Magnesium Hydroxide Reacts With Sulfuric Acid . Acids will react with reactive metals, such as magnesium and zinc, to make a salt and hydrogen. What is the balanced equation for this reaction? Mg(oh)2 + h2so4 = mg(so4) + h2o is a double displacement. If 0.630 g of magnesium hydroxide reacts with 0.800 g of sulfuric acid, what is the mass of magnesium sulfate produced? B consider the reaction of magnesium hydroxide with sulfuric acid. Mg(oh)2 (s) + h2so4 (aq) →. Magnesium readily reacts with sulfuric acid and forms hydrogen gas bubbles and aqueous magnesium sulfate after the reactants are consumed. The easiest way to see this reaction is to take a test tube of sulfuric acid and drop a small ribbon of magnesium into the clear liquid. Acid + metal → salt + hydrogen. If 0.605 g of magnesium hydroxide reacts with 0.850 g of sulfuric acid, what is the mass of magnesium sulfate produced?. Hydrochloric acid + zinc → zinc chloride +. Magnesium hydroxide + sulfuric acid = magnesium sulfate + water. Magnesium hydroxide reacts with sulfuric acid to form magnesium sulfate and water.
from www.numerade.com
B consider the reaction of magnesium hydroxide with sulfuric acid. What is the balanced equation for this reaction? Magnesium readily reacts with sulfuric acid and forms hydrogen gas bubbles and aqueous magnesium sulfate after the reactants are consumed. If 0.605 g of magnesium hydroxide reacts with 0.850 g of sulfuric acid, what is the mass of magnesium sulfate produced?. Mg(oh)2 (s) + h2so4 (aq) →. Mg(oh)2 + h2so4 = mg(so4) + h2o is a double displacement. Magnesium hydroxide + sulfuric acid = magnesium sulfate + water. The easiest way to see this reaction is to take a test tube of sulfuric acid and drop a small ribbon of magnesium into the clear liquid. Acids will react with reactive metals, such as magnesium and zinc, to make a salt and hydrogen. If 0.630 g of magnesium hydroxide reacts with 0.800 g of sulfuric acid, what is the mass of magnesium sulfate produced?
SOLVED Write chemical equations for the following reactions (1) Potassium hydroxide reacts
Magnesium Hydroxide Reacts With Sulfuric Acid If 0.630 g of magnesium hydroxide reacts with 0.800 g of sulfuric acid, what is the mass of magnesium sulfate produced? Magnesium hydroxide + sulfuric acid = magnesium sulfate + water. Magnesium hydroxide reacts with sulfuric acid to form magnesium sulfate and water. Mg(oh)2 (s) + h2so4 (aq) →. B consider the reaction of magnesium hydroxide with sulfuric acid. The easiest way to see this reaction is to take a test tube of sulfuric acid and drop a small ribbon of magnesium into the clear liquid. If 0.630 g of magnesium hydroxide reacts with 0.800 g of sulfuric acid, what is the mass of magnesium sulfate produced? Acids will react with reactive metals, such as magnesium and zinc, to make a salt and hydrogen. Hydrochloric acid + zinc → zinc chloride +. Acid + metal → salt + hydrogen. Mg(oh)2 + h2so4 = mg(so4) + h2o is a double displacement. If 0.605 g of magnesium hydroxide reacts with 0.850 g of sulfuric acid, what is the mass of magnesium sulfate produced?. What is the balanced equation for this reaction? Magnesium readily reacts with sulfuric acid and forms hydrogen gas bubbles and aqueous magnesium sulfate after the reactants are consumed.
From www.slideshare.net
Chemical Reactions Magnesium Hydroxide Reacts With Sulfuric Acid The easiest way to see this reaction is to take a test tube of sulfuric acid and drop a small ribbon of magnesium into the clear liquid. Hydrochloric acid + zinc → zinc chloride +. Mg(oh)2 (s) + h2so4 (aq) →. Acid + metal → salt + hydrogen. Acids will react with reactive metals, such as magnesium and zinc, to. Magnesium Hydroxide Reacts With Sulfuric Acid.
From www.numerade.com
SOLVED Write the formula for each of the following acids and bases a. magnesium hydroxide b Magnesium Hydroxide Reacts With Sulfuric Acid B consider the reaction of magnesium hydroxide with sulfuric acid. Acid + metal → salt + hydrogen. Acids will react with reactive metals, such as magnesium and zinc, to make a salt and hydrogen. The easiest way to see this reaction is to take a test tube of sulfuric acid and drop a small ribbon of magnesium into the clear. Magnesium Hydroxide Reacts With Sulfuric Acid.
From signalticket9.pythonanywhere.com
Wonderful Magnesium Hydroxide And Nitric Acid Balanced Equation Chemical For Zinc Sulfuric Magnesium Hydroxide Reacts With Sulfuric Acid Magnesium hydroxide reacts with sulfuric acid to form magnesium sulfate and water. Magnesium readily reacts with sulfuric acid and forms hydrogen gas bubbles and aqueous magnesium sulfate after the reactants are consumed. If 0.605 g of magnesium hydroxide reacts with 0.850 g of sulfuric acid, what is the mass of magnesium sulfate produced?. What is the balanced equation for this. Magnesium Hydroxide Reacts With Sulfuric Acid.
From www.youtube.com
Magnesium In Sulfuric Acid H2 gas popping test by H2SO4 and Mg in a single displacement Magnesium Hydroxide Reacts With Sulfuric Acid B consider the reaction of magnesium hydroxide with sulfuric acid. Mg(oh)2 + h2so4 = mg(so4) + h2o is a double displacement. The easiest way to see this reaction is to take a test tube of sulfuric acid and drop a small ribbon of magnesium into the clear liquid. Hydrochloric acid + zinc → zinc chloride +. Mg(oh)2 (s) + h2so4. Magnesium Hydroxide Reacts With Sulfuric Acid.
From signalticket9.pythonanywhere.com
Wonderful Magnesium Hydroxide And Nitric Acid Balanced Equation Chemical For Zinc Sulfuric Magnesium Hydroxide Reacts With Sulfuric Acid Magnesium readily reacts with sulfuric acid and forms hydrogen gas bubbles and aqueous magnesium sulfate after the reactants are consumed. Acid + metal → salt + hydrogen. Mg(oh)2 (s) + h2so4 (aq) →. Magnesium hydroxide reacts with sulfuric acid to form magnesium sulfate and water. What is the balanced equation for this reaction? B consider the reaction of magnesium hydroxide. Magnesium Hydroxide Reacts With Sulfuric Acid.
From www.numerade.com
SOLVED Write chemical equations for the following reactions (1) Potassium hydroxide reacts Magnesium Hydroxide Reacts With Sulfuric Acid The easiest way to see this reaction is to take a test tube of sulfuric acid and drop a small ribbon of magnesium into the clear liquid. Hydrochloric acid + zinc → zinc chloride +. B consider the reaction of magnesium hydroxide with sulfuric acid. Acid + metal → salt + hydrogen. Mg(oh)2 + h2so4 = mg(so4) + h2o is. Magnesium Hydroxide Reacts With Sulfuric Acid.
From www.youtube.com
Magnesium and Sulfuric Acid Reaction YouTube Magnesium Hydroxide Reacts With Sulfuric Acid Magnesium hydroxide + sulfuric acid = magnesium sulfate + water. Acids will react with reactive metals, such as magnesium and zinc, to make a salt and hydrogen. Mg(oh)2 + h2so4 = mg(so4) + h2o is a double displacement. If 0.605 g of magnesium hydroxide reacts with 0.850 g of sulfuric acid, what is the mass of magnesium sulfate produced?. Mg(oh)2. Magnesium Hydroxide Reacts With Sulfuric Acid.
From www.slideserve.com
PPT What You Will Learn Today PowerPoint Presentation, free download ID7041556 Magnesium Hydroxide Reacts With Sulfuric Acid Mg(oh)2 (s) + h2so4 (aq) →. If 0.605 g of magnesium hydroxide reacts with 0.850 g of sulfuric acid, what is the mass of magnesium sulfate produced?. Acids will react with reactive metals, such as magnesium and zinc, to make a salt and hydrogen. What is the balanced equation for this reaction? The easiest way to see this reaction is. Magnesium Hydroxide Reacts With Sulfuric Acid.
From www.youtube.com
Sulfuric acid + magnesium YouTube Magnesium Hydroxide Reacts With Sulfuric Acid Magnesium hydroxide + sulfuric acid = magnesium sulfate + water. Acids will react with reactive metals, such as magnesium and zinc, to make a salt and hydrogen. B consider the reaction of magnesium hydroxide with sulfuric acid. If 0.630 g of magnesium hydroxide reacts with 0.800 g of sulfuric acid, what is the mass of magnesium sulfate produced? If 0.605. Magnesium Hydroxide Reacts With Sulfuric Acid.
From www.numerade.com
SOLVED Magnesium reacts with sulfuric acid according to the following equation. How many moles Magnesium Hydroxide Reacts With Sulfuric Acid Magnesium hydroxide + sulfuric acid = magnesium sulfate + water. If 0.605 g of magnesium hydroxide reacts with 0.850 g of sulfuric acid, what is the mass of magnesium sulfate produced?. If 0.630 g of magnesium hydroxide reacts with 0.800 g of sulfuric acid, what is the mass of magnesium sulfate produced? Mg(oh)2 + h2so4 = mg(so4) + h2o is. Magnesium Hydroxide Reacts With Sulfuric Acid.
From www.chegg.com
Solved 14.Which of the following is the properly balanced Magnesium Hydroxide Reacts With Sulfuric Acid If 0.630 g of magnesium hydroxide reacts with 0.800 g of sulfuric acid, what is the mass of magnesium sulfate produced? What is the balanced equation for this reaction? Acid + metal → salt + hydrogen. If 0.605 g of magnesium hydroxide reacts with 0.850 g of sulfuric acid, what is the mass of magnesium sulfate produced?. Magnesium hydroxide +. Magnesium Hydroxide Reacts With Sulfuric Acid.
From www.youtube.com
H2SO4+Mg(OH)2=H2O+MgSO4 Balanced EquationSulphuric Acid+Magnesium Hydroxide=Water+Magnesium Magnesium Hydroxide Reacts With Sulfuric Acid Acids will react with reactive metals, such as magnesium and zinc, to make a salt and hydrogen. What is the balanced equation for this reaction? If 0.630 g of magnesium hydroxide reacts with 0.800 g of sulfuric acid, what is the mass of magnesium sulfate produced? The easiest way to see this reaction is to take a test tube of. Magnesium Hydroxide Reacts With Sulfuric Acid.
From signalticket9.pythonanywhere.com
Wonderful Magnesium Hydroxide And Nitric Acid Balanced Equation Chemical For Zinc Sulfuric Magnesium Hydroxide Reacts With Sulfuric Acid B consider the reaction of magnesium hydroxide with sulfuric acid. Mg(oh)2 (s) + h2so4 (aq) →. What is the balanced equation for this reaction? Acids will react with reactive metals, such as magnesium and zinc, to make a salt and hydrogen. The easiest way to see this reaction is to take a test tube of sulfuric acid and drop a. Magnesium Hydroxide Reacts With Sulfuric Acid.
From www.gauthmath.com
Solved Magnesium reacts with sulfuric acid in a single replacement reaction. Mg+H_2SO_4to MgSO Magnesium Hydroxide Reacts With Sulfuric Acid Mg(oh)2 + h2so4 = mg(so4) + h2o is a double displacement. Magnesium hydroxide + sulfuric acid = magnesium sulfate + water. B consider the reaction of magnesium hydroxide with sulfuric acid. Acids will react with reactive metals, such as magnesium and zinc, to make a salt and hydrogen. Acid + metal → salt + hydrogen. What is the balanced equation. Magnesium Hydroxide Reacts With Sulfuric Acid.
From brainly.com
Write a full equation for the reactions between magnesium and sulfuric acid Magnesium Hydroxide Reacts With Sulfuric Acid What is the balanced equation for this reaction? The easiest way to see this reaction is to take a test tube of sulfuric acid and drop a small ribbon of magnesium into the clear liquid. Mg(oh)2 + h2so4 = mg(so4) + h2o is a double displacement. Magnesium hydroxide + sulfuric acid = magnesium sulfate + water. B consider the reaction. Magnesium Hydroxide Reacts With Sulfuric Acid.
From www.youtube.com
How to Balance H2SO4 + Mg(OH)2 = H2O + MgSO4 (Sulfuric acid + Magnesium hydroxide) YouTube Magnesium Hydroxide Reacts With Sulfuric Acid Acids will react with reactive metals, such as magnesium and zinc, to make a salt and hydrogen. What is the balanced equation for this reaction? Magnesium hydroxide + sulfuric acid = magnesium sulfate + water. B consider the reaction of magnesium hydroxide with sulfuric acid. The easiest way to see this reaction is to take a test tube of sulfuric. Magnesium Hydroxide Reacts With Sulfuric Acid.
From www.echemi.com
What substance is produced when sulphuric acid reacts with both magnesium oxide and magnesium Magnesium Hydroxide Reacts With Sulfuric Acid If 0.630 g of magnesium hydroxide reacts with 0.800 g of sulfuric acid, what is the mass of magnesium sulfate produced? Hydrochloric acid + zinc → zinc chloride +. What is the balanced equation for this reaction? B consider the reaction of magnesium hydroxide with sulfuric acid. If 0.605 g of magnesium hydroxide reacts with 0.850 g of sulfuric acid,. Magnesium Hydroxide Reacts With Sulfuric Acid.
From www.toppr.com
The equation shows the reaction between magnesium and sulphuric acidMg + H_2SO_4 longrightarrow Magnesium Hydroxide Reacts With Sulfuric Acid Magnesium hydroxide reacts with sulfuric acid to form magnesium sulfate and water. B consider the reaction of magnesium hydroxide with sulfuric acid. Mg(oh)2 (s) + h2so4 (aq) →. Magnesium hydroxide + sulfuric acid = magnesium sulfate + water. Acids will react with reactive metals, such as magnesium and zinc, to make a salt and hydrogen. The easiest way to see. Magnesium Hydroxide Reacts With Sulfuric Acid.
From www.slideserve.com
PPT Reactions of Acids PowerPoint Presentation, free download ID4896454 Magnesium Hydroxide Reacts With Sulfuric Acid The easiest way to see this reaction is to take a test tube of sulfuric acid and drop a small ribbon of magnesium into the clear liquid. Mg(oh)2 + h2so4 = mg(so4) + h2o is a double displacement. Mg(oh)2 (s) + h2so4 (aq) →. Hydrochloric acid + zinc → zinc chloride +. Acids will react with reactive metals, such as. Magnesium Hydroxide Reacts With Sulfuric Acid.
From royce-has-larson.blogspot.com
Magnesium Sulfuric Acid RoycehasLarson Magnesium Hydroxide Reacts With Sulfuric Acid Acid + metal → salt + hydrogen. If 0.605 g of magnesium hydroxide reacts with 0.850 g of sulfuric acid, what is the mass of magnesium sulfate produced?. The easiest way to see this reaction is to take a test tube of sulfuric acid and drop a small ribbon of magnesium into the clear liquid. Acids will react with reactive. Magnesium Hydroxide Reacts With Sulfuric Acid.
From www.tessshebaylo.com
Word Equation For Reaction Between Magnesium And Sulfuric Acid Tessshebaylo Magnesium Hydroxide Reacts With Sulfuric Acid Magnesium hydroxide reacts with sulfuric acid to form magnesium sulfate and water. Mg(oh)2 (s) + h2so4 (aq) →. Acids will react with reactive metals, such as magnesium and zinc, to make a salt and hydrogen. Acid + metal → salt + hydrogen. The easiest way to see this reaction is to take a test tube of sulfuric acid and drop. Magnesium Hydroxide Reacts With Sulfuric Acid.
From askfilo.com
(ii) the reaction between magnesium hydroxide (a base) and sulphuric yiel.. Magnesium Hydroxide Reacts With Sulfuric Acid If 0.605 g of magnesium hydroxide reacts with 0.850 g of sulfuric acid, what is the mass of magnesium sulfate produced?. If 0.630 g of magnesium hydroxide reacts with 0.800 g of sulfuric acid, what is the mass of magnesium sulfate produced? Hydrochloric acid + zinc → zinc chloride +. B consider the reaction of magnesium hydroxide with sulfuric acid.. Magnesium Hydroxide Reacts With Sulfuric Acid.
From w20.b2m.cz
Mg Oh 2 H2so4 EDUCA Magnesium Hydroxide Reacts With Sulfuric Acid Magnesium hydroxide + sulfuric acid = magnesium sulfate + water. Hydrochloric acid + zinc → zinc chloride +. Mg(oh)2 + h2so4 = mg(so4) + h2o is a double displacement. Magnesium readily reacts with sulfuric acid and forms hydrogen gas bubbles and aqueous magnesium sulfate after the reactants are consumed. Magnesium hydroxide reacts with sulfuric acid to form magnesium sulfate and. Magnesium Hydroxide Reacts With Sulfuric Acid.
From www.numerade.com
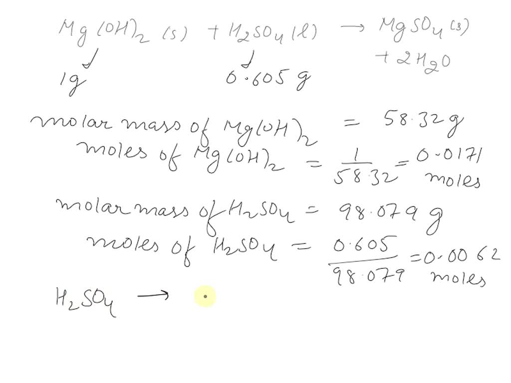
SOLVEDIf 1.00 g of magnesium hydroxide reacts with 0.605 g of sulfuric acid, what is the mass Magnesium Hydroxide Reacts With Sulfuric Acid B consider the reaction of magnesium hydroxide with sulfuric acid. Mg(oh)2 (s) + h2so4 (aq) →. Magnesium readily reacts with sulfuric acid and forms hydrogen gas bubbles and aqueous magnesium sulfate after the reactants are consumed. If 0.605 g of magnesium hydroxide reacts with 0.850 g of sulfuric acid, what is the mass of magnesium sulfate produced?. Hydrochloric acid +. Magnesium Hydroxide Reacts With Sulfuric Acid.
From www.advance-africa.com
Chemistry Notes Acid, Bases and Indicators Revision Notes & Tests Magnesium Hydroxide Reacts With Sulfuric Acid Mg(oh)2 + h2so4 = mg(so4) + h2o is a double displacement. Mg(oh)2 (s) + h2so4 (aq) →. The easiest way to see this reaction is to take a test tube of sulfuric acid and drop a small ribbon of magnesium into the clear liquid. If 0.630 g of magnesium hydroxide reacts with 0.800 g of sulfuric acid, what is the. Magnesium Hydroxide Reacts With Sulfuric Acid.
From www.chegg.com
Solved Magnesium metal is added to Sulfuric Acid. What are Magnesium Hydroxide Reacts With Sulfuric Acid Magnesium hydroxide reacts with sulfuric acid to form magnesium sulfate and water. Acid + metal → salt + hydrogen. Mg(oh)2 + h2so4 = mg(so4) + h2o is a double displacement. B consider the reaction of magnesium hydroxide with sulfuric acid. Magnesium hydroxide + sulfuric acid = magnesium sulfate + water. Magnesium readily reacts with sulfuric acid and forms hydrogen gas. Magnesium Hydroxide Reacts With Sulfuric Acid.
From www.toppr.com
8 The equation the reaction between magnesium and dilute sulfuric acid is shown. The M, of MgSO4 Magnesium Hydroxide Reacts With Sulfuric Acid Magnesium readily reacts with sulfuric acid and forms hydrogen gas bubbles and aqueous magnesium sulfate after the reactants are consumed. Hydrochloric acid + zinc → zinc chloride +. The easiest way to see this reaction is to take a test tube of sulfuric acid and drop a small ribbon of magnesium into the clear liquid. If 0.605 g of magnesium. Magnesium Hydroxide Reacts With Sulfuric Acid.
From www.chegg.com
Solved If 0.607 g of magnesium hydroxide reacts with 0.870 g Magnesium Hydroxide Reacts With Sulfuric Acid Magnesium readily reacts with sulfuric acid and forms hydrogen gas bubbles and aqueous magnesium sulfate after the reactants are consumed. Hydrochloric acid + zinc → zinc chloride +. Mg(oh)2 (s) + h2so4 (aq) →. Acids will react with reactive metals, such as magnesium and zinc, to make a salt and hydrogen. Acid + metal → salt + hydrogen. What is. Magnesium Hydroxide Reacts With Sulfuric Acid.
From igcse-chemistry-2017.blogspot.com
IGCSE Chemistry 2017 2.21 Practical Investigate Reactions Between Dilute Hydrochloric and Magnesium Hydroxide Reacts With Sulfuric Acid If 0.605 g of magnesium hydroxide reacts with 0.850 g of sulfuric acid, what is the mass of magnesium sulfate produced?. Magnesium hydroxide reacts with sulfuric acid to form magnesium sulfate and water. Mg(oh)2 + h2so4 = mg(so4) + h2o is a double displacement. What is the balanced equation for this reaction? Magnesium readily reacts with sulfuric acid and forms. Magnesium Hydroxide Reacts With Sulfuric Acid.
From www.numerade.com
SOLVEDIf 0.605 g of magnesium hydroxide reacts with 1.00 g of sulfuric acid according to the Magnesium Hydroxide Reacts With Sulfuric Acid Mg(oh)2 (s) + h2so4 (aq) →. Magnesium hydroxide + sulfuric acid = magnesium sulfate + water. What is the balanced equation for this reaction? The easiest way to see this reaction is to take a test tube of sulfuric acid and drop a small ribbon of magnesium into the clear liquid. Magnesium readily reacts with sulfuric acid and forms hydrogen. Magnesium Hydroxide Reacts With Sulfuric Acid.
From www.numerade.com
SOLVED If 1.00 g of magnesium hydroxide reacts with 0.605 g of sulfuric acid, what is the mass Magnesium Hydroxide Reacts With Sulfuric Acid B consider the reaction of magnesium hydroxide with sulfuric acid. If 0.605 g of magnesium hydroxide reacts with 0.850 g of sulfuric acid, what is the mass of magnesium sulfate produced?. Hydrochloric acid + zinc → zinc chloride +. Mg(oh)2 + h2so4 = mg(so4) + h2o is a double displacement. Magnesium hydroxide + sulfuric acid = magnesium sulfate + water.. Magnesium Hydroxide Reacts With Sulfuric Acid.
From www.numerade.com
SOLVEDWrite a balanced molecular equation and a net ionic equation for the following reactions Magnesium Hydroxide Reacts With Sulfuric Acid Acid + metal → salt + hydrogen. If 0.605 g of magnesium hydroxide reacts with 0.850 g of sulfuric acid, what is the mass of magnesium sulfate produced?. Mg(oh)2 (s) + h2so4 (aq) →. If 0.630 g of magnesium hydroxide reacts with 0.800 g of sulfuric acid, what is the mass of magnesium sulfate produced? What is the balanced equation. Magnesium Hydroxide Reacts With Sulfuric Acid.
From www.slideserve.com
PPT Chemical Formulae and Balancing Chemical Equations PowerPoint Presentation ID2067720 Magnesium Hydroxide Reacts With Sulfuric Acid Acids will react with reactive metals, such as magnesium and zinc, to make a salt and hydrogen. The easiest way to see this reaction is to take a test tube of sulfuric acid and drop a small ribbon of magnesium into the clear liquid. Magnesium readily reacts with sulfuric acid and forms hydrogen gas bubbles and aqueous magnesium sulfate after. Magnesium Hydroxide Reacts With Sulfuric Acid.
From www.gauthmath.com
Solved Magnesium reacts with sulfuric acid in a single replacement reaction. Mg+H_2SO_4 Which Magnesium Hydroxide Reacts With Sulfuric Acid The easiest way to see this reaction is to take a test tube of sulfuric acid and drop a small ribbon of magnesium into the clear liquid. Mg(oh)2 + h2so4 = mg(so4) + h2o is a double displacement. Magnesium readily reacts with sulfuric acid and forms hydrogen gas bubbles and aqueous magnesium sulfate after the reactants are consumed. If 0.605. Magnesium Hydroxide Reacts With Sulfuric Acid.
From www.coursehero.com
[Solved] Does magnesium nitrate and sulfuric acid react together? If so, how... Course Hero Magnesium Hydroxide Reacts With Sulfuric Acid Hydrochloric acid + zinc → zinc chloride +. Mg(oh)2 + h2so4 = mg(so4) + h2o is a double displacement. Magnesium readily reacts with sulfuric acid and forms hydrogen gas bubbles and aqueous magnesium sulfate after the reactants are consumed. Magnesium hydroxide + sulfuric acid = magnesium sulfate + water. What is the balanced equation for this reaction? If 0.605 g. Magnesium Hydroxide Reacts With Sulfuric Acid.