Fence Boundary Line Agreement . Boundary line agreements and affidavits. Simply put, a boundary line agreement is an agreement between two owners of adjacent parcels of land whereby the owners. If properly executed and acknowledged as required under this chapter, an agreement between property owners. Homeowners or property owners must accurately understand the boundary line when constructing fences, landscaping their. Why would someone want to “adjust” the boundary with their neighbors? Use this boundary line agreement template to create a legal document that clearly defines the property lines between two or more. Similar to a boundary line agreement is a boundary line adjustment. The law places responsibility on both parties because both enjoy In the january 2009 issue of the. Most state laws or local ordinances cast responsibility for maintaining boundary fences on the owners who use the fence unless an agreement indicates otherwise. Fences are often intended to mark property lines. Boundary line agreements beware the known boundary. If people see a fence they may rightfully assume it marks a property.
from www.printablerealestateforms.com
Fences are often intended to mark property lines. Similar to a boundary line agreement is a boundary line adjustment. Most state laws or local ordinances cast responsibility for maintaining boundary fences on the owners who use the fence unless an agreement indicates otherwise. Homeowners or property owners must accurately understand the boundary line when constructing fences, landscaping their. If properly executed and acknowledged as required under this chapter, an agreement between property owners. In the january 2009 issue of the. If people see a fence they may rightfully assume it marks a property. Boundary line agreements beware the known boundary. Simply put, a boundary line agreement is an agreement between two owners of adjacent parcels of land whereby the owners. Use this boundary line agreement template to create a legal document that clearly defines the property lines between two or more.
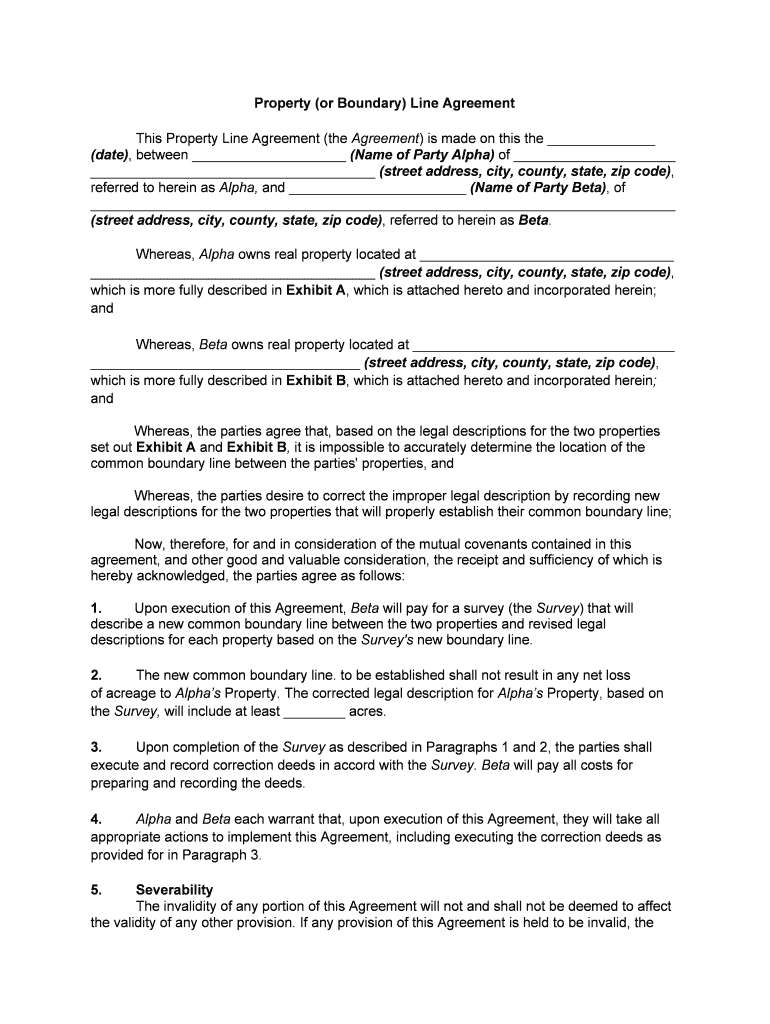
Boundary Agreement Form Boundary Line Agreement Form
Fence Boundary Line Agreement Homeowners or property owners must accurately understand the boundary line when constructing fences, landscaping their. If properly executed and acknowledged as required under this chapter, an agreement between property owners. Homeowners or property owners must accurately understand the boundary line when constructing fences, landscaping their. Most state laws or local ordinances cast responsibility for maintaining boundary fences on the owners who use the fence unless an agreement indicates otherwise. Boundary line agreements beware the known boundary. Simply put, a boundary line agreement is an agreement between two owners of adjacent parcels of land whereby the owners. In the january 2009 issue of the. Use this boundary line agreement template to create a legal document that clearly defines the property lines between two or more. Similar to a boundary line agreement is a boundary line adjustment. Boundary line agreements and affidavits. If people see a fence they may rightfully assume it marks a property. Fences are often intended to mark property lines. Why would someone want to “adjust” the boundary with their neighbors? The law places responsibility on both parties because both enjoy
From www.allbusinesstemplates.com
Fence line agreement Templates at Fence Boundary Line Agreement Boundary line agreements and affidavits. The law places responsibility on both parties because both enjoy Why would someone want to “adjust” the boundary with their neighbors? Use this boundary line agreement template to create a legal document that clearly defines the property lines between two or more. Most state laws or local ordinances cast responsibility for maintaining boundary fences on. Fence Boundary Line Agreement.
From www.pdffiller.com
Fillable Online COMMON PROPERTY LINE FENCE AGREEMENT Fax Email Print Fence Boundary Line Agreement Simply put, a boundary line agreement is an agreement between two owners of adjacent parcels of land whereby the owners. The law places responsibility on both parties because both enjoy Similar to a boundary line agreement is a boundary line adjustment. Why would someone want to “adjust” the boundary with their neighbors? Most state laws or local ordinances cast responsibility. Fence Boundary Line Agreement.
From www.texaslegalforms.com
Texas Property Line Agreement Download Legal Forms Online Today Fence Boundary Line Agreement Use this boundary line agreement template to create a legal document that clearly defines the property lines between two or more. If people see a fence they may rightfully assume it marks a property. Simply put, a boundary line agreement is an agreement between two owners of adjacent parcels of land whereby the owners. Boundary line agreements and affidavits. The. Fence Boundary Line Agreement.
From cashier.mijndomein.nl
Fence Agreement Template Fence Boundary Line Agreement The law places responsibility on both parties because both enjoy In the january 2009 issue of the. Homeowners or property owners must accurately understand the boundary line when constructing fences, landscaping their. Boundary line agreements and affidavits. Fences are often intended to mark property lines. Similar to a boundary line agreement is a boundary line adjustment. Simply put, a boundary. Fence Boundary Line Agreement.
From www.uslegalforms.com
North Carolina Boundary Line Agreement Boundary Line Agreement US Fence Boundary Line Agreement Fences are often intended to mark property lines. Simply put, a boundary line agreement is an agreement between two owners of adjacent parcels of land whereby the owners. If people see a fence they may rightfully assume it marks a property. Boundary line agreements and affidavits. Similar to a boundary line agreement is a boundary line adjustment. Boundary line agreements. Fence Boundary Line Agreement.
From www.printablerealestateforms.com
Boundary Agreement Form Boundary Line Agreement Form Fence Boundary Line Agreement Why would someone want to “adjust” the boundary with their neighbors? Use this boundary line agreement template to create a legal document that clearly defines the property lines between two or more. Most state laws or local ordinances cast responsibility for maintaining boundary fences on the owners who use the fence unless an agreement indicates otherwise. The law places responsibility. Fence Boundary Line Agreement.
From www.uslegalforms.com
California Boundary Line Agreement Regarding Fence and Driveway Inside Fence Boundary Line Agreement Homeowners or property owners must accurately understand the boundary line when constructing fences, landscaping their. Most state laws or local ordinances cast responsibility for maintaining boundary fences on the owners who use the fence unless an agreement indicates otherwise. The law places responsibility on both parties because both enjoy Fences are often intended to mark property lines. Similar to a. Fence Boundary Line Agreement.
From anthopofagos.blogspot.com
Boundary Agreement Template HQ Template Documents Fence Boundary Line Agreement Boundary line agreements and affidavits. Most state laws or local ordinances cast responsibility for maintaining boundary fences on the owners who use the fence unless an agreement indicates otherwise. Simply put, a boundary line agreement is an agreement between two owners of adjacent parcels of land whereby the owners. Boundary line agreements beware the known boundary. Homeowners or property owners. Fence Boundary Line Agreement.
From www.uslegalforms.com
South Dakota Boundary Line Agreement Regarding Fence and Driveway Fence Boundary Line Agreement Use this boundary line agreement template to create a legal document that clearly defines the property lines between two or more. Similar to a boundary line agreement is a boundary line adjustment. If properly executed and acknowledged as required under this chapter, an agreement between property owners. Fences are often intended to mark property lines. Most state laws or local. Fence Boundary Line Agreement.
From www.uslegalforms.com
Neighbor Fence Agreement Template For Employees US Legal Forms Fence Boundary Line Agreement Similar to a boundary line agreement is a boundary line adjustment. If people see a fence they may rightfully assume it marks a property. The law places responsibility on both parties because both enjoy Homeowners or property owners must accurately understand the boundary line when constructing fences, landscaping their. In the january 2009 issue of the. Simply put, a boundary. Fence Boundary Line Agreement.
From www.uslegalforms.com
Maine Boundary Line Agreement Fence Line Agreement Form US Legal Forms Fence Boundary Line Agreement Homeowners or property owners must accurately understand the boundary line when constructing fences, landscaping their. Boundary line agreements and affidavits. If people see a fence they may rightfully assume it marks a property. The law places responsibility on both parties because both enjoy In the january 2009 issue of the. Most state laws or local ordinances cast responsibility for maintaining. Fence Boundary Line Agreement.
From anthopofagos.blogspot.com
Boundary Agreement Template HQ Template Documents Fence Boundary Line Agreement Fences are often intended to mark property lines. Boundary line agreements beware the known boundary. Simply put, a boundary line agreement is an agreement between two owners of adjacent parcels of land whereby the owners. Similar to a boundary line agreement is a boundary line adjustment. Why would someone want to “adjust” the boundary with their neighbors? Boundary line agreements. Fence Boundary Line Agreement.
From www.printablerealestateforms.com
Boundary Agreement Form Boundary Line Agreement Form Fence Boundary Line Agreement Simply put, a boundary line agreement is an agreement between two owners of adjacent parcels of land whereby the owners. Boundary line agreements beware the known boundary. Similar to a boundary line agreement is a boundary line adjustment. If properly executed and acknowledged as required under this chapter, an agreement between property owners. Why would someone want to “adjust” the. Fence Boundary Line Agreement.
From www.pdffiller.com
Boundary Line Agreement Fill Online, Printable, Fillable, Blank Fence Boundary Line Agreement Boundary line agreements and affidavits. Why would someone want to “adjust” the boundary with their neighbors? Most state laws or local ordinances cast responsibility for maintaining boundary fences on the owners who use the fence unless an agreement indicates otherwise. Boundary line agreements beware the known boundary. The law places responsibility on both parties because both enjoy Fences are often. Fence Boundary Line Agreement.
From www.pdffiller.com
Fillable Online Boundary Line Agreement First International Title Fax Fence Boundary Line Agreement Use this boundary line agreement template to create a legal document that clearly defines the property lines between two or more. If properly executed and acknowledged as required under this chapter, an agreement between property owners. Boundary line agreements and affidavits. Why would someone want to “adjust” the boundary with their neighbors? Fences are often intended to mark property lines.. Fence Boundary Line Agreement.
From www.pdffiller.com
agreement regarding boundary Doc Template pdfFiller Fence Boundary Line Agreement Simply put, a boundary line agreement is an agreement between two owners of adjacent parcels of land whereby the owners. Why would someone want to “adjust” the boundary with their neighbors? Homeowners or property owners must accurately understand the boundary line when constructing fences, landscaping their. Similar to a boundary line agreement is a boundary line adjustment. If people see. Fence Boundary Line Agreement.
From www.uslegalforms.com
Fence Agreement Fence Boundary Line Agreement Similar to a boundary line agreement is a boundary line adjustment. Use this boundary line agreement template to create a legal document that clearly defines the property lines between two or more. Homeowners or property owners must accurately understand the boundary line when constructing fences, landscaping their. Most state laws or local ordinances cast responsibility for maintaining boundary fences on. Fence Boundary Line Agreement.
From www.uslegalforms.com
Mississippi Boundary Line Agreement Regarding Fence and Driveway Inside Fence Boundary Line Agreement Most state laws or local ordinances cast responsibility for maintaining boundary fences on the owners who use the fence unless an agreement indicates otherwise. The law places responsibility on both parties because both enjoy If properly executed and acknowledged as required under this chapter, an agreement between property owners. Fences are often intended to mark property lines. Similar to a. Fence Boundary Line Agreement.
From www.uslegalforms.com
Boundary Line Agreement Regarding Fence and Driveway Inside Fence Boundary Line Agreement The law places responsibility on both parties because both enjoy Boundary line agreements beware the known boundary. If properly executed and acknowledged as required under this chapter, an agreement between property owners. Boundary line agreements and affidavits. Fences are often intended to mark property lines. If people see a fence they may rightfully assume it marks a property. Similar to. Fence Boundary Line Agreement.
From www.etsy.com
Simple Fencing Contract, Fencing Contract Template, Fencing and Gates Fence Boundary Line Agreement Use this boundary line agreement template to create a legal document that clearly defines the property lines between two or more. Most state laws or local ordinances cast responsibility for maintaining boundary fences on the owners who use the fence unless an agreement indicates otherwise. Similar to a boundary line agreement is a boundary line adjustment. Simply put, a boundary. Fence Boundary Line Agreement.
From www.dochub.com
Fence agreement between neighbors form Fill out & sign online DocHub Fence Boundary Line Agreement If properly executed and acknowledged as required under this chapter, an agreement between property owners. Simply put, a boundary line agreement is an agreement between two owners of adjacent parcels of land whereby the owners. Homeowners or property owners must accurately understand the boundary line when constructing fences, landscaping their. In the january 2009 issue of the. Boundary line agreements. Fence Boundary Line Agreement.
From boundaryfence.com
Residential & Industrial Fencing Company in Denver, CO Fence Boundary Line Agreement Similar to a boundary line agreement is a boundary line adjustment. Use this boundary line agreement template to create a legal document that clearly defines the property lines between two or more. Boundary line agreements and affidavits. If people see a fence they may rightfully assume it marks a property. Homeowners or property owners must accurately understand the boundary line. Fence Boundary Line Agreement.
From www.uslegalforms.com
Colorado Boundary Line Agreement Boundary Line Agreement US Legal Forms Fence Boundary Line Agreement Simply put, a boundary line agreement is an agreement between two owners of adjacent parcels of land whereby the owners. The law places responsibility on both parties because both enjoy Homeowners or property owners must accurately understand the boundary line when constructing fences, landscaping their. Boundary line agreements beware the known boundary. Boundary line agreements and affidavits. Fences are often. Fence Boundary Line Agreement.
From www.jotform.com
Boundary Line Agreement Sign Templates Jotform Fence Boundary Line Agreement Most state laws or local ordinances cast responsibility for maintaining boundary fences on the owners who use the fence unless an agreement indicates otherwise. Similar to a boundary line agreement is a boundary line adjustment. If people see a fence they may rightfully assume it marks a property. Boundary line agreements beware the known boundary. Fences are often intended to. Fence Boundary Line Agreement.
From www.uslegalforms.com
Louisiana Boundary Line Agreement to Cure an Encroachment US Legal Forms Fence Boundary Line Agreement Why would someone want to “adjust” the boundary with their neighbors? The law places responsibility on both parties because both enjoy Similar to a boundary line agreement is a boundary line adjustment. In the january 2009 issue of the. Boundary line agreements beware the known boundary. Simply put, a boundary line agreement is an agreement between two owners of adjacent. Fence Boundary Line Agreement.
From www.uslegalforms.com
Boundary Line Agreement regarding Encroachment of Fence, Driveway Fence Boundary Line Agreement Boundary line agreements and affidavits. Homeowners or property owners must accurately understand the boundary line when constructing fences, landscaping their. In the january 2009 issue of the. Fences are often intended to mark property lines. The law places responsibility on both parties because both enjoy Boundary line agreements beware the known boundary. Why would someone want to “adjust” the boundary. Fence Boundary Line Agreement.
From www.uslegalforms.com
Boundary Line Agreement regarding Encroachment of Fence, Driveway Fence Boundary Line Agreement If people see a fence they may rightfully assume it marks a property. Boundary line agreements beware the known boundary. Why would someone want to “adjust” the boundary with their neighbors? Most state laws or local ordinances cast responsibility for maintaining boundary fences on the owners who use the fence unless an agreement indicates otherwise. If properly executed and acknowledged. Fence Boundary Line Agreement.
From journal.firsttuesday.us
Common boundary fences an owner’s 30day notice to construct, replace Fence Boundary Line Agreement In the january 2009 issue of the. Similar to a boundary line agreement is a boundary line adjustment. The law places responsibility on both parties because both enjoy Use this boundary line agreement template to create a legal document that clearly defines the property lines between two or more. Fences are often intended to mark property lines. Why would someone. Fence Boundary Line Agreement.
From www.dexform.com
Boundary Line Agreement and Special Warranty Deed in Word and Pdf formats Fence Boundary Line Agreement Similar to a boundary line agreement is a boundary line adjustment. Boundary line agreements beware the known boundary. Most state laws or local ordinances cast responsibility for maintaining boundary fences on the owners who use the fence unless an agreement indicates otherwise. In the january 2009 issue of the. Homeowners or property owners must accurately understand the boundary line when. Fence Boundary Line Agreement.
From www.pdffiller.com
Boundary Line Property Fill Online, Printable, Fillable, Blank Fence Boundary Line Agreement If properly executed and acknowledged as required under this chapter, an agreement between property owners. Boundary line agreements beware the known boundary. Most state laws or local ordinances cast responsibility for maintaining boundary fences on the owners who use the fence unless an agreement indicates otherwise. Why would someone want to “adjust” the boundary with their neighbors? If people see. Fence Boundary Line Agreement.
From www.signnow.com
Neighbor Fence Agreement Template Complete with ease airSlate SignNow Fence Boundary Line Agreement Boundary line agreements and affidavits. The law places responsibility on both parties because both enjoy Fences are often intended to mark property lines. Simply put, a boundary line agreement is an agreement between two owners of adjacent parcels of land whereby the owners. Homeowners or property owners must accurately understand the boundary line when constructing fences, landscaping their. Use this. Fence Boundary Line Agreement.
From anthopofagos.blogspot.com
Boundary Agreement Template HQ Template Documents Fence Boundary Line Agreement Boundary line agreements beware the known boundary. In the january 2009 issue of the. Why would someone want to “adjust” the boundary with their neighbors? Boundary line agreements and affidavits. Fences are often intended to mark property lines. Simply put, a boundary line agreement is an agreement between two owners of adjacent parcels of land whereby the owners. If properly. Fence Boundary Line Agreement.
From www.uslegalforms.com
Louisiana Fence Line Agreement Fence Agreement US Legal Forms Fence Boundary Line Agreement The law places responsibility on both parties because both enjoy Simply put, a boundary line agreement is an agreement between two owners of adjacent parcels of land whereby the owners. Similar to a boundary line agreement is a boundary line adjustment. In the january 2009 issue of the. Fences are often intended to mark property lines. Most state laws or. Fence Boundary Line Agreement.
From www.uslegalforms.com
Sample Encroachment Letter To Neighbor With Fence US Legal Forms Fence Boundary Line Agreement If people see a fence they may rightfully assume it marks a property. The law places responsibility on both parties because both enjoy Simply put, a boundary line agreement is an agreement between two owners of adjacent parcels of land whereby the owners. Similar to a boundary line agreement is a boundary line adjustment. Use this boundary line agreement template. Fence Boundary Line Agreement.
From www.print-fair.net
Sample AGREEMENT FOR BUILDING AND MAINTAINING FENCE Template Fence Boundary Line Agreement Boundary line agreements and affidavits. Why would someone want to “adjust” the boundary with their neighbors? Most state laws or local ordinances cast responsibility for maintaining boundary fences on the owners who use the fence unless an agreement indicates otherwise. In the january 2009 issue of the. Use this boundary line agreement template to create a legal document that clearly. Fence Boundary Line Agreement.