Capacitors In Series Formula Derivation . When capacitors are connected in series, the total capacitance is less than any one of the series capacitors’ individual capacitances. Capacitors can be arranged in two simple and common types of connections, known as series and parallel, for which we can easily calculate. Consider three capacitors of capacitances c 1, c 2, and c. Electronics tutorial about connecting capacitors in series including how to calculate the total capacitance of series connected capacitors Identify series and parallel parts in the combination of connection of capacitors. The diagram shows how to connect the electrolytic capacitors, where the positive terminal joins to the negative. Capacitors can be arranged in two simple and common types of connections, known as series and parallel, for which we can easily. Derive expressions for total capacitance in series and in parallel. Here is a derivation for two electrolytic capacitors in series. If two or more capacitors are connected.
from nerdytechy.com
When capacitors are connected in series, the total capacitance is less than any one of the series capacitors’ individual capacitances. The diagram shows how to connect the electrolytic capacitors, where the positive terminal joins to the negative. Capacitors can be arranged in two simple and common types of connections, known as series and parallel, for which we can easily. Consider three capacitors of capacitances c 1, c 2, and c. If two or more capacitors are connected. Identify series and parallel parts in the combination of connection of capacitors. Here is a derivation for two electrolytic capacitors in series. Derive expressions for total capacitance in series and in parallel. Capacitors can be arranged in two simple and common types of connections, known as series and parallel, for which we can easily calculate. Electronics tutorial about connecting capacitors in series including how to calculate the total capacitance of series connected capacitors
Capacitors in Series, Parallel and Mixed Explained NerdyTechy
Capacitors In Series Formula Derivation Derive expressions for total capacitance in series and in parallel. Derive expressions for total capacitance in series and in parallel. Identify series and parallel parts in the combination of connection of capacitors. Electronics tutorial about connecting capacitors in series including how to calculate the total capacitance of series connected capacitors If two or more capacitors are connected. The diagram shows how to connect the electrolytic capacitors, where the positive terminal joins to the negative. Capacitors can be arranged in two simple and common types of connections, known as series and parallel, for which we can easily. Here is a derivation for two electrolytic capacitors in series. When capacitors are connected in series, the total capacitance is less than any one of the series capacitors’ individual capacitances. Capacitors can be arranged in two simple and common types of connections, known as series and parallel, for which we can easily calculate. Consider three capacitors of capacitances c 1, c 2, and c.
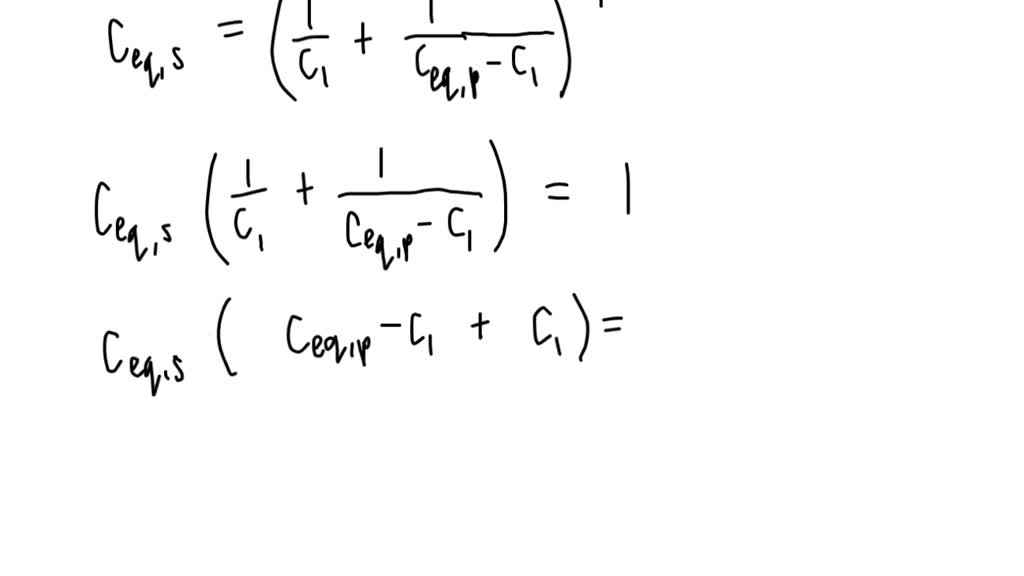
From www.numerade.com
SOLVED Using your knowledge of how two capacitors in series combine to Capacitors In Series Formula Derivation Capacitors can be arranged in two simple and common types of connections, known as series and parallel, for which we can easily calculate. Derive expressions for total capacitance in series and in parallel. Consider three capacitors of capacitances c 1, c 2, and c. Here is a derivation for two electrolytic capacitors in series. When capacitors are connected in series,. Capacitors In Series Formula Derivation.
From anal-13gb75.blogspot.com
☑ Capacitors Series And Parallel Formula Capacitors In Series Formula Derivation Identify series and parallel parts in the combination of connection of capacitors. If two or more capacitors are connected. Capacitors can be arranged in two simple and common types of connections, known as series and parallel, for which we can easily. When capacitors are connected in series, the total capacitance is less than any one of the series capacitors’ individual. Capacitors In Series Formula Derivation.
From www.youtube.com
Derivation of effective capacitance of series combination of capacitors Capacitors In Series Formula Derivation Identify series and parallel parts in the combination of connection of capacitors. When capacitors are connected in series, the total capacitance is less than any one of the series capacitors’ individual capacitances. Capacitors can be arranged in two simple and common types of connections, known as series and parallel, for which we can easily. The diagram shows how to connect. Capacitors In Series Formula Derivation.
From www.numerade.com
SOLVED Derive the formula for the equivalent capacitance of two Capacitors In Series Formula Derivation Consider three capacitors of capacitances c 1, c 2, and c. Capacitors can be arranged in two simple and common types of connections, known as series and parallel, for which we can easily calculate. Capacitors can be arranged in two simple and common types of connections, known as series and parallel, for which we can easily. The diagram shows how. Capacitors In Series Formula Derivation.
From www.youtube.com
RC Circuit Charging a capacitor YouTube Capacitors In Series Formula Derivation Here is a derivation for two electrolytic capacitors in series. Capacitors can be arranged in two simple and common types of connections, known as series and parallel, for which we can easily. Identify series and parallel parts in the combination of connection of capacitors. Derive expressions for total capacitance in series and in parallel. Electronics tutorial about connecting capacitors in. Capacitors In Series Formula Derivation.
From earthphysicsteaching.homestead.com
CapacitorsinSeriesEquationDerivation Capacitors In Series Formula Derivation Capacitors can be arranged in two simple and common types of connections, known as series and parallel, for which we can easily calculate. If two or more capacitors are connected. The diagram shows how to connect the electrolytic capacitors, where the positive terminal joins to the negative. Here is a derivation for two electrolytic capacitors in series. Derive expressions for. Capacitors In Series Formula Derivation.
From www.chegg.com
Solved 1. Five capacitors are connected as shown in Fig. 1 Capacitors In Series Formula Derivation Identify series and parallel parts in the combination of connection of capacitors. When capacitors are connected in series, the total capacitance is less than any one of the series capacitors’ individual capacitances. Derive expressions for total capacitance in series and in parallel. Electronics tutorial about connecting capacitors in series including how to calculate the total capacitance of series connected capacitors. Capacitors In Series Formula Derivation.
From www.youtube.com
Derivation For Combination of Capacitors In series & Parallel Class Capacitors In Series Formula Derivation The diagram shows how to connect the electrolytic capacitors, where the positive terminal joins to the negative. Capacitors can be arranged in two simple and common types of connections, known as series and parallel, for which we can easily. Here is a derivation for two electrolytic capacitors in series. Capacitors can be arranged in two simple and common types of. Capacitors In Series Formula Derivation.
From courses.lumenlearning.com
Capacitors in Series and Parallel Physics Capacitors In Series Formula Derivation Here is a derivation for two electrolytic capacitors in series. Electronics tutorial about connecting capacitors in series including how to calculate the total capacitance of series connected capacitors Capacitors can be arranged in two simple and common types of connections, known as series and parallel, for which we can easily. Capacitors can be arranged in two simple and common types. Capacitors In Series Formula Derivation.
From sciencing.com
Capacitors in Series & Parallel What Is It, Formula, Voltage (w Capacitors In Series Formula Derivation Consider three capacitors of capacitances c 1, c 2, and c. When capacitors are connected in series, the total capacitance is less than any one of the series capacitors’ individual capacitances. The diagram shows how to connect the electrolytic capacitors, where the positive terminal joins to the negative. Derive expressions for total capacitance in series and in parallel. Identify series. Capacitors In Series Formula Derivation.
From www.youtube.com
Equivalent Capacitance Capacitors In Series and Parallel YouTube Capacitors In Series Formula Derivation Electronics tutorial about connecting capacitors in series including how to calculate the total capacitance of series connected capacitors When capacitors are connected in series, the total capacitance is less than any one of the series capacitors’ individual capacitances. If two or more capacitors are connected. The diagram shows how to connect the electrolytic capacitors, where the positive terminal joins to. Capacitors In Series Formula Derivation.
From philschatz.com
Capacitors in Series and Parallel · Physics Capacitors In Series Formula Derivation Here is a derivation for two electrolytic capacitors in series. Electronics tutorial about connecting capacitors in series including how to calculate the total capacitance of series connected capacitors The diagram shows how to connect the electrolytic capacitors, where the positive terminal joins to the negative. Capacitors can be arranged in two simple and common types of connections, known as series. Capacitors In Series Formula Derivation.
From www.physicsforums.com
Ranking charge stored on three capacitors by a battery Capacitors In Series Formula Derivation Electronics tutorial about connecting capacitors in series including how to calculate the total capacitance of series connected capacitors The diagram shows how to connect the electrolytic capacitors, where the positive terminal joins to the negative. Capacitors can be arranged in two simple and common types of connections, known as series and parallel, for which we can easily. Here is a. Capacitors In Series Formula Derivation.
From www.doubtnut.com
Derive an expression for the effective capacitance of three capacitors Capacitors In Series Formula Derivation If two or more capacitors are connected. Electronics tutorial about connecting capacitors in series including how to calculate the total capacitance of series connected capacitors Identify series and parallel parts in the combination of connection of capacitors. The diagram shows how to connect the electrolytic capacitors, where the positive terminal joins to the negative. Capacitors can be arranged in two. Capacitors In Series Formula Derivation.
From www.numerade.com
SOLVED Capacitors in Parallel & in Series When more than one capacitor Capacitors In Series Formula Derivation When capacitors are connected in series, the total capacitance is less than any one of the series capacitors’ individual capacitances. Capacitors can be arranged in two simple and common types of connections, known as series and parallel, for which we can easily calculate. Identify series and parallel parts in the combination of connection of capacitors. Derive expressions for total capacitance. Capacitors In Series Formula Derivation.
From physicscalc.com
Capacitors in Series Calculator How to find Equivalent Capacitance of Capacitors In Series Formula Derivation When capacitors are connected in series, the total capacitance is less than any one of the series capacitors’ individual capacitances. Electronics tutorial about connecting capacitors in series including how to calculate the total capacitance of series connected capacitors If two or more capacitors are connected. Capacitors can be arranged in two simple and common types of connections, known as series. Capacitors In Series Formula Derivation.
From pressbooks.uiowa.edu
19.6 Capacitors in Series and Parallel College Physics Capacitors In Series Formula Derivation When capacitors are connected in series, the total capacitance is less than any one of the series capacitors’ individual capacitances. Here is a derivation for two electrolytic capacitors in series. Identify series and parallel parts in the combination of connection of capacitors. Capacitors can be arranged in two simple and common types of connections, known as series and parallel, for. Capacitors In Series Formula Derivation.
From www.pinterest.com
Image result for capacitor formula Formula, Capacitor, Math Capacitors In Series Formula Derivation When capacitors are connected in series, the total capacitance is less than any one of the series capacitors’ individual capacitances. Consider three capacitors of capacitances c 1, c 2, and c. Capacitors can be arranged in two simple and common types of connections, known as series and parallel, for which we can easily. If two or more capacitors are connected.. Capacitors In Series Formula Derivation.
From www.youtube.com
RC Circuits, Charging Capacitors and Equation Derivations YouTube Capacitors In Series Formula Derivation The diagram shows how to connect the electrolytic capacitors, where the positive terminal joins to the negative. Identify series and parallel parts in the combination of connection of capacitors. Capacitors can be arranged in two simple and common types of connections, known as series and parallel, for which we can easily calculate. Electronics tutorial about connecting capacitors in series including. Capacitors In Series Formula Derivation.
From www.pinterest.ca
Effective Capacitance of Capacitors in Series ! Capacitors, Design Capacitors In Series Formula Derivation The diagram shows how to connect the electrolytic capacitors, where the positive terminal joins to the negative. Identify series and parallel parts in the combination of connection of capacitors. When capacitors are connected in series, the total capacitance is less than any one of the series capacitors’ individual capacitances. Capacitors can be arranged in two simple and common types of. Capacitors In Series Formula Derivation.
From www.youtube.com
Derivation of equations for a charging and discharging capacitor YouTube Capacitors In Series Formula Derivation If two or more capacitors are connected. When capacitors are connected in series, the total capacitance is less than any one of the series capacitors’ individual capacitances. Capacitors can be arranged in two simple and common types of connections, known as series and parallel, for which we can easily calculate. Electronics tutorial about connecting capacitors in series including how to. Capacitors In Series Formula Derivation.
From nerdytechy.com
Capacitors in Series, Parallel and Mixed Explained NerdyTechy Capacitors In Series Formula Derivation Consider three capacitors of capacitances c 1, c 2, and c. Here is a derivation for two electrolytic capacitors in series. The diagram shows how to connect the electrolytic capacitors, where the positive terminal joins to the negative. When capacitors are connected in series, the total capacitance is less than any one of the series capacitors’ individual capacitances. Electronics tutorial. Capacitors In Series Formula Derivation.
From acejee.com
Capacitance of Parallel Plate Capacitor with Dielectric Slab Capacitors In Series Formula Derivation Identify series and parallel parts in the combination of connection of capacitors. When capacitors are connected in series, the total capacitance is less than any one of the series capacitors’ individual capacitances. Here is a derivation for two electrolytic capacitors in series. Consider three capacitors of capacitances c 1, c 2, and c. If two or more capacitors are connected.. Capacitors In Series Formula Derivation.
From earthphysicsteaching.homestead.com
CapacitorsinSeriesEquationDerivation Capacitors In Series Formula Derivation Derive expressions for total capacitance in series and in parallel. Electronics tutorial about connecting capacitors in series including how to calculate the total capacitance of series connected capacitors If two or more capacitors are connected. Identify series and parallel parts in the combination of connection of capacitors. Capacitors can be arranged in two simple and common types of connections, known. Capacitors In Series Formula Derivation.
From www.slideserve.com
PPT Physics 2102 PowerPoint Presentation, free download ID2182507 Capacitors In Series Formula Derivation Capacitors can be arranged in two simple and common types of connections, known as series and parallel, for which we can easily calculate. Identify series and parallel parts in the combination of connection of capacitors. When capacitors are connected in series, the total capacitance is less than any one of the series capacitors’ individual capacitances. Capacitors can be arranged in. Capacitors In Series Formula Derivation.
From www.numerade.com
Capacitors Lab Question 1) Derivation of Capacitance Formula Derive Capacitors In Series Formula Derivation Here is a derivation for two electrolytic capacitors in series. Electronics tutorial about connecting capacitors in series including how to calculate the total capacitance of series connected capacitors Consider three capacitors of capacitances c 1, c 2, and c. Identify series and parallel parts in the combination of connection of capacitors. Capacitors can be arranged in two simple and common. Capacitors In Series Formula Derivation.
From alynesampaio.blogspot.com
Parallel Capacitors Derivation Capacitors In Series Formula Derivation Capacitors can be arranged in two simple and common types of connections, known as series and parallel, for which we can easily calculate. Electronics tutorial about connecting capacitors in series including how to calculate the total capacitance of series connected capacitors Consider three capacitors of capacitances c 1, c 2, and c. Capacitors can be arranged in two simple and. Capacitors In Series Formula Derivation.
From www.youtube.com
Capacitors in series and parallel (formula derivation and solved Capacitors In Series Formula Derivation Capacitors can be arranged in two simple and common types of connections, known as series and parallel, for which we can easily. Consider three capacitors of capacitances c 1, c 2, and c. The diagram shows how to connect the electrolytic capacitors, where the positive terminal joins to the negative. When capacitors are connected in series, the total capacitance is. Capacitors In Series Formula Derivation.
From owlcation.com
RC Circuit Formula Derivation Using Calculus Owlcation Capacitors In Series Formula Derivation Identify series and parallel parts in the combination of connection of capacitors. If two or more capacitors are connected. When capacitors are connected in series, the total capacitance is less than any one of the series capacitors’ individual capacitances. Consider three capacitors of capacitances c 1, c 2, and c. Capacitors can be arranged in two simple and common types. Capacitors In Series Formula Derivation.
From www.pinterest.es
Know the rules for calculating the equivalent resistances in Capacitors In Series Formula Derivation Electronics tutorial about connecting capacitors in series including how to calculate the total capacitance of series connected capacitors Capacitors can be arranged in two simple and common types of connections, known as series and parallel, for which we can easily calculate. If two or more capacitors are connected. The diagram shows how to connect the electrolytic capacitors, where the positive. Capacitors In Series Formula Derivation.
From www.slideserve.com
PPT Capacitors in Series & Parallel PowerPoint Presentation, free Capacitors In Series Formula Derivation If two or more capacitors are connected. Here is a derivation for two electrolytic capacitors in series. When capacitors are connected in series, the total capacitance is less than any one of the series capacitors’ individual capacitances. Identify series and parallel parts in the combination of connection of capacitors. Derive expressions for total capacitance in series and in parallel. Consider. Capacitors In Series Formula Derivation.
From www.youtube.com
Derivation for adding Capacitors in Series Physics YouTube Capacitors In Series Formula Derivation Consider three capacitors of capacitances c 1, c 2, and c. Identify series and parallel parts in the combination of connection of capacitors. If two or more capacitors are connected. Capacitors can be arranged in two simple and common types of connections, known as series and parallel, for which we can easily. Here is a derivation for two electrolytic capacitors. Capacitors In Series Formula Derivation.
From electronics-tutorial.net
Capacitors in Series Combination Electronics Tutorial Capacitors In Series Formula Derivation Consider three capacitors of capacitances c 1, c 2, and c. Capacitors can be arranged in two simple and common types of connections, known as series and parallel, for which we can easily. Derive expressions for total capacitance in series and in parallel. Electronics tutorial about connecting capacitors in series including how to calculate the total capacitance of series connected. Capacitors In Series Formula Derivation.
From socratic.org
What are some examples of combinations of capacitors? Socratic Capacitors In Series Formula Derivation Identify series and parallel parts in the combination of connection of capacitors. If two or more capacitors are connected. When capacitors are connected in series, the total capacitance is less than any one of the series capacitors’ individual capacitances. Consider three capacitors of capacitances c 1, c 2, and c. Electronics tutorial about connecting capacitors in series including how to. Capacitors In Series Formula Derivation.
From www.slideserve.com
PPT Combinations of Capacitors Energy Stored in a Charged Capacitor Capacitors In Series Formula Derivation Consider three capacitors of capacitances c 1, c 2, and c. Capacitors can be arranged in two simple and common types of connections, known as series and parallel, for which we can easily calculate. Identify series and parallel parts in the combination of connection of capacitors. When capacitors are connected in series, the total capacitance is less than any one. Capacitors In Series Formula Derivation.