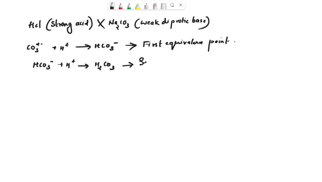
Titration Curve Of Na2Co3 . Let's take a look at the titration curve of mixture containing 0.1 m of sodium hydroxide and 0.1 m of disodium carbonate. The ph at the equivalence point of titration of $\ce{na2co3}$ solution with $\ce{hcl}$ is around 3.7, as shown in this titration curve: Titrating with standard acid, usually hcl, makes it possible to determine the total alkalinity of the soda ash. This experiment involves the titration of sodium carbonate by a strong acid, hcl. The volume of the titrant added. This type of analysis is important in determining the. It is common practice to report the. At this point, the following.
from www.slideserve.com
The ph at the equivalence point of titration of $\ce{na2co3}$ solution with $\ce{hcl}$ is around 3.7, as shown in this titration curve: The volume of the titrant added. At this point, the following. This experiment involves the titration of sodium carbonate by a strong acid, hcl. It is common practice to report the. This type of analysis is important in determining the. Titrating with standard acid, usually hcl, makes it possible to determine the total alkalinity of the soda ash. Let's take a look at the titration curve of mixture containing 0.1 m of sodium hydroxide and 0.1 m of disodium carbonate.
PPT Titration of Sodium Carbonate PowerPoint Presentation, free
Titration Curve Of Na2Co3 It is common practice to report the. This experiment involves the titration of sodium carbonate by a strong acid, hcl. This type of analysis is important in determining the. At this point, the following. It is common practice to report the. The ph at the equivalence point of titration of $\ce{na2co3}$ solution with $\ce{hcl}$ is around 3.7, as shown in this titration curve: Titrating with standard acid, usually hcl, makes it possible to determine the total alkalinity of the soda ash. Let's take a look at the titration curve of mixture containing 0.1 m of sodium hydroxide and 0.1 m of disodium carbonate. The volume of the titrant added.
From www.chegg.com
Solved A curve for the 25.00 mL titration of Na2CO3 0.1000 M Titration Curve Of Na2Co3 The ph at the equivalence point of titration of $\ce{na2co3}$ solution with $\ce{hcl}$ is around 3.7, as shown in this titration curve: Titrating with standard acid, usually hcl, makes it possible to determine the total alkalinity of the soda ash. It is common practice to report the. This experiment involves the titration of sodium carbonate by a strong acid, hcl.. Titration Curve Of Na2Co3.
From www.slideserve.com
PPT TITRATION CURVES PowerPoint Presentation, free download ID1130069 Titration Curve Of Na2Co3 It is common practice to report the. At this point, the following. Let's take a look at the titration curve of mixture containing 0.1 m of sodium hydroxide and 0.1 m of disodium carbonate. The volume of the titrant added. The ph at the equivalence point of titration of $\ce{na2co3}$ solution with $\ce{hcl}$ is around 3.7, as shown in this. Titration Curve Of Na2Co3.
From www.numerade.com
SOLVED Please draw a titration curve to illustrate the pH change (y Titration Curve Of Na2Co3 It is common practice to report the. The volume of the titrant added. This type of analysis is important in determining the. Let's take a look at the titration curve of mixture containing 0.1 m of sodium hydroxide and 0.1 m of disodium carbonate. At this point, the following. This experiment involves the titration of sodium carbonate by a strong. Titration Curve Of Na2Co3.
From www.youtube.com
Lab 2 (Titration of HCl with Na2CO3) YouTube Titration Curve Of Na2Co3 Titrating with standard acid, usually hcl, makes it possible to determine the total alkalinity of the soda ash. At this point, the following. The volume of the titrant added. This experiment involves the titration of sodium carbonate by a strong acid, hcl. This type of analysis is important in determining the. The ph at the equivalence point of titration of. Titration Curve Of Na2Co3.
From www.numerade.com
SOLVED If I perform a titration with 0.1 N HCI using sodium carbonate Titration Curve Of Na2Co3 It is common practice to report the. Titrating with standard acid, usually hcl, makes it possible to determine the total alkalinity of the soda ash. At this point, the following. The volume of the titrant added. Let's take a look at the titration curve of mixture containing 0.1 m of sodium hydroxide and 0.1 m of disodium carbonate. This experiment. Titration Curve Of Na2Co3.
From dxokymive.blob.core.windows.net
Types Of Indicators In Acid Base Titration at Donna Gutierrez blog Titration Curve Of Na2Co3 The volume of the titrant added. Titrating with standard acid, usually hcl, makes it possible to determine the total alkalinity of the soda ash. Let's take a look at the titration curve of mixture containing 0.1 m of sodium hydroxide and 0.1 m of disodium carbonate. At this point, the following. This type of analysis is important in determining the.. Titration Curve Of Na2Co3.
From www.chegg.com
Solved A titration curve for Na2CO3 titrated with ccl is Titration Curve Of Na2Co3 It is common practice to report the. Titrating with standard acid, usually hcl, makes it possible to determine the total alkalinity of the soda ash. Let's take a look at the titration curve of mixture containing 0.1 m of sodium hydroxide and 0.1 m of disodium carbonate. The volume of the titrant added. This experiment involves the titration of sodium. Titration Curve Of Na2Co3.
From www.numerade.com
SOLVED Sketch an approximate titration curve for the titration of Titration Curve Of Na2Co3 It is common practice to report the. The ph at the equivalence point of titration of $\ce{na2co3}$ solution with $\ce{hcl}$ is around 3.7, as shown in this titration curve: This experiment involves the titration of sodium carbonate by a strong acid, hcl. At this point, the following. This type of analysis is important in determining the. Titrating with standard acid,. Titration Curve Of Na2Co3.
From www.scribd.com
Na2CO3 HCL NaOH Titration PDF Redox Titration Titration Curve Of Na2Co3 Titrating with standard acid, usually hcl, makes it possible to determine the total alkalinity of the soda ash. Let's take a look at the titration curve of mixture containing 0.1 m of sodium hydroxide and 0.1 m of disodium carbonate. At this point, the following. This experiment involves the titration of sodium carbonate by a strong acid, hcl. The volume. Titration Curve Of Na2Co3.
From stevenemahurino.blob.core.windows.net
Acid Base Titration Na2Co3 And Hcl at stevenemahurino blog Titration Curve Of Na2Co3 Titrating with standard acid, usually hcl, makes it possible to determine the total alkalinity of the soda ash. The volume of the titrant added. This type of analysis is important in determining the. At this point, the following. This experiment involves the titration of sodium carbonate by a strong acid, hcl. It is common practice to report the. The ph. Titration Curve Of Na2Co3.
From www.slideserve.com
PPT Titration of Sodium Carbonate PowerPoint Presentation, free Titration Curve Of Na2Co3 The ph at the equivalence point of titration of $\ce{na2co3}$ solution with $\ce{hcl}$ is around 3.7, as shown in this titration curve: It is common practice to report the. This type of analysis is important in determining the. The volume of the titrant added. At this point, the following. Let's take a look at the titration curve of mixture containing. Titration Curve Of Na2Co3.
From www.youtube.com
ACID BASE TITRATION IN BANGAL, অ্যাসিড ক্ষার টাইট্রেশন, Na2CO3 vs HCl Titration Curve Of Na2Co3 Let's take a look at the titration curve of mixture containing 0.1 m of sodium hydroxide and 0.1 m of disodium carbonate. This type of analysis is important in determining the. The ph at the equivalence point of titration of $\ce{na2co3}$ solution with $\ce{hcl}$ is around 3.7, as shown in this titration curve: It is common practice to report the.. Titration Curve Of Na2Co3.
From www.numerade.com
SOLVED Sketch a titration curve for the titration of Na2CO3 with HCl Titration Curve Of Na2Co3 The ph at the equivalence point of titration of $\ce{na2co3}$ solution with $\ce{hcl}$ is around 3.7, as shown in this titration curve: It is common practice to report the. This type of analysis is important in determining the. At this point, the following. Let's take a look at the titration curve of mixture containing 0.1 m of sodium hydroxide and. Titration Curve Of Na2Co3.
From crunchchemistry.co.uk
How to explain the shape of a titration curve Crunch Chemistry Titration Curve Of Na2Co3 This experiment involves the titration of sodium carbonate by a strong acid, hcl. The volume of the titrant added. Titrating with standard acid, usually hcl, makes it possible to determine the total alkalinity of the soda ash. This type of analysis is important in determining the. Let's take a look at the titration curve of mixture containing 0.1 m of. Titration Curve Of Na2Co3.
From chem.libretexts.org
9.1 Overview of Titrimetry Chemistry LibreTexts Titration Curve Of Na2Co3 This experiment involves the titration of sodium carbonate by a strong acid, hcl. This type of analysis is important in determining the. Let's take a look at the titration curve of mixture containing 0.1 m of sodium hydroxide and 0.1 m of disodium carbonate. The volume of the titrant added. At this point, the following. Titrating with standard acid, usually. Titration Curve Of Na2Co3.
From www.chegg.com
Solved The titration of Na2Co3 with HCl has the following Titration Curve Of Na2Co3 This type of analysis is important in determining the. The volume of the titrant added. Let's take a look at the titration curve of mixture containing 0.1 m of sodium hydroxide and 0.1 m of disodium carbonate. At this point, the following. Titrating with standard acid, usually hcl, makes it possible to determine the total alkalinity of the soda ash.. Titration Curve Of Na2Co3.
From oneclass.com
OneClass Na2CO3 + NaOH titration Na2CO3 0,1 M 10 mL, NaOH 0,1 M ¿pH Titration Curve Of Na2Co3 At this point, the following. The ph at the equivalence point of titration of $\ce{na2co3}$ solution with $\ce{hcl}$ is around 3.7, as shown in this titration curve: The volume of the titrant added. This experiment involves the titration of sodium carbonate by a strong acid, hcl. Titrating with standard acid, usually hcl, makes it possible to determine the total alkalinity. Titration Curve Of Na2Co3.
From www.researchgate.net
Effect of Na2CO3 loading on desulfurization performance (a Titration Curve Of Na2Co3 It is common practice to report the. At this point, the following. This type of analysis is important in determining the. The ph at the equivalence point of titration of $\ce{na2co3}$ solution with $\ce{hcl}$ is around 3.7, as shown in this titration curve: The volume of the titrant added. Titrating with standard acid, usually hcl, makes it possible to determine. Titration Curve Of Na2Co3.
From www.researchgate.net
Acidbase titration curves of the biomass pretreated with NaHCO3 sat Titration Curve Of Na2Co3 At this point, the following. The volume of the titrant added. The ph at the equivalence point of titration of $\ce{na2co3}$ solution with $\ce{hcl}$ is around 3.7, as shown in this titration curve: This experiment involves the titration of sodium carbonate by a strong acid, hcl. Let's take a look at the titration curve of mixture containing 0.1 m of. Titration Curve Of Na2Co3.
From courses.lumenlearning.com
AcidBase Titrations Chemistry Titration Curve Of Na2Co3 At this point, the following. It is common practice to report the. The ph at the equivalence point of titration of $\ce{na2co3}$ solution with $\ce{hcl}$ is around 3.7, as shown in this titration curve: The volume of the titrant added. Let's take a look at the titration curve of mixture containing 0.1 m of sodium hydroxide and 0.1 m of. Titration Curve Of Na2Co3.
From www.studypool.com
SOLUTION Titration na2co3 vs hcl Studypool Titration Curve Of Na2Co3 It is common practice to report the. The volume of the titrant added. Titrating with standard acid, usually hcl, makes it possible to determine the total alkalinity of the soda ash. This experiment involves the titration of sodium carbonate by a strong acid, hcl. Let's take a look at the titration curve of mixture containing 0.1 m of sodium hydroxide. Titration Curve Of Na2Co3.
From www.slideserve.com
PPT Typical Applications of Neutralization Titrations Elemental Titration Curve Of Na2Co3 This type of analysis is important in determining the. Titrating with standard acid, usually hcl, makes it possible to determine the total alkalinity of the soda ash. The volume of the titrant added. Let's take a look at the titration curve of mixture containing 0.1 m of sodium hydroxide and 0.1 m of disodium carbonate. The ph at the equivalence. Titration Curve Of Na2Co3.
From www.youtube.com
and Analytical Chemistry Lab. Titration of NaOH and Na2CO3 Titration Curve Of Na2Co3 The ph at the equivalence point of titration of $\ce{na2co3}$ solution with $\ce{hcl}$ is around 3.7, as shown in this titration curve: Let's take a look at the titration curve of mixture containing 0.1 m of sodium hydroxide and 0.1 m of disodium carbonate. This type of analysis is important in determining the. It is common practice to report the.. Titration Curve Of Na2Co3.
From ar.inspiredpencil.com
Titration Curve Labeled Titration Curve Of Na2Co3 The ph at the equivalence point of titration of $\ce{na2co3}$ solution with $\ce{hcl}$ is around 3.7, as shown in this titration curve: Titrating with standard acid, usually hcl, makes it possible to determine the total alkalinity of the soda ash. This experiment involves the titration of sodium carbonate by a strong acid, hcl. Let's take a look at the titration. Titration Curve Of Na2Co3.
From www.slideserve.com
PPT Titration of Sodium Carbonate PowerPoint Presentation, free Titration Curve Of Na2Co3 Titrating with standard acid, usually hcl, makes it possible to determine the total alkalinity of the soda ash. This experiment involves the titration of sodium carbonate by a strong acid, hcl. This type of analysis is important in determining the. The volume of the titrant added. At this point, the following. The ph at the equivalence point of titration of. Titration Curve Of Na2Co3.
From www.youtube.com
titration of sodium carbonate with HCI titration of Na2CO3 Vs HCI Titration Curve Of Na2Co3 Let's take a look at the titration curve of mixture containing 0.1 m of sodium hydroxide and 0.1 m of disodium carbonate. This experiment involves the titration of sodium carbonate by a strong acid, hcl. Titrating with standard acid, usually hcl, makes it possible to determine the total alkalinity of the soda ash. The ph at the equivalence point of. Titration Curve Of Na2Co3.
From www.youtube.com
Na2CO3 vs HCl Titration CBSE Chemistry Practical Titration Class 11 Titration Curve Of Na2Co3 The ph at the equivalence point of titration of $\ce{na2co3}$ solution with $\ce{hcl}$ is around 3.7, as shown in this titration curve: This type of analysis is important in determining the. It is common practice to report the. Titrating with standard acid, usually hcl, makes it possible to determine the total alkalinity of the soda ash. The volume of the. Titration Curve Of Na2Co3.
From www.slideserve.com
PPT Fractions of H 2 CO 3 , HCO 3 , and CO 3 2 as a Function of pH Titration Curve Of Na2Co3 Titrating with standard acid, usually hcl, makes it possible to determine the total alkalinity of the soda ash. It is common practice to report the. This experiment involves the titration of sodium carbonate by a strong acid, hcl. The volume of the titrant added. At this point, the following. The ph at the equivalence point of titration of $\ce{na2co3}$ solution. Titration Curve Of Na2Co3.
From childhealthpolicy.vumc.org
🌈 Na2co3 hcl titration. Why is used Na2CO3 with HCl in this titration Titration Curve Of Na2Co3 The volume of the titrant added. This experiment involves the titration of sodium carbonate by a strong acid, hcl. The ph at the equivalence point of titration of $\ce{na2co3}$ solution with $\ce{hcl}$ is around 3.7, as shown in this titration curve: Titrating with standard acid, usually hcl, makes it possible to determine the total alkalinity of the soda ash. At. Titration Curve Of Na2Co3.
From www.chegg.com
Solved 1. In the process of Na2CO3 titration against HCl, Titration Curve Of Na2Co3 This type of analysis is important in determining the. This experiment involves the titration of sodium carbonate by a strong acid, hcl. The ph at the equivalence point of titration of $\ce{na2co3}$ solution with $\ce{hcl}$ is around 3.7, as shown in this titration curve: At this point, the following. Titrating with standard acid, usually hcl, makes it possible to determine. Titration Curve Of Na2Co3.
From www.chegg.com
Solved 1145. A titration curve for Na2CO3 titrated with HCl Titration Curve Of Na2Co3 Titrating with standard acid, usually hcl, makes it possible to determine the total alkalinity of the soda ash. This type of analysis is important in determining the. It is common practice to report the. The ph at the equivalence point of titration of $\ce{na2co3}$ solution with $\ce{hcl}$ is around 3.7, as shown in this titration curve: Let's take a look. Titration Curve Of Na2Co3.
From www.researchgate.net
TG and DSC curves of the mixture of bauxite and Na2CO3 with N/(A + S Titration Curve Of Na2Co3 Let's take a look at the titration curve of mixture containing 0.1 m of sodium hydroxide and 0.1 m of disodium carbonate. The ph at the equivalence point of titration of $\ce{na2co3}$ solution with $\ce{hcl}$ is around 3.7, as shown in this titration curve: This type of analysis is important in determining the. The volume of the titrant added. It. Titration Curve Of Na2Co3.
From www.chegg.com
Solved After the titration of Na2CO3 (0.1M) with HCl using Titration Curve Of Na2Co3 It is common practice to report the. This type of analysis is important in determining the. The ph at the equivalence point of titration of $\ce{na2co3}$ solution with $\ce{hcl}$ is around 3.7, as shown in this titration curve: Titrating with standard acid, usually hcl, makes it possible to determine the total alkalinity of the soda ash. At this point, the. Titration Curve Of Na2Co3.
From byjus.com
in the titration of Na2CO3 by HCl using methyl orange indicator Titration Curve Of Na2Co3 This type of analysis is important in determining the. The ph at the equivalence point of titration of $\ce{na2co3}$ solution with $\ce{hcl}$ is around 3.7, as shown in this titration curve: The volume of the titrant added. It is common practice to report the. This experiment involves the titration of sodium carbonate by a strong acid, hcl. Let's take a. Titration Curve Of Na2Co3.
From tukioka-clinic.com
😂 Titration of naoh and na2co3 with hcl. Titration Of Hcl And Na2co3 Titration Curve Of Na2Co3 This type of analysis is important in determining the. At this point, the following. The volume of the titrant added. It is common practice to report the. Titrating with standard acid, usually hcl, makes it possible to determine the total alkalinity of the soda ash. Let's take a look at the titration curve of mixture containing 0.1 m of sodium. Titration Curve Of Na2Co3.