Points Of Inflection Cos Graph . A curve's inflection point is the point at which the curve's concavity changes. the point where the function is neither concave nor convex is known as inflection point or the point of inflection. a point of inflection is a point on the graph of \(f\) at which the concavity of \(f\) changes. For a function \ (f (x),\) its concavity can be. Figure \(\pageindex{4}\) shows a graph of a function with inflection points labeled. And the inflection point is where it goes from concave upward to concave downward (or. review your knowledge of inflection points and how we use differential calculus to find them. when the second derivative is negative, the function is concave downward. A graph of a function with its inflection points marked. when the second derivative of a function is equal to 0, the original function has an inflection point there.
from socratic.org
For a function \ (f (x),\) its concavity can be. A curve's inflection point is the point at which the curve's concavity changes. a point of inflection is a point on the graph of \(f\) at which the concavity of \(f\) changes. the point where the function is neither concave nor convex is known as inflection point or the point of inflection. when the second derivative is negative, the function is concave downward. And the inflection point is where it goes from concave upward to concave downward (or. A graph of a function with its inflection points marked. when the second derivative of a function is equal to 0, the original function has an inflection point there. Figure \(\pageindex{4}\) shows a graph of a function with inflection points labeled. review your knowledge of inflection points and how we use differential calculus to find them.
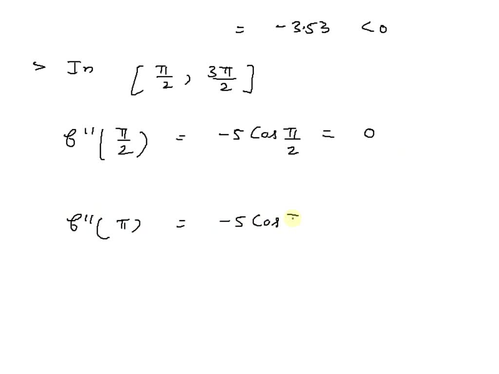
Is f(x)=cosx concave or convex at x=(3pi)/2? Socratic
Points Of Inflection Cos Graph when the second derivative is negative, the function is concave downward. And the inflection point is where it goes from concave upward to concave downward (or. Figure \(\pageindex{4}\) shows a graph of a function with inflection points labeled. a point of inflection is a point on the graph of \(f\) at which the concavity of \(f\) changes. For a function \ (f (x),\) its concavity can be. A graph of a function with its inflection points marked. when the second derivative of a function is equal to 0, the original function has an inflection point there. when the second derivative is negative, the function is concave downward. review your knowledge of inflection points and how we use differential calculus to find them. A curve's inflection point is the point at which the curve's concavity changes. the point where the function is neither concave nor convex is known as inflection point or the point of inflection.
From articles.outlier.org
Inflection Point Definition and How to Find It in 5 Steps Outlier Points Of Inflection Cos Graph the point where the function is neither concave nor convex is known as inflection point or the point of inflection. when the second derivative of a function is equal to 0, the original function has an inflection point there. For a function \ (f (x),\) its concavity can be. Figure \(\pageindex{4}\) shows a graph of a function with. Points Of Inflection Cos Graph.
From dxozqnqwl.blob.core.windows.net
Point Of Inflection Using Second Derivative at Gary Jones blog Points Of Inflection Cos Graph A graph of a function with its inflection points marked. review your knowledge of inflection points and how we use differential calculus to find them. when the second derivative is negative, the function is concave downward. A curve's inflection point is the point at which the curve's concavity changes. the point where the function is neither concave. Points Of Inflection Cos Graph.
From socratic.org
Use Newton's method to find the coordinates of the inflection point of Points Of Inflection Cos Graph Figure \(\pageindex{4}\) shows a graph of a function with inflection points labeled. when the second derivative of a function is equal to 0, the original function has an inflection point there. a point of inflection is a point on the graph of \(f\) at which the concavity of \(f\) changes. the point where the function is neither. Points Of Inflection Cos Graph.
From www.radfordmathematics.com
Point of Inflection Calculus Points Of Inflection Cos Graph a point of inflection is a point on the graph of \(f\) at which the concavity of \(f\) changes. Figure \(\pageindex{4}\) shows a graph of a function with inflection points labeled. For a function \ (f (x),\) its concavity can be. the point where the function is neither concave nor convex is known as inflection point or the. Points Of Inflection Cos Graph.
From www.numerade.com
SOLVEDHow many points of inflection does the graph of y=cos(x^2) have Points Of Inflection Cos Graph review your knowledge of inflection points and how we use differential calculus to find them. the point where the function is neither concave nor convex is known as inflection point or the point of inflection. And the inflection point is where it goes from concave upward to concave downward (or. A graph of a function with its inflection. Points Of Inflection Cos Graph.
From www.radfordmathematics.com
Point of Inflection Calculus Points Of Inflection Cos Graph review your knowledge of inflection points and how we use differential calculus to find them. when the second derivative of a function is equal to 0, the original function has an inflection point there. And the inflection point is where it goes from concave upward to concave downward (or. a point of inflection is a point on. Points Of Inflection Cos Graph.
From www.savemyexams.com
Concavity & Points of Inflection DP IB Maths AA HL Revision Notes 2021 Points Of Inflection Cos Graph the point where the function is neither concave nor convex is known as inflection point or the point of inflection. Figure \(\pageindex{4}\) shows a graph of a function with inflection points labeled. A graph of a function with its inflection points marked. For a function \ (f (x),\) its concavity can be. review your knowledge of inflection points. Points Of Inflection Cos Graph.
From articles.outlier.org
Inflection Point Definition and How to Find It in 5 Steps Outlier Points Of Inflection Cos Graph a point of inflection is a point on the graph of \(f\) at which the concavity of \(f\) changes. Figure \(\pageindex{4}\) shows a graph of a function with inflection points labeled. A graph of a function with its inflection points marked. the point where the function is neither concave nor convex is known as inflection point or the. Points Of Inflection Cos Graph.
From www.wikihow.com
How to Find Inflection Points 8 Steps wikiHow Points Of Inflection Cos Graph when the second derivative of a function is equal to 0, the original function has an inflection point there. A curve's inflection point is the point at which the curve's concavity changes. A graph of a function with its inflection points marked. when the second derivative is negative, the function is concave downward. review your knowledge of. Points Of Inflection Cos Graph.
From www.numerade.com
SOLVED On the graph of the function below, identify all extrema (local Points Of Inflection Cos Graph a point of inflection is a point on the graph of \(f\) at which the concavity of \(f\) changes. A curve's inflection point is the point at which the curve's concavity changes. For a function \ (f (x),\) its concavity can be. A graph of a function with its inflection points marked. And the inflection point is where it. Points Of Inflection Cos Graph.
From www.numerade.com
SOLVEDIdentify the coordinates of any local and absolute extreme Points Of Inflection Cos Graph the point where the function is neither concave nor convex is known as inflection point or the point of inflection. review your knowledge of inflection points and how we use differential calculus to find them. For a function \ (f (x),\) its concavity can be. a point of inflection is a point on the graph of \(f\). Points Of Inflection Cos Graph.
From articles.outlier.org
Inflection Point Definition and How to Find It in 5 Steps Outlier Points Of Inflection Cos Graph when the second derivative is negative, the function is concave downward. Figure \(\pageindex{4}\) shows a graph of a function with inflection points labeled. review your knowledge of inflection points and how we use differential calculus to find them. A graph of a function with its inflection points marked. A curve's inflection point is the point at which the. Points Of Inflection Cos Graph.
From www.shutterstock.com
Inflection Point On Graph Function Vector Stock Vector (Royalty Free Points Of Inflection Cos Graph review your knowledge of inflection points and how we use differential calculus to find them. when the second derivative of a function is equal to 0, the original function has an inflection point there. A curve's inflection point is the point at which the curve's concavity changes. a point of inflection is a point on the graph. Points Of Inflection Cos Graph.
From collegedunia.com
Inflection Point Calculus, Graph & Concavity Points Of Inflection Cos Graph when the second derivative of a function is equal to 0, the original function has an inflection point there. A curve's inflection point is the point at which the curve's concavity changes. For a function \ (f (x),\) its concavity can be. A graph of a function with its inflection points marked. review your knowledge of inflection points. Points Of Inflection Cos Graph.
From calcworkshop.com
The Second Derivative Test (HowTo w/ 15 StepbyStep Examples!) Points Of Inflection Cos Graph when the second derivative of a function is equal to 0, the original function has an inflection point there. A graph of a function with its inflection points marked. a point of inflection is a point on the graph of \(f\) at which the concavity of \(f\) changes. the point where the function is neither concave nor. Points Of Inflection Cos Graph.
From www.youtube.com
Find increasing decreasing intervals, min, max concavity and inflection Points Of Inflection Cos Graph review your knowledge of inflection points and how we use differential calculus to find them. when the second derivative is negative, the function is concave downward. the point where the function is neither concave nor convex is known as inflection point or the point of inflection. A curve's inflection point is the point at which the curve's. Points Of Inflection Cos Graph.
From 28left.github.io
Inflection Points — Penn State Math 110 Companion Site Points Of Inflection Cos Graph For a function \ (f (x),\) its concavity can be. Figure \(\pageindex{4}\) shows a graph of a function with inflection points labeled. A graph of a function with its inflection points marked. when the second derivative of a function is equal to 0, the original function has an inflection point there. And the inflection point is where it goes. Points Of Inflection Cos Graph.
From www.numerade.com
SOLVED Find the point of inflection of the graph of the function. (If Points Of Inflection Cos Graph A graph of a function with its inflection points marked. when the second derivative is negative, the function is concave downward. A curve's inflection point is the point at which the curve's concavity changes. Figure \(\pageindex{4}\) shows a graph of a function with inflection points labeled. And the inflection point is where it goes from concave upward to concave. Points Of Inflection Cos Graph.
From www.wikihow.com
5 Ways to Find Inflection Points wikiHow Points Of Inflection Cos Graph review your knowledge of inflection points and how we use differential calculus to find them. a point of inflection is a point on the graph of \(f\) at which the concavity of \(f\) changes. And the inflection point is where it goes from concave upward to concave downward (or. when the second derivative is negative, the function. Points Of Inflection Cos Graph.
From socratic.org
Is f(x)=cosx concave or convex at x=(3pi)/2? Socratic Points Of Inflection Cos Graph For a function \ (f (x),\) its concavity can be. And the inflection point is where it goes from concave upward to concave downward (or. A graph of a function with its inflection points marked. the point where the function is neither concave nor convex is known as inflection point or the point of inflection. when the second. Points Of Inflection Cos Graph.
From www.reddit.com
Where are there inflection points on this graph. How do you define Points Of Inflection Cos Graph A graph of a function with its inflection points marked. review your knowledge of inflection points and how we use differential calculus to find them. And the inflection point is where it goes from concave upward to concave downward (or. a point of inflection is a point on the graph of \(f\) at which the concavity of \(f\). Points Of Inflection Cos Graph.
From articles.outlier.org
Inflection Point Definition and How to Find It in 5 Steps Outlier Points Of Inflection Cos Graph the point where the function is neither concave nor convex is known as inflection point or the point of inflection. review your knowledge of inflection points and how we use differential calculus to find them. For a function \ (f (x),\) its concavity can be. A curve's inflection point is the point at which the curve's concavity changes.. Points Of Inflection Cos Graph.
From articles.outlier.org
Inflection Point Definition and How to Find It in 5 Steps Outlier Points Of Inflection Cos Graph A graph of a function with its inflection points marked. And the inflection point is where it goes from concave upward to concave downward (or. review your knowledge of inflection points and how we use differential calculus to find them. For a function \ (f (x),\) its concavity can be. A curve's inflection point is the point at which. Points Of Inflection Cos Graph.
From www.houseofmath.com
How to Find Inflection Points in GeoGebra House of Math Points Of Inflection Cos Graph And the inflection point is where it goes from concave upward to concave downward (or. review your knowledge of inflection points and how we use differential calculus to find them. Figure \(\pageindex{4}\) shows a graph of a function with inflection points labeled. when the second derivative of a function is equal to 0, the original function has an. Points Of Inflection Cos Graph.
From studywell.com
Convex And Concave Functions And Inflection Points Points Of Inflection Cos Graph A curve's inflection point is the point at which the curve's concavity changes. a point of inflection is a point on the graph of \(f\) at which the concavity of \(f\) changes. Figure \(\pageindex{4}\) shows a graph of a function with inflection points labeled. And the inflection point is where it goes from concave upward to concave downward (or.. Points Of Inflection Cos Graph.
From math.stackexchange.com
calculus A correct statement of the tangent line test for inflection Points Of Inflection Cos Graph A curve's inflection point is the point at which the curve's concavity changes. review your knowledge of inflection points and how we use differential calculus to find them. And the inflection point is where it goes from concave upward to concave downward (or. when the second derivative of a function is equal to 0, the original function has. Points Of Inflection Cos Graph.
From www.youtube.com
Points of Inflection from f(x)=cos(2x) YouTube Points Of Inflection Cos Graph a point of inflection is a point on the graph of \(f\) at which the concavity of \(f\) changes. A graph of a function with its inflection points marked. And the inflection point is where it goes from concave upward to concave downward (or. Figure \(\pageindex{4}\) shows a graph of a function with inflection points labeled. A curve's inflection. Points Of Inflection Cos Graph.
From www.youtube.com
Calculus I Inflection points from the graph of f'' YouTube Points Of Inflection Cos Graph a point of inflection is a point on the graph of \(f\) at which the concavity of \(f\) changes. And the inflection point is where it goes from concave upward to concave downward (or. the point where the function is neither concave nor convex is known as inflection point or the point of inflection. review your knowledge. Points Of Inflection Cos Graph.
From www.storyofmathematics.com
Inflection Points Calculator + Online Solver With Free Steps Points Of Inflection Cos Graph the point where the function is neither concave nor convex is known as inflection point or the point of inflection. For a function \ (f (x),\) its concavity can be. when the second derivative of a function is equal to 0, the original function has an inflection point there. review your knowledge of inflection points and how. Points Of Inflection Cos Graph.
From www.youtube.com
Inflection points from graphs of function & derivatives AP Calculus Points Of Inflection Cos Graph a point of inflection is a point on the graph of \(f\) at which the concavity of \(f\) changes. For a function \ (f (x),\) its concavity can be. review your knowledge of inflection points and how we use differential calculus to find them. when the second derivative is negative, the function is concave downward. A graph. Points Of Inflection Cos Graph.
From copyprogramming.com
Inflection point, understanding problem Points Of Inflection Cos Graph the point where the function is neither concave nor convex is known as inflection point or the point of inflection. when the second derivative is negative, the function is concave downward. when the second derivative of a function is equal to 0, the original function has an inflection point there. a point of inflection is a. Points Of Inflection Cos Graph.
From www.dreamstime.com
Inflection Point on Graph of Function. Stock Vector Illustration of Points Of Inflection Cos Graph a point of inflection is a point on the graph of \(f\) at which the concavity of \(f\) changes. the point where the function is neither concave nor convex is known as inflection point or the point of inflection. A graph of a function with its inflection points marked. when the second derivative of a function is. Points Of Inflection Cos Graph.
From mathemerize.com
What is the Point of Inflection ? Mathemerize Points Of Inflection Cos Graph A graph of a function with its inflection points marked. Figure \(\pageindex{4}\) shows a graph of a function with inflection points labeled. review your knowledge of inflection points and how we use differential calculus to find them. when the second derivative is negative, the function is concave downward. A curve's inflection point is the point at which the. Points Of Inflection Cos Graph.
From www.numerade.com
SOLVEDFind the smallest positive inflection point of F(x)=∫0^x cos(t^3 Points Of Inflection Cos Graph A curve's inflection point is the point at which the curve's concavity changes. the point where the function is neither concave nor convex is known as inflection point or the point of inflection. A graph of a function with its inflection points marked. And the inflection point is where it goes from concave upward to concave downward (or. . Points Of Inflection Cos Graph.
From www.slideserve.com
PPT Graphs of Tangent & Cotangent PowerPoint Presentation, free Points Of Inflection Cos Graph And the inflection point is where it goes from concave upward to concave downward (or. when the second derivative is negative, the function is concave downward. A curve's inflection point is the point at which the curve's concavity changes. review your knowledge of inflection points and how we use differential calculus to find them. the point where. Points Of Inflection Cos Graph.