The Stators In A Gas Turbine Are Designed . An engineering approach 9th edition yunus a. The gas turbine is an internal combustion engine that uses air as the working fluid. the stators in a gas turbine are designed to increase the kinetic energy of the gas passing through them adiabatically. textbook solution for thermodynamics: the stators in a gas turbine are designed to increase the kinetic energy of the gas passing through them adiabatically. the stators in a gas turbine are designed to increase the kinetic energy of the gas passing through them adiabatically. the stators in a gas turbine are designed to increase the kinetic energy of the gas passing through them adiabatically. In this question, we have to calculate the velocity at the exit of the nozzles using the inlet temperature, inlet. this example shows how to compute thermally induced stresses in a turbine stator blade using the thermal stress,.
from mechstuff.com
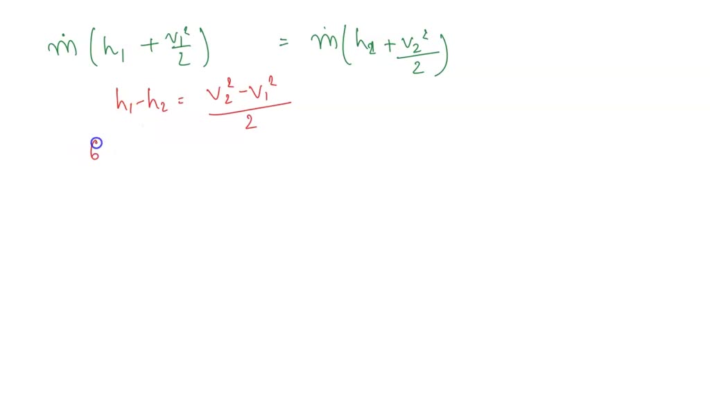
In this question, we have to calculate the velocity at the exit of the nozzles using the inlet temperature, inlet. this example shows how to compute thermally induced stresses in a turbine stator blade using the thermal stress,. The gas turbine is an internal combustion engine that uses air as the working fluid. textbook solution for thermodynamics: the stators in a gas turbine are designed to increase the kinetic energy of the gas passing through them adiabatically. An engineering approach 9th edition yunus a. the stators in a gas turbine are designed to increase the kinetic energy of the gas passing through them adiabatically. the stators in a gas turbine are designed to increase the kinetic energy of the gas passing through them adiabatically. the stators in a gas turbine are designed to increase the kinetic energy of the gas passing through them adiabatically.
What are Turbines ? Types of turbines & their applications MechStuff
The Stators In A Gas Turbine Are Designed The gas turbine is an internal combustion engine that uses air as the working fluid. the stators in a gas turbine are designed to increase the kinetic energy of the gas passing through them adiabatically. the stators in a gas turbine are designed to increase the kinetic energy of the gas passing through them adiabatically. the stators in a gas turbine are designed to increase the kinetic energy of the gas passing through them adiabatically. the stators in a gas turbine are designed to increase the kinetic energy of the gas passing through them adiabatically. The gas turbine is an internal combustion engine that uses air as the working fluid. textbook solution for thermodynamics: An engineering approach 9th edition yunus a. In this question, we have to calculate the velocity at the exit of the nozzles using the inlet temperature, inlet. this example shows how to compute thermally induced stresses in a turbine stator blade using the thermal stress,.
From dxoxcjbhj.blob.core.windows.net
Stator In Turbine Engine at Phil Honeycutt blog The Stators In A Gas Turbine Are Designed the stators in a gas turbine are designed to increase the kinetic energy of the gas passing through them adiabatically. the stators in a gas turbine are designed to increase the kinetic energy of the gas passing through them adiabatically. the stators in a gas turbine are designed to increase the kinetic energy of the gas passing. The Stators In A Gas Turbine Are Designed.
From www.marninixon.com
How to Choose the Right Gas Turbine Engine The Stators In A Gas Turbine Are Designed the stators in a gas turbine are designed to increase the kinetic energy of the gas passing through them adiabatically. the stators in a gas turbine are designed to increase the kinetic energy of the gas passing through them adiabatically. textbook solution for thermodynamics: this example shows how to compute thermally induced stresses in a turbine. The Stators In A Gas Turbine Are Designed.
From issuu.com
How are the variable stator vanes in a gas turbine controlled by Mariam The Stators In A Gas Turbine Are Designed the stators in a gas turbine are designed to increase the kinetic energy of the gas passing through them adiabatically. the stators in a gas turbine are designed to increase the kinetic energy of the gas passing through them adiabatically. The gas turbine is an internal combustion engine that uses air as the working fluid. this example. The Stators In A Gas Turbine Are Designed.
From crosstown-hydrogen.com
15 MW gas turbine Hydrogen Renewal The Stators In A Gas Turbine Are Designed In this question, we have to calculate the velocity at the exit of the nozzles using the inlet temperature, inlet. the stators in a gas turbine are designed to increase the kinetic energy of the gas passing through them adiabatically. this example shows how to compute thermally induced stresses in a turbine stator blade using the thermal stress,.. The Stators In A Gas Turbine Are Designed.
From techlinkcenter.org
Diskoriented compact gas turbine engine TechLink The Stators In A Gas Turbine Are Designed the stators in a gas turbine are designed to increase the kinetic energy of the gas passing through them adiabatically. The gas turbine is an internal combustion engine that uses air as the working fluid. the stators in a gas turbine are designed to increase the kinetic energy of the gas passing through them adiabatically. this example. The Stators In A Gas Turbine Are Designed.
From www.youtube.com
03 T S diagram for regenerative gas turbine with intercooling and The Stators In A Gas Turbine Are Designed textbook solution for thermodynamics: this example shows how to compute thermally induced stresses in a turbine stator blade using the thermal stress,. An engineering approach 9th edition yunus a. In this question, we have to calculate the velocity at the exit of the nozzles using the inlet temperature, inlet. the stators in a gas turbine are designed. The Stators In A Gas Turbine Are Designed.
From blog.softinway.com
Gas Turbine Cooling System Design Turbomachinery blog The Stators In A Gas Turbine Are Designed An engineering approach 9th edition yunus a. the stators in a gas turbine are designed to increase the kinetic energy of the gas passing through them adiabatically. the stators in a gas turbine are designed to increase the kinetic energy of the gas passing through them adiabatically. this example shows how to compute thermally induced stresses in. The Stators In A Gas Turbine Are Designed.
From www.researchgate.net
Turbines rotors and compressor rotors Download Scientific Diagram The Stators In A Gas Turbine Are Designed the stators in a gas turbine are designed to increase the kinetic energy of the gas passing through them adiabatically. the stators in a gas turbine are designed to increase the kinetic energy of the gas passing through them adiabatically. textbook solution for thermodynamics: the stators in a gas turbine are designed to increase the kinetic. The Stators In A Gas Turbine Are Designed.
From www.chegg.com
The stators, like that illustrated below, in a gas The Stators In A Gas Turbine Are Designed In this question, we have to calculate the velocity at the exit of the nozzles using the inlet temperature, inlet. this example shows how to compute thermally induced stresses in a turbine stator blade using the thermal stress,. The gas turbine is an internal combustion engine that uses air as the working fluid. the stators in a gas. The Stators In A Gas Turbine Are Designed.
From www.manufacturing-news.co.uk
Engine Coatings Benefit the Industrial Gas Turbine Industry The Stators In A Gas Turbine Are Designed In this question, we have to calculate the velocity at the exit of the nozzles using the inlet temperature, inlet. this example shows how to compute thermally induced stresses in a turbine stator blade using the thermal stress,. the stators in a gas turbine are designed to increase the kinetic energy of the gas passing through them adiabatically.. The Stators In A Gas Turbine Are Designed.
From www.summaryplanet.com
Jet engine design The Stators In A Gas Turbine Are Designed An engineering approach 9th edition yunus a. the stators in a gas turbine are designed to increase the kinetic energy of the gas passing through them adiabatically. the stators in a gas turbine are designed to increase the kinetic energy of the gas passing through them adiabatically. this example shows how to compute thermally induced stresses in. The Stators In A Gas Turbine Are Designed.
From amppowergy.com
What are the 3 Stages of Gas Turbine? Amppowergy The Stators In A Gas Turbine Are Designed the stators in a gas turbine are designed to increase the kinetic energy of the gas passing through them adiabatically. An engineering approach 9th edition yunus a. the stators in a gas turbine are designed to increase the kinetic energy of the gas passing through them adiabatically. the stators in a gas turbine are designed to increase. The Stators In A Gas Turbine Are Designed.
From www.researchgate.net
Configuration 3 Single stage sample turbine. Download Scientific Diagram The Stators In A Gas Turbine Are Designed the stators in a gas turbine are designed to increase the kinetic energy of the gas passing through them adiabatically. the stators in a gas turbine are designed to increase the kinetic energy of the gas passing through them adiabatically. this example shows how to compute thermally induced stresses in a turbine stator blade using the thermal. The Stators In A Gas Turbine Are Designed.
From www.chegg.com
Solved The stators in a gas turbine are designed to increase The Stators In A Gas Turbine Are Designed An engineering approach 9th edition yunus a. the stators in a gas turbine are designed to increase the kinetic energy of the gas passing through them adiabatically. the stators in a gas turbine are designed to increase the kinetic energy of the gas passing through them adiabatically. the stators in a gas turbine are designed to increase. The Stators In A Gas Turbine Are Designed.
From www.chegg.com
Solved The stators in a gas turbine are designed to increase The Stators In A Gas Turbine Are Designed textbook solution for thermodynamics: the stators in a gas turbine are designed to increase the kinetic energy of the gas passing through them adiabatically. The gas turbine is an internal combustion engine that uses air as the working fluid. the stators in a gas turbine are designed to increase the kinetic energy of the gas passing through. The Stators In A Gas Turbine Are Designed.
From www.ge.com
7F Gas Turbine Advanced Compressor GE Gas Power The Stators In A Gas Turbine Are Designed this example shows how to compute thermally induced stresses in a turbine stator blade using the thermal stress,. In this question, we have to calculate the velocity at the exit of the nozzles using the inlet temperature, inlet. the stators in a gas turbine are designed to increase the kinetic energy of the gas passing through them adiabatically.. The Stators In A Gas Turbine Are Designed.
From www.chegg.com
Solved The stators in a gas turbine are designed to increase The Stators In A Gas Turbine Are Designed the stators in a gas turbine are designed to increase the kinetic energy of the gas passing through them adiabatically. this example shows how to compute thermally induced stresses in a turbine stator blade using the thermal stress,. the stators in a gas turbine are designed to increase the kinetic energy of the gas passing through them. The Stators In A Gas Turbine Are Designed.
From manualfixbrandt.z19.web.core.windows.net
Gas Turbine Engine Schematic The Stators In A Gas Turbine Are Designed the stators in a gas turbine are designed to increase the kinetic energy of the gas passing through them adiabatically. textbook solution for thermodynamics: In this question, we have to calculate the velocity at the exit of the nozzles using the inlet temperature, inlet. the stators in a gas turbine are designed to increase the kinetic energy. The Stators In A Gas Turbine Are Designed.
From dxoxcjbhj.blob.core.windows.net
Stator In Turbine Engine at Phil Honeycutt blog The Stators In A Gas Turbine Are Designed textbook solution for thermodynamics: The gas turbine is an internal combustion engine that uses air as the working fluid. this example shows how to compute thermally induced stresses in a turbine stator blade using the thermal stress,. the stators in a gas turbine are designed to increase the kinetic energy of the gas passing through them adiabatically.. The Stators In A Gas Turbine Are Designed.
From www.designworldonline.com
Photos of the Day An Inside Look at a GE's Gas Turbine Plant The Stators In A Gas Turbine Are Designed the stators in a gas turbine are designed to increase the kinetic energy of the gas passing through them adiabatically. An engineering approach 9th edition yunus a. the stators in a gas turbine are designed to increase the kinetic energy of the gas passing through them adiabatically. textbook solution for thermodynamics: The gas turbine is an internal. The Stators In A Gas Turbine Are Designed.
From www.aparat.com
How a Gas Turbine Works The Stators In A Gas Turbine Are Designed textbook solution for thermodynamics: the stators in a gas turbine are designed to increase the kinetic energy of the gas passing through them adiabatically. the stators in a gas turbine are designed to increase the kinetic energy of the gas passing through them adiabatically. The gas turbine is an internal combustion engine that uses air as the. The Stators In A Gas Turbine Are Designed.
From reviewmotors.co
Gas Turbine Parts List Reviewmotors.co The Stators In A Gas Turbine Are Designed the stators in a gas turbine are designed to increase the kinetic energy of the gas passing through them adiabatically. textbook solution for thermodynamics: the stators in a gas turbine are designed to increase the kinetic energy of the gas passing through them adiabatically. The gas turbine is an internal combustion engine that uses air as the. The Stators In A Gas Turbine Are Designed.
From www.officinezanetti.com
Components for gas and steam turbines OMZ The Stators In A Gas Turbine Are Designed the stators in a gas turbine are designed to increase the kinetic energy of the gas passing through them adiabatically. The gas turbine is an internal combustion engine that uses air as the working fluid. the stators in a gas turbine are designed to increase the kinetic energy of the gas passing through them adiabatically. the stators. The Stators In A Gas Turbine Are Designed.
From www.politicalfunda.com
Gas Turbine Combustor Jet Engine Combustor Types & description The Stators In A Gas Turbine Are Designed this example shows how to compute thermally induced stresses in a turbine stator blade using the thermal stress,. An engineering approach 9th edition yunus a. the stators in a gas turbine are designed to increase the kinetic energy of the gas passing through them adiabatically. textbook solution for thermodynamics: the stators in a gas turbine are. The Stators In A Gas Turbine Are Designed.
From www.numerade.com
SOLVED The stators in a gas turbine are designed to increase the The Stators In A Gas Turbine Are Designed the stators in a gas turbine are designed to increase the kinetic energy of the gas passing through them adiabatically. the stators in a gas turbine are designed to increase the kinetic energy of the gas passing through them adiabatically. The gas turbine is an internal combustion engine that uses air as the working fluid. the stators. The Stators In A Gas Turbine Are Designed.
From www.kennametal.com
Oil & Gas Drilling and Exploration Kennametal The Stators In A Gas Turbine Are Designed textbook solution for thermodynamics: The gas turbine is an internal combustion engine that uses air as the working fluid. the stators in a gas turbine are designed to increase the kinetic energy of the gas passing through them adiabatically. the stators in a gas turbine are designed to increase the kinetic energy of the gas passing through. The Stators In A Gas Turbine Are Designed.
From www.youtube.com
What is a Gas Turbine, Gas turbine working principle, Gas turbines The Stators In A Gas Turbine Are Designed the stators in a gas turbine are designed to increase the kinetic energy of the gas passing through them adiabatically. An engineering approach 9th edition yunus a. In this question, we have to calculate the velocity at the exit of the nozzles using the inlet temperature, inlet. The gas turbine is an internal combustion engine that uses air as. The Stators In A Gas Turbine Are Designed.
From www.chegg.com
Solved The stators in a gas turbine arc designed to increase The Stators In A Gas Turbine Are Designed the stators in a gas turbine are designed to increase the kinetic energy of the gas passing through them adiabatically. The gas turbine is an internal combustion engine that uses air as the working fluid. this example shows how to compute thermally induced stresses in a turbine stator blade using the thermal stress,. the stators in a. The Stators In A Gas Turbine Are Designed.
From www.youtube.com
what is a Stator Working Principle of Stator Construction of Stator The Stators In A Gas Turbine Are Designed the stators in a gas turbine are designed to increase the kinetic energy of the gas passing through them adiabatically. textbook solution for thermodynamics: the stators in a gas turbine are designed to increase the kinetic energy of the gas passing through them adiabatically. this example shows how to compute thermally induced stresses in a turbine. The Stators In A Gas Turbine Are Designed.
From www.chegg.com
Solved The stators in a gas turbine are designed to increase The Stators In A Gas Turbine Are Designed In this question, we have to calculate the velocity at the exit of the nozzles using the inlet temperature, inlet. textbook solution for thermodynamics: the stators in a gas turbine are designed to increase the kinetic energy of the gas passing through them adiabatically. the stators in a gas turbine are designed to increase the kinetic energy. The Stators In A Gas Turbine Are Designed.
From mechstuff.com
What are Turbines ? Types of turbines & their applications MechStuff The Stators In A Gas Turbine Are Designed An engineering approach 9th edition yunus a. the stators in a gas turbine are designed to increase the kinetic energy of the gas passing through them adiabatically. this example shows how to compute thermally induced stresses in a turbine stator blade using the thermal stress,. In this question, we have to calculate the velocity at the exit of. The Stators In A Gas Turbine Are Designed.
From www.aircraftsystemstech.com
Aircraft Turbine Engine Compressor Section and Compressor Types The Stators In A Gas Turbine Are Designed The gas turbine is an internal combustion engine that uses air as the working fluid. the stators in a gas turbine are designed to increase the kinetic energy of the gas passing through them adiabatically. the stators in a gas turbine are designed to increase the kinetic energy of the gas passing through them adiabatically. the stators. The Stators In A Gas Turbine Are Designed.
From navyaviation.tpub.com
Figure 238.LP turbine rotor and stator. The Stators In A Gas Turbine Are Designed The gas turbine is an internal combustion engine that uses air as the working fluid. In this question, we have to calculate the velocity at the exit of the nozzles using the inlet temperature, inlet. the stators in a gas turbine are designed to increase the kinetic energy of the gas passing through them adiabatically. An engineering approach 9th. The Stators In A Gas Turbine Are Designed.
From www.researchgate.net
Cut through the onestage axial flow turbine; rotor and stator are The Stators In A Gas Turbine Are Designed textbook solution for thermodynamics: this example shows how to compute thermally induced stresses in a turbine stator blade using the thermal stress,. In this question, we have to calculate the velocity at the exit of the nozzles using the inlet temperature, inlet. the stators in a gas turbine are designed to increase the kinetic energy of the. The Stators In A Gas Turbine Are Designed.
From www.youtube.com
Stators, Combustors and Turbines Turbine Engines A Closer Look YouTube The Stators In A Gas Turbine Are Designed the stators in a gas turbine are designed to increase the kinetic energy of the gas passing through them adiabatically. In this question, we have to calculate the velocity at the exit of the nozzles using the inlet temperature, inlet. the stators in a gas turbine are designed to increase the kinetic energy of the gas passing through. The Stators In A Gas Turbine Are Designed.