Linear Combination Problems . Recall that a transformation t from rm to rn is a rule, which assigns to every ~x in the domain. Suppose that av = − v and aw = 2w. 334 6.8 linear combinations and spanning sets nel section 6.8—linear combinations and spanning sets we have discussed concepts. Substitute the value into either equation and. Then find the vector a5[− 1 8 − 9]. Analyze the coefficients of x or y. 3.4 linear dependence and span p. Multiply one or both equations by an appropriate number to obtain new coefficients that are opposites. If so, then \ (\vec. Suppose we have the matrix \ (a\) and vector \ (\mathbf x\) as given below. Use the reduced form of the matrix to determine if the augmented matrix represents a consistent system of equations. (a) prove that the column. Danziger note that the components of v1 are the coe cients of a1 and the components of v2 are the coe. Their product will be defined to be the linear combination of the columns of \ (a\) using the. Let a be a 3 × 3 matrix and let v = [1 2 − 1] and w = [2 − 1 3].
from untenq.blogspot.com
Linear algebra math 21b linear combinations 4.1. If so, then \ (\vec. (a) prove that the column. The diagram below can be used to construct linear combinations whose weights a and b may be varied using the sliders at the top. Let a be a 3 × 3 matrix and let v = [1 2 − 1] and w = [2 − 1 3]. Danziger note that the components of v1 are the coe cients of a1 and the components of v2 are the coe. Suppose that av = − v and aw = 2w. Suppose we have the matrix \ (a\) and vector \ (\mathbf x\) as given below. 334 6.8 linear combinations and spanning sets nel section 6.8—linear combinations and spanning sets we have discussed concepts. Substitute the value into either equation and.
Permutations And Combinations Examples Factorials and permutations
Linear Combination Problems The diagram below can be used to construct linear combinations whose weights a and b may be varied using the sliders at the top. Then find the vector a5[− 1 8 − 9]. Recall that a transformation t from rm to rn is a rule, which assigns to every ~x in the domain. Substitute the value into either equation and. Steps for using linear combinations (addition method) arrange the equations with like terms in columns. Suppose we have the matrix \ (a\) and vector \ (\mathbf x\) as given below. Danziger note that the components of v1 are the coe cients of a1 and the components of v2 are the coe. (a) prove that the column. Suppose that av = − v and aw = 2w. Linear algebra math 21b linear combinations 4.1. Analyze the coefficients of x or y. Use the reduced form of the matrix to determine if the augmented matrix represents a consistent system of equations. If so, then \ (\vec. The diagram below can be used to construct linear combinations whose weights a and b may be varied using the sliders at the top. Multiply one or both equations by an appropriate number to obtain new coefficients that are opposites. 3.4 linear dependence and span p.
From study.com
Quiz & Worksheet Linear Combination Method Linear Combination Problems (a) prove that the column. Their product will be defined to be the linear combination of the columns of \ (a\) using the. The diagram below can be used to construct linear combinations whose weights a and b may be varied using the sliders at the top. Add the equations and solve for the remaining variable. Analyze the coefficients of. Linear Combination Problems.
From www.youtube.com
Solving Systems of Linear Equations Linear Combination Method YouTube Linear Combination Problems Danziger note that the components of v1 are the coe cients of a1 and the components of v2 are the coe. Use the reduced form of the matrix to determine if the augmented matrix represents a consistent system of equations. Linear algebra math 21b linear combinations 4.1. (a) prove that the column. Substitute the value into either equation and. 3.4. Linear Combination Problems.
From www.chegg.com
Solved 2. Solve the following linear combination problems by Linear Combination Problems If so, then \ (\vec. Let a be a 3 × 3 matrix and let v = [1 2 − 1] and w = [2 − 1 3]. (a) prove that the column. Substitute the value into either equation and. Suppose we have the matrix \ (a\) and vector \ (\mathbf x\) as given below. Steps for using linear combinations. Linear Combination Problems.
From www.youtube.com
Algebra And Number Theory 14 Linear Combination Problems Tamil Linear Combination Problems Analyze the coefficients of x or y. Linear algebra math 21b linear combinations 4.1. Suppose that av = − v and aw = 2w. If so, then \ (\vec. 3.4 linear dependence and span p. Suppose we have the matrix \ (a\) and vector \ (\mathbf x\) as given below. Use the reduced form of the matrix to determine if. Linear Combination Problems.
From www.studocu.com
Problem set linear combinations Linear combinations. Exercises. Check Linear Combination Problems Analyze the coefficients of x or y. (a) prove that the column. 334 6.8 linear combinations and spanning sets nel section 6.8—linear combinations and spanning sets we have discussed concepts. Let a be a 3 × 3 matrix and let v = [1 2 − 1] and w = [2 − 1 3]. Suppose we have the matrix \ (a\). Linear Combination Problems.
From www.youtube.com
Linear Algebra linear combination, matrix YouTube Linear Combination Problems Let a be a 3 × 3 matrix and let v = [1 2 − 1] and w = [2 − 1 3]. Use the reduced form of the matrix to determine if the augmented matrix represents a consistent system of equations. Multiply one or both equations by an appropriate number to obtain new coefficients that are opposites. Suppose we. Linear Combination Problems.
From www.algebra-class.com
Solving Systems of Equations Using Linear Combinations Linear Combination Problems The diagram below can be used to construct linear combinations whose weights a and b may be varied using the sliders at the top. Linear algebra math 21b linear combinations 4.1. Suppose that av = − v and aw = 2w. Substitute the value into either equation and. Add the equations and solve for the remaining variable. Their product will. Linear Combination Problems.
From www.youtube.com
Vector Algebra Linear Combination Problem 1 Linear Algebra and Linear Combination Problems Danziger note that the components of v1 are the coe cients of a1 and the components of v2 are the coe. 334 6.8 linear combinations and spanning sets nel section 6.8—linear combinations and spanning sets we have discussed concepts. Multiply one or both equations by an appropriate number to obtain new coefficients that are opposites. Substitute the value into either. Linear Combination Problems.
From www.cambridge.org
Linear Combinations of Stationary Processes—Solution Econometric Linear Combination Problems The diagram below can be used to construct linear combinations whose weights a and b may be varied using the sliders at the top. Recall that a transformation t from rm to rn is a rule, which assigns to every ~x in the domain. Multiply one or both equations by an appropriate number to obtain new coefficients that are opposites.. Linear Combination Problems.
From www.wikihow.com
5 Ways to Solve Systems Using Linear Combinations wikiHow Linear Combination Problems Use the reduced form of the matrix to determine if the augmented matrix represents a consistent system of equations. 334 6.8 linear combinations and spanning sets nel section 6.8—linear combinations and spanning sets we have discussed concepts. Their product will be defined to be the linear combination of the columns of \ (a\) using the. (a) prove that the column.. Linear Combination Problems.
From www.algebra-class.com
Solving Systems of Equations Using Linear Combinations Linear Combination Problems Linear algebra math 21b linear combinations 4.1. Analyze the coefficients of x or y. Use the reduced form of the matrix to determine if the augmented matrix represents a consistent system of equations. If so, then \ (\vec. Danziger note that the components of v1 are the coe cients of a1 and the components of v2 are the coe. Let. Linear Combination Problems.
From study.com
Linear Combination Definition, Methods & Examples Lesson Linear Combination Problems (a) prove that the column. Analyze the coefficients of x or y. 334 6.8 linear combinations and spanning sets nel section 6.8—linear combinations and spanning sets we have discussed concepts. Use the reduced form of the matrix to determine if the augmented matrix represents a consistent system of equations. Suppose that av = − v and aw = 2w. Danziger. Linear Combination Problems.
From calcworkshop.com
Linear Combination of Random Variables (w/ 9 Examples!) Linear Combination Problems Multiply one or both equations by an appropriate number to obtain new coefficients that are opposites. 334 6.8 linear combinations and spanning sets nel section 6.8—linear combinations and spanning sets we have discussed concepts. Analyze the coefficients of x or y. Their product will be defined to be the linear combination of the columns of \ (a\) using the. Then. Linear Combination Problems.
From classfullprecisions.z13.web.core.windows.net
Permutation And Combination Word Problems Linear Combination Problems Multiply one or both equations by an appropriate number to obtain new coefficients that are opposites. Then find the vector a5[− 1 8 − 9]. The diagram below can be used to construct linear combinations whose weights a and b may be varied using the sliders at the top. (a) prove that the column. 3.4 linear dependence and span p.. Linear Combination Problems.
From worksheets.decoomo.com
30++ Linear Word Problems Worksheet Worksheets Decoomo Linear Combination Problems Steps for using linear combinations (addition method) arrange the equations with like terms in columns. Their product will be defined to be the linear combination of the columns of \ (a\) using the. Analyze the coefficients of x or y. Linear algebra math 21b linear combinations 4.1. Add the equations and solve for the remaining variable. Then find the vector. Linear Combination Problems.
From www.youtube.com
Linear Combination of Multiple Random Variables YouTube Linear Combination Problems 334 6.8 linear combinations and spanning sets nel section 6.8—linear combinations and spanning sets we have discussed concepts. Their product will be defined to be the linear combination of the columns of \ (a\) using the. Danziger note that the components of v1 are the coe cients of a1 and the components of v2 are the coe. 3.4 linear dependence. Linear Combination Problems.
From calcworkshop.com
Linear Combination of Random Variables (w/ 9 Examples!) Linear Combination Problems Analyze the coefficients of x or y. Let a be a 3 × 3 matrix and let v = [1 2 − 1] and w = [2 − 1 3]. Use the reduced form of the matrix to determine if the augmented matrix represents a consistent system of equations. The diagram below can be used to construct linear combinations whose. Linear Combination Problems.
From www.chegg.com
Solved 03.03 Linear combinations Problem 1 Previous Problem Linear Combination Problems 334 6.8 linear combinations and spanning sets nel section 6.8—linear combinations and spanning sets we have discussed concepts. If so, then \ (\vec. Substitute the value into either equation and. Add the equations and solve for the remaining variable. 3.4 linear dependence and span p. Let a be a 3 × 3 matrix and let v = [1 2 −. Linear Combination Problems.
From calcworkshop.com
Linear Combination of Random Variables (w/ 9 Examples!) Linear Combination Problems If so, then \ (\vec. Recall that a transformation t from rm to rn is a rule, which assigns to every ~x in the domain. Let a be a 3 × 3 matrix and let v = [1 2 − 1] and w = [2 − 1 3]. Use the reduced form of the matrix to determine if the augmented. Linear Combination Problems.
From www.youtube.com
Solving Systems Using Linear Combination (Simplifying Math) YouTube Linear Combination Problems Multiply one or both equations by an appropriate number to obtain new coefficients that are opposites. The diagram below can be used to construct linear combinations whose weights a and b may be varied using the sliders at the top. Linear algebra math 21b linear combinations 4.1. 334 6.8 linear combinations and spanning sets nel section 6.8—linear combinations and spanning. Linear Combination Problems.
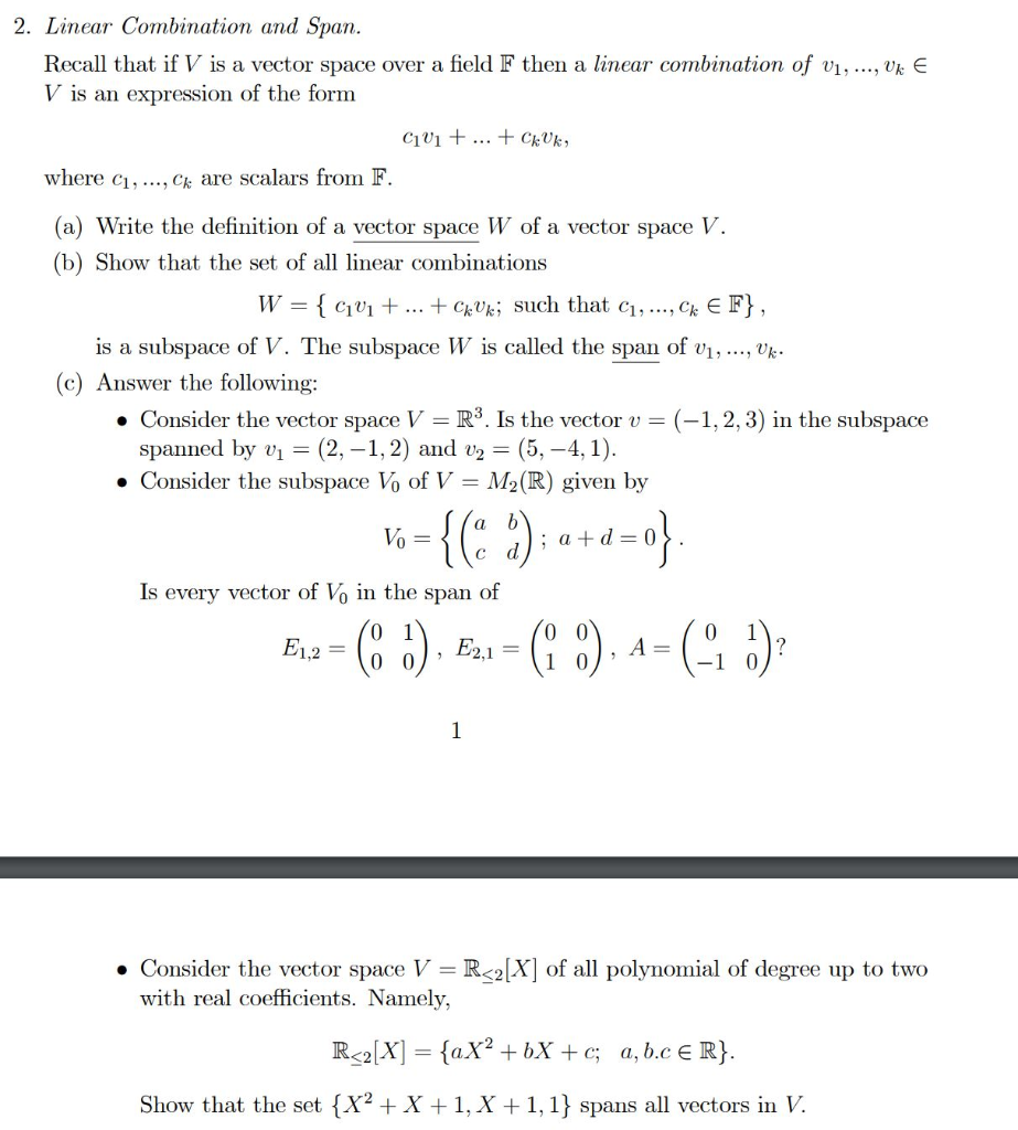
From www.chegg.com
Solved 2. Linear Combination and Span. Recall that if V is a Linear Combination Problems Add the equations and solve for the remaining variable. Substitute the value into either equation and. 334 6.8 linear combinations and spanning sets nel section 6.8—linear combinations and spanning sets we have discussed concepts. Steps for using linear combinations (addition method) arrange the equations with like terms in columns. Suppose that av = − v and aw = 2w. Recall. Linear Combination Problems.
From calcworkshop.com
Linear Combination of Random Variables (w/ 9 Examples!) Linear Combination Problems The diagram below can be used to construct linear combinations whose weights a and b may be varied using the sliders at the top. Use the reduced form of the matrix to determine if the augmented matrix represents a consistent system of equations. Danziger note that the components of v1 are the coe cients of a1 and the components of. Linear Combination Problems.
From www.chegg.com
Solved LINEAR COMBINATIONS OF VECTORS IN A VECTOR SPACE Linear Combination Problems Multiply one or both equations by an appropriate number to obtain new coefficients that are opposites. Linear algebra math 21b linear combinations 4.1. (a) prove that the column. If so, then \ (\vec. 3.4 linear dependence and span p. Recall that a transformation t from rm to rn is a rule, which assigns to every ~x in the domain. Let. Linear Combination Problems.
From studylib.net
Linear combination with word problems Linear Combination Problems Suppose we have the matrix \ (a\) and vector \ (\mathbf x\) as given below. Linear algebra math 21b linear combinations 4.1. 334 6.8 linear combinations and spanning sets nel section 6.8—linear combinations and spanning sets we have discussed concepts. The diagram below can be used to construct linear combinations whose weights a and b may be varied using the. Linear Combination Problems.
From www.youtube.com
Linear Combination with Multiplication (Simplifying Math) YouTube Linear Combination Problems The diagram below can be used to construct linear combinations whose weights a and b may be varied using the sliders at the top. Linear algebra math 21b linear combinations 4.1. Then find the vector a5[− 1 8 − 9]. Steps for using linear combinations (addition method) arrange the equations with like terms in columns. Suppose that av = −. Linear Combination Problems.
From www.youtube.com
Linear Algebra 3 Linear Combinations and Inner Products in ℝ² YouTube Linear Combination Problems Steps for using linear combinations (addition method) arrange the equations with like terms in columns. Then find the vector a5[− 1 8 − 9]. Let a be a 3 × 3 matrix and let v = [1 2 − 1] and w = [2 − 1 3]. Linear algebra math 21b linear combinations 4.1. If so, then \ (\vec. (a). Linear Combination Problems.
From www.pinterest.com
Linear Combination Explanation Math tutorials, Math tricks, Study Linear Combination Problems Add the equations and solve for the remaining variable. (a) prove that the column. If so, then \ (\vec. Their product will be defined to be the linear combination of the columns of \ (a\) using the. Substitute the value into either equation and. Danziger note that the components of v1 are the coe cients of a1 and the components. Linear Combination Problems.
From www.chegg.com
Solved 2. Solve the following linear combination problems. Linear Combination Problems Add the equations and solve for the remaining variable. The diagram below can be used to construct linear combinations whose weights a and b may be varied using the sliders at the top. Multiply one or both equations by an appropriate number to obtain new coefficients that are opposites. Analyze the coefficients of x or y. Their product will be. Linear Combination Problems.
From untenq.blogspot.com
Permutations And Combinations Examples Factorials and permutations Linear Combination Problems Recall that a transformation t from rm to rn is a rule, which assigns to every ~x in the domain. 334 6.8 linear combinations and spanning sets nel section 6.8—linear combinations and spanning sets we have discussed concepts. Add the equations and solve for the remaining variable. Use the reduced form of the matrix to determine if the augmented matrix. Linear Combination Problems.
From www.researchgate.net
Getting a Pareto point by solving the Trigonometric Linear Combinations Linear Combination Problems Steps for using linear combinations (addition method) arrange the equations with like terms in columns. If so, then \ (\vec. Substitute the value into either equation and. Their product will be defined to be the linear combination of the columns of \ (a\) using the. Recall that a transformation t from rm to rn is a rule, which assigns to. Linear Combination Problems.
From www.coursehero.com
[Solved] Find the covariance matrix for the following linear Linear Combination Problems Analyze the coefficients of x or y. Suppose that av = − v and aw = 2w. Their product will be defined to be the linear combination of the columns of \ (a\) using the. Use the reduced form of the matrix to determine if the augmented matrix represents a consistent system of equations. Recall that a transformation t from. Linear Combination Problems.
From math.stackexchange.com
Understanding Linear Combinations Mathematics Stack Exchange Linear Combination Problems 3.4 linear dependence and span p. Suppose we have the matrix \ (a\) and vector \ (\mathbf x\) as given below. Analyze the coefficients of x or y. Suppose that av = − v and aw = 2w. Use the reduced form of the matrix to determine if the augmented matrix represents a consistent system of equations. Steps for using. Linear Combination Problems.
From yutsumura.com
Determine Linearly Independent or Linearly Dependent. Express as a Linear Combination Problems Use the reduced form of the matrix to determine if the augmented matrix represents a consistent system of equations. Recall that a transformation t from rm to rn is a rule, which assigns to every ~x in the domain. Linear algebra math 21b linear combinations 4.1. Suppose we have the matrix \ (a\) and vector \ (\mathbf x\) as given. Linear Combination Problems.
From martindxmguide.blogspot.com
32 Solving Linear Equations In One Variable Worksheet support worksheet Linear Combination Problems Use the reduced form of the matrix to determine if the augmented matrix represents a consistent system of equations. Suppose that av = − v and aw = 2w. Add the equations and solve for the remaining variable. Recall that a transformation t from rm to rn is a rule, which assigns to every ~x in the domain. Suppose we. Linear Combination Problems.
From www.chegg.com
Solved Problem 1. Determine if the vector [ ] is a linear Linear Combination Problems Suppose we have the matrix \ (a\) and vector \ (\mathbf x\) as given below. Linear algebra math 21b linear combinations 4.1. Suppose that av = − v and aw = 2w. Their product will be defined to be the linear combination of the columns of \ (a\) using the. 334 6.8 linear combinations and spanning sets nel section 6.8—linear. Linear Combination Problems.