After The Fact Law . In the intricate world of criminal law, the role of an “accessory after the fact” occupies a niche yet significant place. Under the criminal code, the act constituting the offence of being an accessory after the fact is receipt or assistance given to an offender after. Some states still call the crime of accessory “accessory after the fact” (mass. An accessory after the fact is a legal term used to describe a person who, knowing that a crime has been committed, assists the. 274, 2011) or “hindering prosecution” (haw. Being an accessory after the fact means you are not involved in the crime itself, but you assist the person who committed the crime after it has.
from www.morebooks.de
Under the criminal code, the act constituting the offence of being an accessory after the fact is receipt or assistance given to an offender after. Being an accessory after the fact means you are not involved in the crime itself, but you assist the person who committed the crime after it has. Some states still call the crime of accessory “accessory after the fact” (mass. In the intricate world of criminal law, the role of an “accessory after the fact” occupies a niche yet significant place. An accessory after the fact is a legal term used to describe a person who, knowing that a crime has been committed, assists the. 274, 2011) or “hindering prosecution” (haw.
Ex post facto law, 9786130845360, 6130845367 ,9786130845360
After The Fact Law An accessory after the fact is a legal term used to describe a person who, knowing that a crime has been committed, assists the. 274, 2011) or “hindering prosecution” (haw. An accessory after the fact is a legal term used to describe a person who, knowing that a crime has been committed, assists the. In the intricate world of criminal law, the role of an “accessory after the fact” occupies a niche yet significant place. Being an accessory after the fact means you are not involved in the crime itself, but you assist the person who committed the crime after it has. Under the criminal code, the act constituting the offence of being an accessory after the fact is receipt or assistance given to an offender after. Some states still call the crime of accessory “accessory after the fact” (mass.
From www.slideserve.com
PPT The Elements of a Crime PowerPoint Presentation, free download After The Fact Law Being an accessory after the fact means you are not involved in the crime itself, but you assist the person who committed the crime after it has. In the intricate world of criminal law, the role of an “accessory after the fact” occupies a niche yet significant place. An accessory after the fact is a legal term used to describe. After The Fact Law.
From www.tekportal.net
after the fact Liberal Dictionary After The Fact Law 274, 2011) or “hindering prosecution” (haw. Being an accessory after the fact means you are not involved in the crime itself, but you assist the person who committed the crime after it has. Some states still call the crime of accessory “accessory after the fact” (mass. In the intricate world of criminal law, the role of an “accessory after the. After The Fact Law.
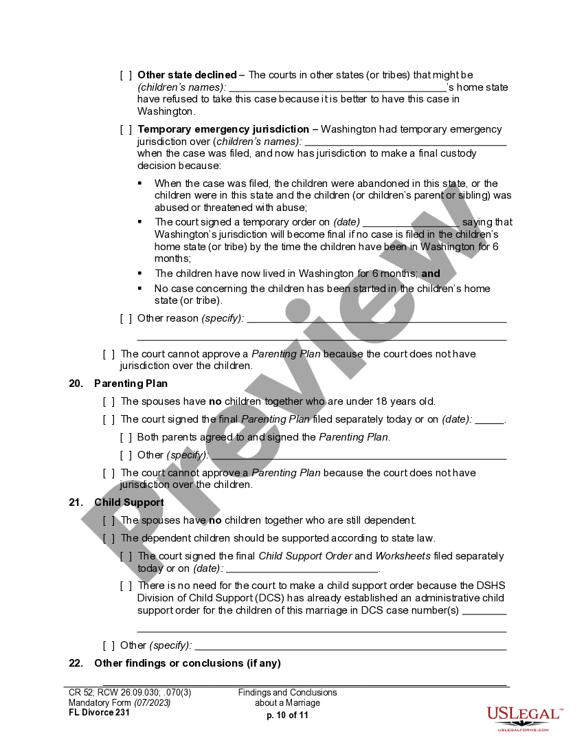
From www.uslegalforms.com
Salt Lake Utah Findings of Fact and Conclusion of Law US Legal Forms After The Fact Law An accessory after the fact is a legal term used to describe a person who, knowing that a crime has been committed, assists the. Some states still call the crime of accessory “accessory after the fact” (mass. Under the criminal code, the act constituting the offence of being an accessory after the fact is receipt or assistance given to an. After The Fact Law.
From www.youtube.com
Presumtion of fact and law section 4 evidence act YouTube After The Fact Law Being an accessory after the fact means you are not involved in the crime itself, but you assist the person who committed the crime after it has. Under the criminal code, the act constituting the offence of being an accessory after the fact is receipt or assistance given to an offender after. 274, 2011) or “hindering prosecution” (haw. In the. After The Fact Law.
From www.wazzup.ph
ANC launches "After The Fact" with Christian Esguerra After The Fact Law Being an accessory after the fact means you are not involved in the crime itself, but you assist the person who committed the crime after it has. Some states still call the crime of accessory “accessory after the fact” (mass. 274, 2011) or “hindering prosecution” (haw. Under the criminal code, the act constituting the offence of being an accessory after. After The Fact Law.
From www.imdb.com
"Knowing Faith" After the Fact What Does The Law of Moses Have To Do After The Fact Law An accessory after the fact is a legal term used to describe a person who, knowing that a crime has been committed, assists the. Under the criminal code, the act constituting the offence of being an accessory after the fact is receipt or assistance given to an offender after. Some states still call the crime of accessory “accessory after the. After The Fact Law.
From redadeptpublishing.com
After the Fact Red Adept Publishing After The Fact Law Some states still call the crime of accessory “accessory after the fact” (mass. 274, 2011) or “hindering prosecution” (haw. In the intricate world of criminal law, the role of an “accessory after the fact” occupies a niche yet significant place. An accessory after the fact is a legal term used to describe a person who, knowing that a crime has. After The Fact Law.
From www.youtube.com
🔵 Before the Fact Meaning After The Fact Definition Accessory After the After The Fact Law 274, 2011) or “hindering prosecution” (haw. Being an accessory after the fact means you are not involved in the crime itself, but you assist the person who committed the crime after it has. In the intricate world of criminal law, the role of an “accessory after the fact” occupies a niche yet significant place. An accessory after the fact is. After The Fact Law.
From quotefancy.com
Carl Sandburg Quote “If the facts are against you, argue the law. If After The Fact Law Some states still call the crime of accessory “accessory after the fact” (mass. Being an accessory after the fact means you are not involved in the crime itself, but you assist the person who committed the crime after it has. 274, 2011) or “hindering prosecution” (haw. Under the criminal code, the act constituting the offence of being an accessory after. After The Fact Law.
From www.wikihow.com
3 Ways to Explain the Difference Between Theory, Law, and a Fact After The Fact Law 274, 2011) or “hindering prosecution” (haw. Being an accessory after the fact means you are not involved in the crime itself, but you assist the person who committed the crime after it has. Under the criminal code, the act constituting the offence of being an accessory after the fact is receipt or assistance given to an offender after. In the. After The Fact Law.
From www.uslegalforms.com
Washington Findings of Fact and Conclusions of Law With or Without After The Fact Law An accessory after the fact is a legal term used to describe a person who, knowing that a crime has been committed, assists the. Under the criminal code, the act constituting the offence of being an accessory after the fact is receipt or assistance given to an offender after. Being an accessory after the fact means you are not involved. After The Fact Law.
From www.youtube.com
Fact vs Theory vs Hypothesis vs Law Difference YouTube After The Fact Law Being an accessory after the fact means you are not involved in the crime itself, but you assist the person who committed the crime after it has. Some states still call the crime of accessory “accessory after the fact” (mass. In the intricate world of criminal law, the role of an “accessory after the fact” occupies a niche yet significant. After The Fact Law.
From quotefancy.com
Carl Sandburg Quote “If the facts are against you, argue the law. If After The Fact Law In the intricate world of criminal law, the role of an “accessory after the fact” occupies a niche yet significant place. 274, 2011) or “hindering prosecution” (haw. Being an accessory after the fact means you are not involved in the crime itself, but you assist the person who committed the crime after it has. Some states still call the crime. After The Fact Law.
From lawstuffexplained.com
Can You Be Charged With Disorderly Conduct After The Fact? Law Stuff After The Fact Law Being an accessory after the fact means you are not involved in the crime itself, but you assist the person who committed the crime after it has. An accessory after the fact is a legal term used to describe a person who, knowing that a crime has been committed, assists the. In the intricate world of criminal law, the role. After The Fact Law.
From www.penguin.com.au
After the Fact? by Marcus GilroyWare Penguin Books Australia After The Fact Law 274, 2011) or “hindering prosecution” (haw. Being an accessory after the fact means you are not involved in the crime itself, but you assist the person who committed the crime after it has. Under the criminal code, the act constituting the offence of being an accessory after the fact is receipt or assistance given to an offender after. An accessory. After The Fact Law.
From www.uslegalforms.com
New York Findings of Fact and Conclusions of Law US Legal Forms After The Fact Law In the intricate world of criminal law, the role of an “accessory after the fact” occupies a niche yet significant place. Some states still call the crime of accessory “accessory after the fact” (mass. 274, 2011) or “hindering prosecution” (haw. Under the criminal code, the act constituting the offence of being an accessory after the fact is receipt or assistance. After The Fact Law.
From www.dochub.com
Findings of fact example Fill out & sign online DocHub After The Fact Law 274, 2011) or “hindering prosecution” (haw. Under the criminal code, the act constituting the offence of being an accessory after the fact is receipt or assistance given to an offender after. In the intricate world of criminal law, the role of an “accessory after the fact” occupies a niche yet significant place. Being an accessory after the fact means you. After The Fact Law.
From www.walmart.com
After the Fact, Vol. 2 (After the Fact The Art of Historical Detection After The Fact Law Being an accessory after the fact means you are not involved in the crime itself, but you assist the person who committed the crime after it has. In the intricate world of criminal law, the role of an “accessory after the fact” occupies a niche yet significant place. An accessory after the fact is a legal term used to describe. After The Fact Law.
From www.ourlegalworld.com
Distinction between Presumption of Fact and Presumption of Law After The Fact Law Some states still call the crime of accessory “accessory after the fact” (mass. An accessory after the fact is a legal term used to describe a person who, knowing that a crime has been committed, assists the. In the intricate world of criminal law, the role of an “accessory after the fact” occupies a niche yet significant place. Under the. After The Fact Law.
From lawstuffexplained.com
Can You Be Charged With Trespassing After The Fact? Law Stuff Explained After The Fact Law In the intricate world of criminal law, the role of an “accessory after the fact” occupies a niche yet significant place. 274, 2011) or “hindering prosecution” (haw. Some states still call the crime of accessory “accessory after the fact” (mass. Being an accessory after the fact means you are not involved in the crime itself, but you assist the person. After The Fact Law.
From www.slideserve.com
PPT Fact, Hypothesis, Law, Theory PowerPoint Presentation ID562003 After The Fact Law 274, 2011) or “hindering prosecution” (haw. Being an accessory after the fact means you are not involved in the crime itself, but you assist the person who committed the crime after it has. Some states still call the crime of accessory “accessory after the fact” (mass. An accessory after the fact is a legal term used to describe a person. After The Fact Law.
From dokumen.tips
(PDF) FINDINGS OF FACT & CONCLUSIONS OF LAW DOKUMEN.TIPS After The Fact Law Under the criminal code, the act constituting the offence of being an accessory after the fact is receipt or assistance given to an offender after. In the intricate world of criminal law, the role of an “accessory after the fact” occupies a niche yet significant place. Some states still call the crime of accessory “accessory after the fact” (mass. An. After The Fact Law.
From iecriminaldefense.com
California Penal Code 32 Understanding the Legal Definition of After The Fact Law An accessory after the fact is a legal term used to describe a person who, knowing that a crime has been committed, assists the. 274, 2011) or “hindering prosecution” (haw. Under the criminal code, the act constituting the offence of being an accessory after the fact is receipt or assistance given to an offender after. Some states still call the. After The Fact Law.
From jagomart.net
Budget Spreadsheet 29333 Guidelines For After The Fact Review Of After The Fact Law Under the criminal code, the act constituting the offence of being an accessory after the fact is receipt or assistance given to an offender after. In the intricate world of criminal law, the role of an “accessory after the fact” occupies a niche yet significant place. An accessory after the fact is a legal term used to describe a person. After The Fact Law.
From www.slideserve.com
PPT Criminal Law Chapter 2 Constitutional Limits on Criminal Law After The Fact Law 274, 2011) or “hindering prosecution” (haw. Under the criminal code, the act constituting the offence of being an accessory after the fact is receipt or assistance given to an offender after. In the intricate world of criminal law, the role of an “accessory after the fact” occupies a niche yet significant place. Being an accessory after the fact means you. After The Fact Law.
From www.rossalbers.com
Accessory After the Fact Definitions and Potential Consequences After The Fact Law An accessory after the fact is a legal term used to describe a person who, knowing that a crime has been committed, assists the. 274, 2011) or “hindering prosecution” (haw. Some states still call the crime of accessory “accessory after the fact” (mass. Being an accessory after the fact means you are not involved in the crime itself, but you. After The Fact Law.
From familylawheadquarters.com
What are findings of fact and conclusions of law? Family Law After The Fact Law Some states still call the crime of accessory “accessory after the fact” (mass. An accessory after the fact is a legal term used to describe a person who, knowing that a crime has been committed, assists the. In the intricate world of criminal law, the role of an “accessory after the fact” occupies a niche yet significant place. 274, 2011). After The Fact Law.
From www.pewtrusts.org
Introducing 'After the Fact' The Pew Charitable Trusts After The Fact Law In the intricate world of criminal law, the role of an “accessory after the fact” occupies a niche yet significant place. An accessory after the fact is a legal term used to describe a person who, knowing that a crime has been committed, assists the. 274, 2011) or “hindering prosecution” (haw. Being an accessory after the fact means you are. After The Fact Law.
From www.morebooks.de
Ex post facto law, 9786130845360, 6130845367 ,9786130845360 After The Fact Law Being an accessory after the fact means you are not involved in the crime itself, but you assist the person who committed the crime after it has. Under the criminal code, the act constituting the offence of being an accessory after the fact is receipt or assistance given to an offender after. An accessory after the fact is a legal. After The Fact Law.
From www.studocu.com
Criminal Law Prof. Norman 1 1.1 Accessory after the fact 1.1 After The Fact Law Being an accessory after the fact means you are not involved in the crime itself, but you assist the person who committed the crime after it has. Some states still call the crime of accessory “accessory after the fact” (mass. In the intricate world of criminal law, the role of an “accessory after the fact” occupies a niche yet significant. After The Fact Law.
From www.goodreads.com
After the Fact The Erosion of Truth and the Inevitable Rise of Donald After The Fact Law Under the criminal code, the act constituting the offence of being an accessory after the fact is receipt or assistance given to an offender after. An accessory after the fact is a legal term used to describe a person who, knowing that a crime has been committed, assists the. In the intricate world of criminal law, the role of an. After The Fact Law.
From amazingfacts4u.com
100 Amazing Law Facts You May Not Know Amazing Facts 4U After The Fact Law In the intricate world of criminal law, the role of an “accessory after the fact” occupies a niche yet significant place. Being an accessory after the fact means you are not involved in the crime itself, but you assist the person who committed the crime after it has. An accessory after the fact is a legal term used to describe. After The Fact Law.
From www.youtube.com
After the fact Meaning YouTube After The Fact Law In the intricate world of criminal law, the role of an “accessory after the fact” occupies a niche yet significant place. Being an accessory after the fact means you are not involved in the crime itself, but you assist the person who committed the crime after it has. 274, 2011) or “hindering prosecution” (haw. An accessory after the fact is. After The Fact Law.
From www.slideserve.com
PPT An Introduction to the Law and its Sources PowerPoint After The Fact Law Under the criminal code, the act constituting the offence of being an accessory after the fact is receipt or assistance given to an offender after. Being an accessory after the fact means you are not involved in the crime itself, but you assist the person who committed the crime after it has. In the intricate world of criminal law, the. After The Fact Law.
From www.slideserve.com
PPT Introduction to Criminal Law PowerPoint Presentation, free After The Fact Law An accessory after the fact is a legal term used to describe a person who, knowing that a crime has been committed, assists the. Being an accessory after the fact means you are not involved in the crime itself, but you assist the person who committed the crime after it has. 274, 2011) or “hindering prosecution” (haw. Under the criminal. After The Fact Law.