers, etc., of similar molecular mass. It also shows the saturation pressure with changes in temperature. Benzene has a boiling point of 80.1 °c (176.2 °f) and a melting point of 5.5 °c (41.9 °f), and it is freely soluble in organic solvents, but. What Is Boiling Point Benzene.
From byjus.com
The entropy of vaporization of benzene is 85 JK^ 1mol^ 1. When 117 g What Is Boiling Point Benzene It also shows the saturation pressure with changes in temperature. Benzene has a boiling point of 80.1 °c (176.2 °f) and a melting point of 5.5 °c (41.9 °f), and it is freely soluble in organic solvents, but only slightly soluble in water. In the gas phase, the dipole moment of benzene is zero, but the presence of electronegative or. What Is Boiling Point Benzene.
From www.numerade.com
SOLVED What is AS for the isothermal conversion of liquid benzene What Is Boiling Point Benzene The curve between the critical point and the triple point shows the benzene boiling point with changes in pressure. It also shows the saturation pressure with changes in temperature. Explain why the boiling points of alcohols and phenols are much higher than those of alkanes, ethers, etc., of similar molecular mass. Benzene is a colourless liquid with a characteristic odour. What Is Boiling Point Benzene.
From www.numerade.com
SOLVEDBesure to answer all parts What are the boiling point and What Is Boiling Point Benzene The curve between the critical point and the triple point shows the benzene boiling point with changes in pressure. In the gas phase, the dipole moment of benzene is zero, but the presence of electronegative or electropositive substituents can result in a net. Explain why the boiling points of alcohols and phenols are much higher than those of alkanes, ethers,. What Is Boiling Point Benzene.
From www.chegg.com
Solved The boiling point diagram for a mixture of benzene What Is Boiling Point Benzene Benzene is a closed ring of six carbon atoms linked by bonds that alternate between single and double. Benzene is a colourless liquid with a characteristic odour of formula c6h6. Benzene has a boiling point of 80.1 °c (176.2 °f) and a melting point of 5.5 °c (41.9 °f), and it is freely soluble in organic solvents, but only slightly. What Is Boiling Point Benzene.
From www.worksheetsplanet.com
What is Boiling Point What Is Boiling Point Benzene Explain why the boiling points of alcohols and phenols are much higher than those of alkanes, ethers, etc., of similar molecular mass. Benzene is a colourless liquid with a characteristic odour of formula c6h6. In the gas phase, the dipole moment of benzene is zero, but the presence of electronegative or electropositive substituents can result in a net. Benzene has. What Is Boiling Point Benzene.
From www.numerade.com
SOLVED The normal boiling point of benzene (C6H6) is 80°C and its What Is Boiling Point Benzene Benzene is a closed ring of six carbon atoms linked by bonds that alternate between single and double. The curve between the critical point and the triple point shows the benzene boiling point with changes in pressure. In the gas phase, the dipole moment of benzene is zero, but the presence of electronegative or electropositive substituents can result in a. What Is Boiling Point Benzene.
From www.bartleby.com
Answered What is the boiling point of benzene at… bartleby What Is Boiling Point Benzene In the gas phase, the dipole moment of benzene is zero, but the presence of electronegative or electropositive substituents can result in a net. It also shows the saturation pressure with changes in temperature. Explain why the boiling points of alcohols and phenols are much higher than those of alkanes, ethers, etc., of similar molecular mass. Benzene has a boiling. What Is Boiling Point Benzene.