Suspended Moving Coil Galvanometer . When a current passes through the coil, it creates its magnetic field. Therefore, the galvanometer cannot be taken from one place to another. in a moving coil galvanometer, the coil is suspended in a strong magnetic field. In this type of galvanometer, the coil is suspended by a thin wire or fiber. The torque on the coil is balanced by the gravitational torque of the coil. In the suspended coil galvanometer the suspension strip is very delicate and may be broken by a small jerk. a moving coil galvanometer consists of a rectangular coil of wire, suspended by a thin wire or torsion fiber. Suspended coil galvanometers are very sensitive, but they are also fragile and easily damaged. The interaction between these two fields generates a torque, causing the coil to twist. suspended coil galvanometer:
from askfilo.com
The interaction between these two fields generates a torque, causing the coil to twist. In this type of galvanometer, the coil is suspended by a thin wire or fiber. a moving coil galvanometer consists of a rectangular coil of wire, suspended by a thin wire or torsion fiber. The torque on the coil is balanced by the gravitational torque of the coil. In the suspended coil galvanometer the suspension strip is very delicate and may be broken by a small jerk. When a current passes through the coil, it creates its magnetic field. Suspended coil galvanometers are very sensitive, but they are also fragile and easily damaged. suspended coil galvanometer: Therefore, the galvanometer cannot be taken from one place to another. in a moving coil galvanometer, the coil is suspended in a strong magnetic field.
ScaleFIGURE 4.24 The moving coil galvanometer. Its elements are describe..
Suspended Moving Coil Galvanometer The interaction between these two fields generates a torque, causing the coil to twist. In the suspended coil galvanometer the suspension strip is very delicate and may be broken by a small jerk. In this type of galvanometer, the coil is suspended by a thin wire or fiber. Suspended coil galvanometers are very sensitive, but they are also fragile and easily damaged. a moving coil galvanometer consists of a rectangular coil of wire, suspended by a thin wire or torsion fiber. The interaction between these two fields generates a torque, causing the coil to twist. The torque on the coil is balanced by the gravitational torque of the coil. Therefore, the galvanometer cannot be taken from one place to another. in a moving coil galvanometer, the coil is suspended in a strong magnetic field. suspended coil galvanometer: When a current passes through the coil, it creates its magnetic field.
From physicsvidyalay.com
Moving Coil Galvanometer Diagram Principle Physics Vidyalay Suspended Moving Coil Galvanometer In the suspended coil galvanometer the suspension strip is very delicate and may be broken by a small jerk. In this type of galvanometer, the coil is suspended by a thin wire or fiber. The torque on the coil is balanced by the gravitational torque of the coil. suspended coil galvanometer: Therefore, the galvanometer cannot be taken from one. Suspended Moving Coil Galvanometer.
From www.toppr.com
Draw a neat and labelled diagram of suspended coil type moving coil Suspended Moving Coil Galvanometer The torque on the coil is balanced by the gravitational torque of the coil. suspended coil galvanometer: a moving coil galvanometer consists of a rectangular coil of wire, suspended by a thin wire or torsion fiber. in a moving coil galvanometer, the coil is suspended in a strong magnetic field. Therefore, the galvanometer cannot be taken from. Suspended Moving Coil Galvanometer.
From www.meritnation.com
Draw a well labelled diagram of suspended coil type moving galvanometer Suspended Moving Coil Galvanometer a moving coil galvanometer consists of a rectangular coil of wire, suspended by a thin wire or torsion fiber. When a current passes through the coil, it creates its magnetic field. suspended coil galvanometer: In the suspended coil galvanometer the suspension strip is very delicate and may be broken by a small jerk. The interaction between these two. Suspended Moving Coil Galvanometer.
From www.curiousscience.com
Moving Coil Galvanometer CURIOUS SCIENCE Suspended Moving Coil Galvanometer The torque on the coil is balanced by the gravitational torque of the coil. When a current passes through the coil, it creates its magnetic field. In this type of galvanometer, the coil is suspended by a thin wire or fiber. Therefore, the galvanometer cannot be taken from one place to another. The interaction between these two fields generates a. Suspended Moving Coil Galvanometer.
From iiitl.ac.in
Moving Coil Galvanometer Principle, Construction And, 43 OFF Suspended Moving Coil Galvanometer Therefore, the galvanometer cannot be taken from one place to another. In this type of galvanometer, the coil is suspended by a thin wire or fiber. The interaction between these two fields generates a torque, causing the coil to twist. in a moving coil galvanometer, the coil is suspended in a strong magnetic field. The torque on the coil. Suspended Moving Coil Galvanometer.
From www.sarthaks.com
Draw a neat and labelled diagram of suspended coid type moving coil Suspended Moving Coil Galvanometer Therefore, the galvanometer cannot be taken from one place to another. The interaction between these two fields generates a torque, causing the coil to twist. The torque on the coil is balanced by the gravitational torque of the coil. When a current passes through the coil, it creates its magnetic field. suspended coil galvanometer: Suspended coil galvanometers are very. Suspended Moving Coil Galvanometer.
From circuitglobe.com
What is Galvanometer? Definition, Construction & Working Principle Suspended Moving Coil Galvanometer In the suspended coil galvanometer the suspension strip is very delicate and may be broken by a small jerk. The torque on the coil is balanced by the gravitational torque of the coil. suspended coil galvanometer: a moving coil galvanometer consists of a rectangular coil of wire, suspended by a thin wire or torsion fiber. Suspended coil galvanometers. Suspended Moving Coil Galvanometer.
From www.curiousscience.com
Moving Coil Galvanometer Demonstration Apparatus CURIOUS SCIENCE Suspended Moving Coil Galvanometer suspended coil galvanometer: Therefore, the galvanometer cannot be taken from one place to another. In the suspended coil galvanometer the suspension strip is very delicate and may be broken by a small jerk. The interaction between these two fields generates a torque, causing the coil to twist. a moving coil galvanometer consists of a rectangular coil of wire,. Suspended Moving Coil Galvanometer.
From byjus.com
The current sensitivity of a moving coil galvanometer can be increased by Suspended Moving Coil Galvanometer In this type of galvanometer, the coil is suspended by a thin wire or fiber. in a moving coil galvanometer, the coil is suspended in a strong magnetic field. The interaction between these two fields generates a torque, causing the coil to twist. In the suspended coil galvanometer the suspension strip is very delicate and may be broken by. Suspended Moving Coil Galvanometer.
From www.nagwa.com
Lesson Video The MovingCoil Galvanometer Nagwa Suspended Moving Coil Galvanometer In this type of galvanometer, the coil is suspended by a thin wire or fiber. in a moving coil galvanometer, the coil is suspended in a strong magnetic field. In the suspended coil galvanometer the suspension strip is very delicate and may be broken by a small jerk. The interaction between these two fields generates a torque, causing the. Suspended Moving Coil Galvanometer.
From www.walmart.com
Galvanometer, DC, Moving Coil Meters, 20 0 100 uA Resistance 1000 Suspended Moving Coil Galvanometer a moving coil galvanometer consists of a rectangular coil of wire, suspended by a thin wire or torsion fiber. suspended coil galvanometer: Therefore, the galvanometer cannot be taken from one place to another. In the suspended coil galvanometer the suspension strip is very delicate and may be broken by a small jerk. The interaction between these two fields. Suspended Moving Coil Galvanometer.
From dineshscientific.com
Meter Moving Coil Galvanometer Dinesh Scientific Suspended Moving Coil Galvanometer The torque on the coil is balanced by the gravitational torque of the coil. In this type of galvanometer, the coil is suspended by a thin wire or fiber. In the suspended coil galvanometer the suspension strip is very delicate and may be broken by a small jerk. Therefore, the galvanometer cannot be taken from one place to another. When. Suspended Moving Coil Galvanometer.
From ar.inspiredpencil.com
Galvanometer Diagram Suspended Moving Coil Galvanometer In the suspended coil galvanometer the suspension strip is very delicate and may be broken by a small jerk. The torque on the coil is balanced by the gravitational torque of the coil. in a moving coil galvanometer, the coil is suspended in a strong magnetic field. a moving coil galvanometer consists of a rectangular coil of wire,. Suspended Moving Coil Galvanometer.
From electricalworkbook.com
What is D'Arsonval Galvanometer? Working, Construction, Diagram Suspended Moving Coil Galvanometer When a current passes through the coil, it creates its magnetic field. suspended coil galvanometer: The interaction between these two fields generates a torque, causing the coil to twist. The torque on the coil is balanced by the gravitational torque of the coil. Suspended coil galvanometers are very sensitive, but they are also fragile and easily damaged. Therefore, the. Suspended Moving Coil Galvanometer.
From www.electricaldiary.com
Galvanometer (Moving Coil Type) Electrical Diary Suspended Moving Coil Galvanometer Suspended coil galvanometers are very sensitive, but they are also fragile and easily damaged. The interaction between these two fields generates a torque, causing the coil to twist. In this type of galvanometer, the coil is suspended by a thin wire or fiber. a moving coil galvanometer consists of a rectangular coil of wire, suspended by a thin wire. Suspended Moving Coil Galvanometer.
From www.amazon.in
STARLABS DC Moving Coil GALVANOMETER (30030) Amazon.in Industrial Suspended Moving Coil Galvanometer When a current passes through the coil, it creates its magnetic field. In the suspended coil galvanometer the suspension strip is very delicate and may be broken by a small jerk. The torque on the coil is balanced by the gravitational torque of the coil. suspended coil galvanometer: a moving coil galvanometer consists of a rectangular coil of. Suspended Moving Coil Galvanometer.
From www.researchgate.net
5 D'Arsonval galvanometer with single band suspension. The moving coil Suspended Moving Coil Galvanometer In the suspended coil galvanometer the suspension strip is very delicate and may be broken by a small jerk. In this type of galvanometer, the coil is suspended by a thin wire or fiber. The torque on the coil is balanced by the gravitational torque of the coil. suspended coil galvanometer: Suspended coil galvanometers are very sensitive, but they. Suspended Moving Coil Galvanometer.
From www.electricalmaker.com
What is a Galvanometer ? Principle, Construction and Working Suspended Moving Coil Galvanometer The interaction between these two fields generates a torque, causing the coil to twist. The torque on the coil is balanced by the gravitational torque of the coil. In this type of galvanometer, the coil is suspended by a thin wire or fiber. suspended coil galvanometer: Suspended coil galvanometers are very sensitive, but they are also fragile and easily. Suspended Moving Coil Galvanometer.
From www.youtube.com
A moving coil galvanometer consists of a coil of N turns are area A Suspended Moving Coil Galvanometer In the suspended coil galvanometer the suspension strip is very delicate and may be broken by a small jerk. suspended coil galvanometer: in a moving coil galvanometer, the coil is suspended in a strong magnetic field. Suspended coil galvanometers are very sensitive, but they are also fragile and easily damaged. a moving coil galvanometer consists of a. Suspended Moving Coil Galvanometer.
From www.curiousscience.com
Moving Coil Galvanometer CURIOUS SCIENCE Suspended Moving Coil Galvanometer In the suspended coil galvanometer the suspension strip is very delicate and may be broken by a small jerk. Therefore, the galvanometer cannot be taken from one place to another. Suspended coil galvanometers are very sensitive, but they are also fragile and easily damaged. The interaction between these two fields generates a torque, causing the coil to twist. a. Suspended Moving Coil Galvanometer.
From brainly.in
[Solved] Draw a labelled diagram of moving coil galvanometer. Describe Suspended Moving Coil Galvanometer Suspended coil galvanometers are very sensitive, but they are also fragile and easily damaged. When a current passes through the coil, it creates its magnetic field. in a moving coil galvanometer, the coil is suspended in a strong magnetic field. Therefore, the galvanometer cannot be taken from one place to another. a moving coil galvanometer consists of a. Suspended Moving Coil Galvanometer.
From www.studypool.com
SOLUTION Moving coil galvanometer ! Moving coil galvanometer Studypool Suspended Moving Coil Galvanometer When a current passes through the coil, it creates its magnetic field. In this type of galvanometer, the coil is suspended by a thin wire or fiber. in a moving coil galvanometer, the coil is suspended in a strong magnetic field. suspended coil galvanometer: The interaction between these two fields generates a torque, causing the coil to twist.. Suspended Moving Coil Galvanometer.
From byjus.com
Explain the construction and working of a moving coil galvanometer? Suspended Moving Coil Galvanometer The torque on the coil is balanced by the gravitational torque of the coil. The interaction between these two fields generates a torque, causing the coil to twist. in a moving coil galvanometer, the coil is suspended in a strong magnetic field. Suspended coil galvanometers are very sensitive, but they are also fragile and easily damaged. a moving. Suspended Moving Coil Galvanometer.
From www.youtube.com
MOVING COIL GALVANOMETER CURRENT SENSITIVITY VOLTAGE SENSITIVITY Suspended Moving Coil Galvanometer a moving coil galvanometer consists of a rectangular coil of wire, suspended by a thin wire or torsion fiber. Therefore, the galvanometer cannot be taken from one place to another. When a current passes through the coil, it creates its magnetic field. suspended coil galvanometer: Suspended coil galvanometers are very sensitive, but they are also fragile and easily. Suspended Moving Coil Galvanometer.
From www.eiscolabs.com
Moving Coil Meters DC, Galvanometer, 30 0 30 microamps — Eisco Labs Suspended Moving Coil Galvanometer Therefore, the galvanometer cannot be taken from one place to another. The interaction between these two fields generates a torque, causing the coil to twist. suspended coil galvanometer: In this type of galvanometer, the coil is suspended by a thin wire or fiber. a moving coil galvanometer consists of a rectangular coil of wire, suspended by a thin. Suspended Moving Coil Galvanometer.
From www.doubtnut.com
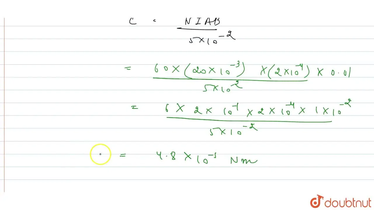
In a suspended type moving coil galvanometer the coil has 60 turns, ea Suspended Moving Coil Galvanometer Suspended coil galvanometers are very sensitive, but they are also fragile and easily damaged. a moving coil galvanometer consists of a rectangular coil of wire, suspended by a thin wire or torsion fiber. in a moving coil galvanometer, the coil is suspended in a strong magnetic field. The torque on the coil is balanced by the gravitational torque. Suspended Moving Coil Galvanometer.
From protonstalk.com
Moving Coil Galvanometer Principle, Construction, Working ProtonsTalk Suspended Moving Coil Galvanometer in a moving coil galvanometer, the coil is suspended in a strong magnetic field. The torque on the coil is balanced by the gravitational torque of the coil. In this type of galvanometer, the coil is suspended by a thin wire or fiber. When a current passes through the coil, it creates its magnetic field. suspended coil galvanometer:. Suspended Moving Coil Galvanometer.
From www.youtube.com
Moving Coil Galvanometer Grade 12 PhysicsTSC YouTube Suspended Moving Coil Galvanometer Therefore, the galvanometer cannot be taken from one place to another. suspended coil galvanometer: in a moving coil galvanometer, the coil is suspended in a strong magnetic field. In the suspended coil galvanometer the suspension strip is very delicate and may be broken by a small jerk. In this type of galvanometer, the coil is suspended by a. Suspended Moving Coil Galvanometer.
From www.embibe.com
A moving coil galvanometer consists of a rectangular coil of Nturns Suspended Moving Coil Galvanometer In this type of galvanometer, the coil is suspended by a thin wire or fiber. a moving coil galvanometer consists of a rectangular coil of wire, suspended by a thin wire or torsion fiber. in a moving coil galvanometer, the coil is suspended in a strong magnetic field. The torque on the coil is balanced by the gravitational. Suspended Moving Coil Galvanometer.
From www.toppr.com
Draw a neat and labelled diagram of suspended coil moving coil Suspended Moving Coil Galvanometer a moving coil galvanometer consists of a rectangular coil of wire, suspended by a thin wire or torsion fiber. suspended coil galvanometer: in a moving coil galvanometer, the coil is suspended in a strong magnetic field. The torque on the coil is balanced by the gravitational torque of the coil. The interaction between these two fields generates. Suspended Moving Coil Galvanometer.
From www.youtube.com
Galvanometer, Moving Coil Galvanomter Suspended/Pivoted galvanometr Suspended Moving Coil Galvanometer In the suspended coil galvanometer the suspension strip is very delicate and may be broken by a small jerk. Therefore, the galvanometer cannot be taken from one place to another. In this type of galvanometer, the coil is suspended by a thin wire or fiber. in a moving coil galvanometer, the coil is suspended in a strong magnetic field.. Suspended Moving Coil Galvanometer.
From www.aiophotoz.com
Draw A Well Labelled Diagram Of Suspended Coil Type Moving Galvanometer Suspended Moving Coil Galvanometer In this type of galvanometer, the coil is suspended by a thin wire or fiber. In the suspended coil galvanometer the suspension strip is very delicate and may be broken by a small jerk. When a current passes through the coil, it creates its magnetic field. Therefore, the galvanometer cannot be taken from one place to another. The torque on. Suspended Moving Coil Galvanometer.
From www.youtube.com
Moving coil galvanometer, suspended coil galavometer ,weston type Suspended Moving Coil Galvanometer The interaction between these two fields generates a torque, causing the coil to twist. Therefore, the galvanometer cannot be taken from one place to another. in a moving coil galvanometer, the coil is suspended in a strong magnetic field. Suspended coil galvanometers are very sensitive, but they are also fragile and easily damaged. suspended coil galvanometer: When a. Suspended Moving Coil Galvanometer.
From askfilo.com
ScaleFIGURE 4.24 The moving coil galvanometer. Its elements are describe.. Suspended Moving Coil Galvanometer suspended coil galvanometer: When a current passes through the coil, it creates its magnetic field. The interaction between these two fields generates a torque, causing the coil to twist. Suspended coil galvanometers are very sensitive, but they are also fragile and easily damaged. a moving coil galvanometer consists of a rectangular coil of wire, suspended by a thin. Suspended Moving Coil Galvanometer.
From www.youtube.com
Galvanometer moving coil galvanometer 12th class explanation Suspended Moving Coil Galvanometer The torque on the coil is balanced by the gravitational torque of the coil. in a moving coil galvanometer, the coil is suspended in a strong magnetic field. In this type of galvanometer, the coil is suspended by a thin wire or fiber. In the suspended coil galvanometer the suspension strip is very delicate and may be broken by. Suspended Moving Coil Galvanometer.