Temperature Of Nitrous Oxide Gas . nitrous oxide (n 2 o), one of several oxides of nitrogen, a colourless gas with pleasant, sweetish odour and taste, which when inhaled produces insensibility to pain preceded by mild hysteria, sometimes laughter. At uplifted temperatures, nitrous oxide is a. density (gas) as a function of temperature and pressure temperature from 182.33 k to 525 k pressure from 0.05 kpa to 7244.8 kpa
from byjus.com
density (gas) as a function of temperature and pressure temperature from 182.33 k to 525 k pressure from 0.05 kpa to 7244.8 kpa At uplifted temperatures, nitrous oxide is a. nitrous oxide (n 2 o), one of several oxides of nitrogen, a colourless gas with pleasant, sweetish odour and taste, which when inhaled produces insensibility to pain preceded by mild hysteria, sometimes laughter.
Nitric oxide gas at 2.0 atm. and oxygen gas at 1 atm are injected
Temperature Of Nitrous Oxide Gas At uplifted temperatures, nitrous oxide is a. At uplifted temperatures, nitrous oxide is a. nitrous oxide (n 2 o), one of several oxides of nitrogen, a colourless gas with pleasant, sweetish odour and taste, which when inhaled produces insensibility to pain preceded by mild hysteria, sometimes laughter. density (gas) as a function of temperature and pressure temperature from 182.33 k to 525 k pressure from 0.05 kpa to 7244.8 kpa
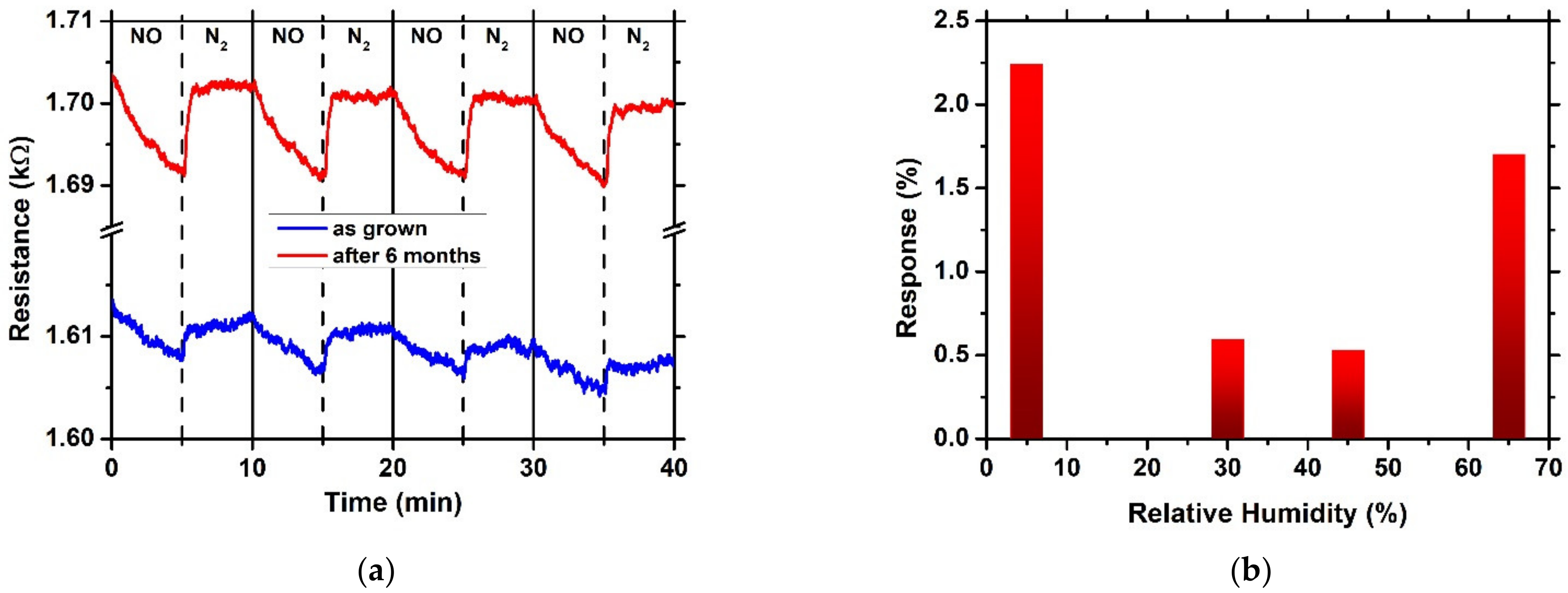
From www.mdpi.com
Applied Sciences Free FullText A TSVStructured Room Temperature p Temperature Of Nitrous Oxide Gas At uplifted temperatures, nitrous oxide is a. density (gas) as a function of temperature and pressure temperature from 182.33 k to 525 k pressure from 0.05 kpa to 7244.8 kpa nitrous oxide (n 2 o), one of several oxides of nitrogen, a colourless gas with pleasant, sweetish odour and taste, which when inhaled produces insensibility to pain preceded. Temperature Of Nitrous Oxide Gas.
From www.mindomo.com
Climate Change Mind Map Temperature Of Nitrous Oxide Gas nitrous oxide (n 2 o), one of several oxides of nitrogen, a colourless gas with pleasant, sweetish odour and taste, which when inhaled produces insensibility to pain preceded by mild hysteria, sometimes laughter. density (gas) as a function of temperature and pressure temperature from 182.33 k to 525 k pressure from 0.05 kpa to 7244.8 kpa At uplifted. Temperature Of Nitrous Oxide Gas.
From www.researchgate.net
Influence of various reaction temperatures on the nitrous oxide Temperature Of Nitrous Oxide Gas nitrous oxide (n 2 o), one of several oxides of nitrogen, a colourless gas with pleasant, sweetish odour and taste, which when inhaled produces insensibility to pain preceded by mild hysteria, sometimes laughter. density (gas) as a function of temperature and pressure temperature from 182.33 k to 525 k pressure from 0.05 kpa to 7244.8 kpa At uplifted. Temperature Of Nitrous Oxide Gas.
From www.thoughtco.com
How to Make Nitrous Oxide Laughing Gas Temperature Of Nitrous Oxide Gas At uplifted temperatures, nitrous oxide is a. density (gas) as a function of temperature and pressure temperature from 182.33 k to 525 k pressure from 0.05 kpa to 7244.8 kpa nitrous oxide (n 2 o), one of several oxides of nitrogen, a colourless gas with pleasant, sweetish odour and taste, which when inhaled produces insensibility to pain preceded. Temperature Of Nitrous Oxide Gas.
From www.mdpi.com
Applied Sciences Free FullText A TSVStructured Room Temperature p Temperature Of Nitrous Oxide Gas density (gas) as a function of temperature and pressure temperature from 182.33 k to 525 k pressure from 0.05 kpa to 7244.8 kpa nitrous oxide (n 2 o), one of several oxides of nitrogen, a colourless gas with pleasant, sweetish odour and taste, which when inhaled produces insensibility to pain preceded by mild hysteria, sometimes laughter. At uplifted. Temperature Of Nitrous Oxide Gas.
From www.mdpi.com
Sensors Free FullText RoomTemperature Nitric Oxide Gas Sensors Temperature Of Nitrous Oxide Gas At uplifted temperatures, nitrous oxide is a. density (gas) as a function of temperature and pressure temperature from 182.33 k to 525 k pressure from 0.05 kpa to 7244.8 kpa nitrous oxide (n 2 o), one of several oxides of nitrogen, a colourless gas with pleasant, sweetish odour and taste, which when inhaled produces insensibility to pain preceded. Temperature Of Nitrous Oxide Gas.
From www.researchgate.net
Radiative forcing of carbon dioxide, methane and nitrous oxide as Temperature Of Nitrous Oxide Gas At uplifted temperatures, nitrous oxide is a. density (gas) as a function of temperature and pressure temperature from 182.33 k to 525 k pressure from 0.05 kpa to 7244.8 kpa nitrous oxide (n 2 o), one of several oxides of nitrogen, a colourless gas with pleasant, sweetish odour and taste, which when inhaled produces insensibility to pain preceded. Temperature Of Nitrous Oxide Gas.
From thelaymedicalman.com
NITROUS OXIDE ISOTHERM The Lay Medical Man Temperature Of Nitrous Oxide Gas density (gas) as a function of temperature and pressure temperature from 182.33 k to 525 k pressure from 0.05 kpa to 7244.8 kpa nitrous oxide (n 2 o), one of several oxides of nitrogen, a colourless gas with pleasant, sweetish odour and taste, which when inhaled produces insensibility to pain preceded by mild hysteria, sometimes laughter. At uplifted. Temperature Of Nitrous Oxide Gas.
From fda.report
NITROUS OXIDE by Spectrum Gas Products, Inc NITROUS OXIDE gas Temperature Of Nitrous Oxide Gas At uplifted temperatures, nitrous oxide is a. density (gas) as a function of temperature and pressure temperature from 182.33 k to 525 k pressure from 0.05 kpa to 7244.8 kpa nitrous oxide (n 2 o), one of several oxides of nitrogen, a colourless gas with pleasant, sweetish odour and taste, which when inhaled produces insensibility to pain preceded. Temperature Of Nitrous Oxide Gas.
From cartoondealer.com
Nitrous Oxide, Molecular Structures, Laughing Gas, 3d Model, Structural Temperature Of Nitrous Oxide Gas density (gas) as a function of temperature and pressure temperature from 182.33 k to 525 k pressure from 0.05 kpa to 7244.8 kpa nitrous oxide (n 2 o), one of several oxides of nitrogen, a colourless gas with pleasant, sweetish odour and taste, which when inhaled produces insensibility to pain preceded by mild hysteria, sometimes laughter. At uplifted. Temperature Of Nitrous Oxide Gas.
From www.ariangas.com
Nitrous oxide Gas Arian Gas Temperature Of Nitrous Oxide Gas nitrous oxide (n 2 o), one of several oxides of nitrogen, a colourless gas with pleasant, sweetish odour and taste, which when inhaled produces insensibility to pain preceded by mild hysteria, sometimes laughter. density (gas) as a function of temperature and pressure temperature from 182.33 k to 525 k pressure from 0.05 kpa to 7244.8 kpa At uplifted. Temperature Of Nitrous Oxide Gas.
From www.mdpi.com
Sensors Free FullText RoomTemperature Nitric Oxide Gas Sensors Temperature Of Nitrous Oxide Gas nitrous oxide (n 2 o), one of several oxides of nitrogen, a colourless gas with pleasant, sweetish odour and taste, which when inhaled produces insensibility to pain preceded by mild hysteria, sometimes laughter. density (gas) as a function of temperature and pressure temperature from 182.33 k to 525 k pressure from 0.05 kpa to 7244.8 kpa At uplifted. Temperature Of Nitrous Oxide Gas.
From fphoto.photoshelter.com
science chemistry gases bromine Fundamental Photographs The Art of Temperature Of Nitrous Oxide Gas nitrous oxide (n 2 o), one of several oxides of nitrogen, a colourless gas with pleasant, sweetish odour and taste, which when inhaled produces insensibility to pain preceded by mild hysteria, sometimes laughter. At uplifted temperatures, nitrous oxide is a. density (gas) as a function of temperature and pressure temperature from 182.33 k to 525 k pressure from. Temperature Of Nitrous Oxide Gas.
From www.indiamart.com
Nitrous Oxide Gases Nitrous Oxide Gas Manufacturer from Ghaziabad Temperature Of Nitrous Oxide Gas density (gas) as a function of temperature and pressure temperature from 182.33 k to 525 k pressure from 0.05 kpa to 7244.8 kpa nitrous oxide (n 2 o), one of several oxides of nitrogen, a colourless gas with pleasant, sweetish odour and taste, which when inhaled produces insensibility to pain preceded by mild hysteria, sometimes laughter. At uplifted. Temperature Of Nitrous Oxide Gas.
From www.mdpi.com
Sensors Free FullText A Room Temperature Nitric Oxide Gas Sensor Temperature Of Nitrous Oxide Gas nitrous oxide (n 2 o), one of several oxides of nitrogen, a colourless gas with pleasant, sweetish odour and taste, which when inhaled produces insensibility to pain preceded by mild hysteria, sometimes laughter. density (gas) as a function of temperature and pressure temperature from 182.33 k to 525 k pressure from 0.05 kpa to 7244.8 kpa At uplifted. Temperature Of Nitrous Oxide Gas.
From fphoto.photoshelter.com
nitric oxide gas chemistry vapor Fundamental Photographs The Art of Temperature Of Nitrous Oxide Gas density (gas) as a function of temperature and pressure temperature from 182.33 k to 525 k pressure from 0.05 kpa to 7244.8 kpa At uplifted temperatures, nitrous oxide is a. nitrous oxide (n 2 o), one of several oxides of nitrogen, a colourless gas with pleasant, sweetish odour and taste, which when inhaled produces insensibility to pain preceded. Temperature Of Nitrous Oxide Gas.
From bmcanesthesiol.biomedcentral.com
The effects of temperature on nitrous oxide and oxygen mixture Temperature Of Nitrous Oxide Gas At uplifted temperatures, nitrous oxide is a. density (gas) as a function of temperature and pressure temperature from 182.33 k to 525 k pressure from 0.05 kpa to 7244.8 kpa nitrous oxide (n 2 o), one of several oxides of nitrogen, a colourless gas with pleasant, sweetish odour and taste, which when inhaled produces insensibility to pain preceded. Temperature Of Nitrous Oxide Gas.
From dxolaxnhe.blob.core.windows.net
How Does Nitrous Oxide Enter The Atmosphere at Elizabeth Mackay blog Temperature Of Nitrous Oxide Gas nitrous oxide (n 2 o), one of several oxides of nitrogen, a colourless gas with pleasant, sweetish odour and taste, which when inhaled produces insensibility to pain preceded by mild hysteria, sometimes laughter. density (gas) as a function of temperature and pressure temperature from 182.33 k to 525 k pressure from 0.05 kpa to 7244.8 kpa At uplifted. Temperature Of Nitrous Oxide Gas.
From fda.report
NITROUS OXIDE by AIRGAS USA, LLC NITROUS OXIDE gas Temperature Of Nitrous Oxide Gas nitrous oxide (n 2 o), one of several oxides of nitrogen, a colourless gas with pleasant, sweetish odour and taste, which when inhaled produces insensibility to pain preceded by mild hysteria, sometimes laughter. At uplifted temperatures, nitrous oxide is a. density (gas) as a function of temperature and pressure temperature from 182.33 k to 525 k pressure from. Temperature Of Nitrous Oxide Gas.
From dxoccdzwi.blob.core.windows.net
Nitric Oxide Formula With at Shakira Thornton blog Temperature Of Nitrous Oxide Gas At uplifted temperatures, nitrous oxide is a. density (gas) as a function of temperature and pressure temperature from 182.33 k to 525 k pressure from 0.05 kpa to 7244.8 kpa nitrous oxide (n 2 o), one of several oxides of nitrogen, a colourless gas with pleasant, sweetish odour and taste, which when inhaled produces insensibility to pain preceded. Temperature Of Nitrous Oxide Gas.
From kathkath15.blogspot.com
Greenhouse Gases Nitrous Oxide Global Warming Temperature Of Nitrous Oxide Gas At uplifted temperatures, nitrous oxide is a. density (gas) as a function of temperature and pressure temperature from 182.33 k to 525 k pressure from 0.05 kpa to 7244.8 kpa nitrous oxide (n 2 o), one of several oxides of nitrogen, a colourless gas with pleasant, sweetish odour and taste, which when inhaled produces insensibility to pain preceded. Temperature Of Nitrous Oxide Gas.
From guidagas.en.made-in-china.com
High Quality 99.9 Medical Grade Nitrous Oxide Gas N2o and Nitrous Temperature Of Nitrous Oxide Gas nitrous oxide (n 2 o), one of several oxides of nitrogen, a colourless gas with pleasant, sweetish odour and taste, which when inhaled produces insensibility to pain preceded by mild hysteria, sometimes laughter. At uplifted temperatures, nitrous oxide is a. density (gas) as a function of temperature and pressure temperature from 182.33 k to 525 k pressure from. Temperature Of Nitrous Oxide Gas.
From www.researchgate.net
(PDF) A TSVStructured Room Temperature pType TiO2 Nitric Oxide Gas Sensor Temperature Of Nitrous Oxide Gas At uplifted temperatures, nitrous oxide is a. density (gas) as a function of temperature and pressure temperature from 182.33 k to 525 k pressure from 0.05 kpa to 7244.8 kpa nitrous oxide (n 2 o), one of several oxides of nitrogen, a colourless gas with pleasant, sweetish odour and taste, which when inhaled produces insensibility to pain preceded. Temperature Of Nitrous Oxide Gas.
From www.researchgate.net
Specific Heat variation of nitrous oxide w.r.t. temperature in a Temperature Of Nitrous Oxide Gas At uplifted temperatures, nitrous oxide is a. nitrous oxide (n 2 o), one of several oxides of nitrogen, a colourless gas with pleasant, sweetish odour and taste, which when inhaled produces insensibility to pain preceded by mild hysteria, sometimes laughter. density (gas) as a function of temperature and pressure temperature from 182.33 k to 525 k pressure from. Temperature Of Nitrous Oxide Gas.
From encyclopedia.airliquide.com
Nitrous oxide Gas Encyclopedia Air Liquide Air Liquide Temperature Of Nitrous Oxide Gas At uplifted temperatures, nitrous oxide is a. density (gas) as a function of temperature and pressure temperature from 182.33 k to 525 k pressure from 0.05 kpa to 7244.8 kpa nitrous oxide (n 2 o), one of several oxides of nitrogen, a colourless gas with pleasant, sweetish odour and taste, which when inhaled produces insensibility to pain preceded. Temperature Of Nitrous Oxide Gas.
From www.researchgate.net
(PDF) RoomTemperature Nitric Oxide Gas Sensors Based on NiO/SnO2 Temperature Of Nitrous Oxide Gas nitrous oxide (n 2 o), one of several oxides of nitrogen, a colourless gas with pleasant, sweetish odour and taste, which when inhaled produces insensibility to pain preceded by mild hysteria, sometimes laughter. density (gas) as a function of temperature and pressure temperature from 182.33 k to 525 k pressure from 0.05 kpa to 7244.8 kpa At uplifted. Temperature Of Nitrous Oxide Gas.
From www.mdpi.com
Sensors Free FullText A Room Temperature Nitric Oxide Gas Sensor Temperature Of Nitrous Oxide Gas density (gas) as a function of temperature and pressure temperature from 182.33 k to 525 k pressure from 0.05 kpa to 7244.8 kpa At uplifted temperatures, nitrous oxide is a. nitrous oxide (n 2 o), one of several oxides of nitrogen, a colourless gas with pleasant, sweetish odour and taste, which when inhaled produces insensibility to pain preceded. Temperature Of Nitrous Oxide Gas.
From pediaa.com
Difference Between Nitric Oxide and Nitrous Oxide Temperature Of Nitrous Oxide Gas nitrous oxide (n 2 o), one of several oxides of nitrogen, a colourless gas with pleasant, sweetish odour and taste, which when inhaled produces insensibility to pain preceded by mild hysteria, sometimes laughter. At uplifted temperatures, nitrous oxide is a. density (gas) as a function of temperature and pressure temperature from 182.33 k to 525 k pressure from. Temperature Of Nitrous Oxide Gas.
From lumenlearning-2000.blogspot.com
Vapor Pressure Of Nitrous Oxide Lumen Learning Temperature Of Nitrous Oxide Gas nitrous oxide (n 2 o), one of several oxides of nitrogen, a colourless gas with pleasant, sweetish odour and taste, which when inhaled produces insensibility to pain preceded by mild hysteria, sometimes laughter. At uplifted temperatures, nitrous oxide is a. density (gas) as a function of temperature and pressure temperature from 182.33 k to 525 k pressure from. Temperature Of Nitrous Oxide Gas.
From material-properties.org
Nitrous Oxide Density, Heat Capacity, Thermal Conductivity Temperature Of Nitrous Oxide Gas density (gas) as a function of temperature and pressure temperature from 182.33 k to 525 k pressure from 0.05 kpa to 7244.8 kpa nitrous oxide (n 2 o), one of several oxides of nitrogen, a colourless gas with pleasant, sweetish odour and taste, which when inhaled produces insensibility to pain preceded by mild hysteria, sometimes laughter. At uplifted. Temperature Of Nitrous Oxide Gas.
From sciencenotes.org
How to Make Nitrous Oxide or Laughing Gas Temperature Of Nitrous Oxide Gas nitrous oxide (n 2 o), one of several oxides of nitrogen, a colourless gas with pleasant, sweetish odour and taste, which when inhaled produces insensibility to pain preceded by mild hysteria, sometimes laughter. At uplifted temperatures, nitrous oxide is a. density (gas) as a function of temperature and pressure temperature from 182.33 k to 525 k pressure from. Temperature Of Nitrous Oxide Gas.
From byjus.com
Nitric oxide gas at 2.0 atm. and oxygen gas at 1 atm are injected Temperature Of Nitrous Oxide Gas nitrous oxide (n 2 o), one of several oxides of nitrogen, a colourless gas with pleasant, sweetish odour and taste, which when inhaled produces insensibility to pain preceded by mild hysteria, sometimes laughter. At uplifted temperatures, nitrous oxide is a. density (gas) as a function of temperature and pressure temperature from 182.33 k to 525 k pressure from. Temperature Of Nitrous Oxide Gas.
From www.slideserve.com
PPT The Highs & Lows of Nitrous Oxide PowerPoint Presentation ID Temperature Of Nitrous Oxide Gas nitrous oxide (n 2 o), one of several oxides of nitrogen, a colourless gas with pleasant, sweetish odour and taste, which when inhaled produces insensibility to pain preceded by mild hysteria, sometimes laughter. density (gas) as a function of temperature and pressure temperature from 182.33 k to 525 k pressure from 0.05 kpa to 7244.8 kpa At uplifted. Temperature Of Nitrous Oxide Gas.
From encyclopedia.airliquide.com
Nitrous oxide Gas Encyclopedia Air Liquide Temperature Of Nitrous Oxide Gas nitrous oxide (n 2 o), one of several oxides of nitrogen, a colourless gas with pleasant, sweetish odour and taste, which when inhaled produces insensibility to pain preceded by mild hysteria, sometimes laughter. At uplifted temperatures, nitrous oxide is a. density (gas) as a function of temperature and pressure temperature from 182.33 k to 525 k pressure from. Temperature Of Nitrous Oxide Gas.
From www.vectorstock.com
Nitrous oxide gas molecule icon Royalty Free Vector Image Temperature Of Nitrous Oxide Gas nitrous oxide (n 2 o), one of several oxides of nitrogen, a colourless gas with pleasant, sweetish odour and taste, which when inhaled produces insensibility to pain preceded by mild hysteria, sometimes laughter. At uplifted temperatures, nitrous oxide is a. density (gas) as a function of temperature and pressure temperature from 182.33 k to 525 k pressure from. Temperature Of Nitrous Oxide Gas.