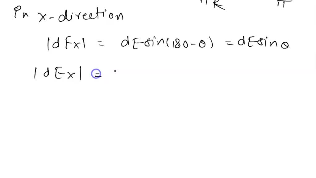
Consider A Thin Plastic Rod Bent Into An Arc . The rod carries a uniformly distributed. Consider a thin plastic rod bent into an arc of radius r and angle α (see figure below). Follow the standard four steps: Consider a thin plastic rod bent into a semicircular arc of radius r with center at the origin (figure 15.57). (a) use a diagram to explain how you will cut up the charged rod, and draw the δe⃗ contributed by a. To calculate ey, the electric field at the origin due to a uniformly distributed negative charge along a bent plastic rod, follow the same. To determine the components of the electric field at origin due to a thin plastic rod of radius r, bent into an arc α carrying uniformly.
from www.chegg.com
To calculate ey, the electric field at the origin due to a uniformly distributed negative charge along a bent plastic rod, follow the same. (a) use a diagram to explain how you will cut up the charged rod, and draw the δe⃗ contributed by a. Follow the standard four steps: Consider a thin plastic rod bent into an arc of radius r and angle α (see figure below). Consider a thin plastic rod bent into a semicircular arc of radius r with center at the origin (figure 15.57). The rod carries a uniformly distributed. To determine the components of the electric field at origin due to a thin plastic rod of radius r, bent into an arc α carrying uniformly.
Solved Problem 3 у Consider a thin plastic rod bent into a
Consider A Thin Plastic Rod Bent Into An Arc Consider a thin plastic rod bent into a semicircular arc of radius r with center at the origin (figure 15.57). The rod carries a uniformly distributed. To calculate ey, the electric field at the origin due to a uniformly distributed negative charge along a bent plastic rod, follow the same. (a) use a diagram to explain how you will cut up the charged rod, and draw the δe⃗ contributed by a. Consider a thin plastic rod bent into an arc of radius r and angle α (see figure below). To determine the components of the electric field at origin due to a thin plastic rod of radius r, bent into an arc α carrying uniformly. Follow the standard four steps: Consider a thin plastic rod bent into a semicircular arc of radius r with center at the origin (figure 15.57).
From www.chegg.com
Solved Consider a thin plastic rod bent into an arc of Consider A Thin Plastic Rod Bent Into An Arc The rod carries a uniformly distributed. Follow the standard four steps: To calculate ey, the electric field at the origin due to a uniformly distributed negative charge along a bent plastic rod, follow the same. Consider a thin plastic rod bent into a semicircular arc of radius r with center at the origin (figure 15.57). Consider a thin plastic rod. Consider A Thin Plastic Rod Bent Into An Arc.
From www.chegg.com
Solved Consider a thin plastic rod bent into a semicircular Consider A Thin Plastic Rod Bent Into An Arc To calculate ey, the electric field at the origin due to a uniformly distributed negative charge along a bent plastic rod, follow the same. Consider a thin plastic rod bent into an arc of radius r and angle α (see figure below). Follow the standard four steps: (a) use a diagram to explain how you will cut up the charged. Consider A Thin Plastic Rod Bent Into An Arc.
From www.numerade.com
SOLVED Consider a thin plastic rod bent into a circular arc of radius R, angle α, and centered Consider A Thin Plastic Rod Bent Into An Arc The rod carries a uniformly distributed. To calculate ey, the electric field at the origin due to a uniformly distributed negative charge along a bent plastic rod, follow the same. (a) use a diagram to explain how you will cut up the charged rod, and draw the δe⃗ contributed by a. To determine the components of the electric field at. Consider A Thin Plastic Rod Bent Into An Arc.
From www.chegg.com
Consider a thin plastic rod bent into a semicircular Consider A Thin Plastic Rod Bent Into An Arc Consider a thin plastic rod bent into an arc of radius r and angle α (see figure below). Consider a thin plastic rod bent into a semicircular arc of radius r with center at the origin (figure 15.57). To determine the components of the electric field at origin due to a thin plastic rod of radius r, bent into an. Consider A Thin Plastic Rod Bent Into An Arc.
From www.bartleby.com
Answered Consider a thin plastic rod bent into a… bartleby Consider A Thin Plastic Rod Bent Into An Arc Consider a thin plastic rod bent into an arc of radius r and angle α (see figure below). The rod carries a uniformly distributed. Follow the standard four steps: Consider a thin plastic rod bent into a semicircular arc of radius r with center at the origin (figure 15.57). To determine the components of the electric field at origin due. Consider A Thin Plastic Rod Bent Into An Arc.
From www.chegg.com
Solved Consider a thin plastic rod bent into a semicircular Consider A Thin Plastic Rod Bent Into An Arc Consider a thin plastic rod bent into a semicircular arc of radius r with center at the origin (figure 15.57). To determine the components of the electric field at origin due to a thin plastic rod of radius r, bent into an arc α carrying uniformly. To calculate ey, the electric field at the origin due to a uniformly distributed. Consider A Thin Plastic Rod Bent Into An Arc.
From www.bartleby.com
Answered A thin plastic rod is bent into a… bartleby Consider A Thin Plastic Rod Bent Into An Arc (a) use a diagram to explain how you will cut up the charged rod, and draw the δe⃗ contributed by a. To determine the components of the electric field at origin due to a thin plastic rod of radius r, bent into an arc α carrying uniformly. Follow the standard four steps: Consider a thin plastic rod bent into an. Consider A Thin Plastic Rod Bent Into An Arc.
From www.chegg.com
Solved A thin plastic rod is bent into an are radius R and Consider A Thin Plastic Rod Bent Into An Arc Consider a thin plastic rod bent into a semicircular arc of radius r with center at the origin (figure 15.57). To calculate ey, the electric field at the origin due to a uniformly distributed negative charge along a bent plastic rod, follow the same. To determine the components of the electric field at origin due to a thin plastic rod. Consider A Thin Plastic Rod Bent Into An Arc.
From www.bartleby.com
Answered Ex = 0 Consider a thin plastic rod bent… bartleby Consider A Thin Plastic Rod Bent Into An Arc Consider a thin plastic rod bent into a semicircular arc of radius r with center at the origin (figure 15.57). Consider a thin plastic rod bent into an arc of radius r and angle α (see figure below). To determine the components of the electric field at origin due to a thin plastic rod of radius r, bent into an. Consider A Thin Plastic Rod Bent Into An Arc.
From www.chegg.com
Solved A thin plastic rod is bent into an arc of radius R Consider A Thin Plastic Rod Bent Into An Arc Consider a thin plastic rod bent into a semicircular arc of radius r with center at the origin (figure 15.57). The rod carries a uniformly distributed. Follow the standard four steps: (a) use a diagram to explain how you will cut up the charged rod, and draw the δe⃗ contributed by a. Consider a thin plastic rod bent into an. Consider A Thin Plastic Rod Bent Into An Arc.
From www.coursehero.com
[Solved] Consider a thin plastic rod bent into an arc of radiusRand... Course Hero Consider A Thin Plastic Rod Bent Into An Arc To calculate ey, the electric field at the origin due to a uniformly distributed negative charge along a bent plastic rod, follow the same. Consider a thin plastic rod bent into an arc of radius r and angle α (see figure below). Consider a thin plastic rod bent into a semicircular arc of radius r with center at the origin. Consider A Thin Plastic Rod Bent Into An Arc.
From www.numerade.com
SOLVED Problem 6 5/7 points (graded) Consider a thin plastic rod bent into a semicircular arc Consider A Thin Plastic Rod Bent Into An Arc Consider a thin plastic rod bent into a semicircular arc of radius r with center at the origin (figure 15.57). The rod carries a uniformly distributed. To determine the components of the electric field at origin due to a thin plastic rod of radius r, bent into an arc α carrying uniformly. To calculate ey, the electric field at the. Consider A Thin Plastic Rod Bent Into An Arc.
From www.chegg.com
Solved Problem 3 у Consider a thin plastic rod bent into a Consider A Thin Plastic Rod Bent Into An Arc Consider a thin plastic rod bent into a semicircular arc of radius r with center at the origin (figure 15.57). Consider a thin plastic rod bent into an arc of radius r and angle α (see figure below). Follow the standard four steps: (a) use a diagram to explain how you will cut up the charged rod, and draw the. Consider A Thin Plastic Rod Bent Into An Arc.
From www.chegg.com
Solved Consider a thin plastic rod bent into a semicircular Consider A Thin Plastic Rod Bent Into An Arc (a) use a diagram to explain how you will cut up the charged rod, and draw the δe⃗ contributed by a. The rod carries a uniformly distributed. Follow the standard four steps: Consider a thin plastic rod bent into a semicircular arc of radius r with center at the origin (figure 15.57). To determine the components of the electric field. Consider A Thin Plastic Rod Bent Into An Arc.
From www.chegg.com
Solved Consider a thin plastic rod bent into a semicircular Consider A Thin Plastic Rod Bent Into An Arc To determine the components of the electric field at origin due to a thin plastic rod of radius r, bent into an arc α carrying uniformly. To calculate ey, the electric field at the origin due to a uniformly distributed negative charge along a bent plastic rod, follow the same. The rod carries a uniformly distributed. Consider a thin plastic. Consider A Thin Plastic Rod Bent Into An Arc.
From www.chegg.com
Solved Consider a thin plastic rod bent into a semicircular Consider A Thin Plastic Rod Bent Into An Arc To determine the components of the electric field at origin due to a thin plastic rod of radius r, bent into an arc α carrying uniformly. (a) use a diagram to explain how you will cut up the charged rod, and draw the δe⃗ contributed by a. Consider a thin plastic rod bent into a semicircular arc of radius r. Consider A Thin Plastic Rod Bent Into An Arc.
From www.numerade.com
SOLVED Problem 6 5/7 points (graded) Consider a thin plastic rod bent into a semicircular arc Consider A Thin Plastic Rod Bent Into An Arc Consider a thin plastic rod bent into a semicircular arc of radius r with center at the origin (figure 15.57). (a) use a diagram to explain how you will cut up the charged rod, and draw the δe⃗ contributed by a. The rod carries a uniformly distributed. Consider a thin plastic rod bent into an arc of radius r and. Consider A Thin Plastic Rod Bent Into An Arc.
From www.chegg.com
Solved Consider a thin plastic rod bent into an arc of Consider A Thin Plastic Rod Bent Into An Arc Consider a thin plastic rod bent into an arc of radius r and angle α (see figure below). To calculate ey, the electric field at the origin due to a uniformly distributed negative charge along a bent plastic rod, follow the same. (a) use a diagram to explain how you will cut up the charged rod, and draw the δe⃗. Consider A Thin Plastic Rod Bent Into An Arc.
From www.numerade.com
SOLVEDConsider a thin plastic rod bent into a semicircular arc of radius R with center at the Consider A Thin Plastic Rod Bent Into An Arc To determine the components of the electric field at origin due to a thin plastic rod of radius r, bent into an arc α carrying uniformly. Consider a thin plastic rod bent into a semicircular arc of radius r with center at the origin (figure 15.57). Consider a thin plastic rod bent into an arc of radius r and angle. Consider A Thin Plastic Rod Bent Into An Arc.
From www.numerade.com
SOLVED Consider a thin plastic rod bent into an arc of radius R and angle α (see figure below Consider A Thin Plastic Rod Bent Into An Arc Consider a thin plastic rod bent into a semicircular arc of radius r with center at the origin (figure 15.57). (a) use a diagram to explain how you will cut up the charged rod, and draw the δe⃗ contributed by a. To calculate ey, the electric field at the origin due to a uniformly distributed negative charge along a bent. Consider A Thin Plastic Rod Bent Into An Arc.
From www.chegg.com
Solved Consider a thin plastic rod bent into a semicircular Consider A Thin Plastic Rod Bent Into An Arc To calculate ey, the electric field at the origin due to a uniformly distributed negative charge along a bent plastic rod, follow the same. The rod carries a uniformly distributed. (a) use a diagram to explain how you will cut up the charged rod, and draw the δe⃗ contributed by a. Consider a thin plastic rod bent into a semicircular. Consider A Thin Plastic Rod Bent Into An Arc.
From www.chegg.com
Solved Consider a thin plastic rod bent into an arc of Consider A Thin Plastic Rod Bent Into An Arc Consider a thin plastic rod bent into a semicircular arc of radius r with center at the origin (figure 15.57). (a) use a diagram to explain how you will cut up the charged rod, and draw the δe⃗ contributed by a. Consider a thin plastic rod bent into an arc of radius r and angle α (see figure below). To. Consider A Thin Plastic Rod Bent Into An Arc.
From www.chegg.com
Solved Consider a thin plastic rod bent into a semicircular Consider A Thin Plastic Rod Bent Into An Arc Consider a thin plastic rod bent into an arc of radius r and angle α (see figure below). Follow the standard four steps: To calculate ey, the electric field at the origin due to a uniformly distributed negative charge along a bent plastic rod, follow the same. The rod carries a uniformly distributed. To determine the components of the electric. Consider A Thin Plastic Rod Bent Into An Arc.
From www.chegg.com
Solved Consider a thin plastic rod bent into a semicircular Consider A Thin Plastic Rod Bent Into An Arc Follow the standard four steps: To calculate ey, the electric field at the origin due to a uniformly distributed negative charge along a bent plastic rod, follow the same. (a) use a diagram to explain how you will cut up the charged rod, and draw the δe⃗ contributed by a. To determine the components of the electric field at origin. Consider A Thin Plastic Rod Bent Into An Arc.
From byjus.com
A rod is bent into a semi circular arc of radius R. The rod has a uniform linear charge Consider A Thin Plastic Rod Bent Into An Arc The rod carries a uniformly distributed. To calculate ey, the electric field at the origin due to a uniformly distributed negative charge along a bent plastic rod, follow the same. Consider a thin plastic rod bent into a semicircular arc of radius r with center at the origin (figure 15.57). Consider a thin plastic rod bent into an arc of. Consider A Thin Plastic Rod Bent Into An Arc.
From www.chegg.com
Solved A. Consider a thin plastic rod bent into a circular Consider A Thin Plastic Rod Bent Into An Arc To determine the components of the electric field at origin due to a thin plastic rod of radius r, bent into an arc α carrying uniformly. Consider a thin plastic rod bent into a semicircular arc of radius r with center at the origin (figure 15.57). (a) use a diagram to explain how you will cut up the charged rod,. Consider A Thin Plastic Rod Bent Into An Arc.
From www.chegg.com
Solved Consider a thin plastic rod bent into a semicircular Consider A Thin Plastic Rod Bent Into An Arc Consider a thin plastic rod bent into a semicircular arc of radius r with center at the origin (figure 15.57). To calculate ey, the electric field at the origin due to a uniformly distributed negative charge along a bent plastic rod, follow the same. (a) use a diagram to explain how you will cut up the charged rod, and draw. Consider A Thin Plastic Rod Bent Into An Arc.
From www.chegg.com
Solved Consider a thin plastic rod bent into an arc of Consider A Thin Plastic Rod Bent Into An Arc To determine the components of the electric field at origin due to a thin plastic rod of radius r, bent into an arc α carrying uniformly. The rod carries a uniformly distributed. Consider a thin plastic rod bent into an arc of radius r and angle α (see figure below). Follow the standard four steps: To calculate ey, the electric. Consider A Thin Plastic Rod Bent Into An Arc.
From www.chegg.com
Solved Consider a thin plastic rod bent into a semicircular Consider A Thin Plastic Rod Bent Into An Arc The rod carries a uniformly distributed. Consider a thin plastic rod bent into an arc of radius r and angle α (see figure below). Follow the standard four steps: To determine the components of the electric field at origin due to a thin plastic rod of radius r, bent into an arc α carrying uniformly. To calculate ey, the electric. Consider A Thin Plastic Rod Bent Into An Arc.
From www.chegg.com
Solved ∙∙P30 Consider a thin plastic rod bent into a Consider A Thin Plastic Rod Bent Into An Arc Consider a thin plastic rod bent into an arc of radius r and angle α (see figure below). To calculate ey, the electric field at the origin due to a uniformly distributed negative charge along a bent plastic rod, follow the same. The rod carries a uniformly distributed. Consider a thin plastic rod bent into a semicircular arc of radius. Consider A Thin Plastic Rod Bent Into An Arc.
From www.bartleby.com
Answered +Q dQ d Ꮎ Consider a thin plastic rod… bartleby Consider A Thin Plastic Rod Bent Into An Arc To calculate ey, the electric field at the origin due to a uniformly distributed negative charge along a bent plastic rod, follow the same. Consider a thin plastic rod bent into an arc of radius r and angle α (see figure below). Follow the standard four steps: Consider a thin plastic rod bent into a semicircular arc of radius r. Consider A Thin Plastic Rod Bent Into An Arc.
From www.chegg.com
Solved Consider a thin plastic rod bent into a semicircular Consider A Thin Plastic Rod Bent Into An Arc Consider a thin plastic rod bent into an arc of radius r and angle α (see figure below). (a) use a diagram to explain how you will cut up the charged rod, and draw the δe⃗ contributed by a. Follow the standard four steps: To determine the components of the electric field at origin due to a thin plastic rod. Consider A Thin Plastic Rod Bent Into An Arc.
From www.chegg.com
Consider a thin plastic rod bent into an arc of Consider A Thin Plastic Rod Bent Into An Arc (a) use a diagram to explain how you will cut up the charged rod, and draw the δe⃗ contributed by a. Consider a thin plastic rod bent into a semicircular arc of radius r with center at the origin (figure 15.57). To calculate ey, the electric field at the origin due to a uniformly distributed negative charge along a bent. Consider A Thin Plastic Rod Bent Into An Arc.
From www.answersarena.com
[Solved] Consider a thin plastic rod bent into an arc of Consider A Thin Plastic Rod Bent Into An Arc (a) use a diagram to explain how you will cut up the charged rod, and draw the δe⃗ contributed by a. To calculate ey, the electric field at the origin due to a uniformly distributed negative charge along a bent plastic rod, follow the same. Follow the standard four steps: To determine the components of the electric field at origin. Consider A Thin Plastic Rod Bent Into An Arc.
From www.chegg.com
Solved A thin rod bent into the shape of an arc of a circle Consider A Thin Plastic Rod Bent Into An Arc Consider a thin plastic rod bent into a semicircular arc of radius r with center at the origin (figure 15.57). (a) use a diagram to explain how you will cut up the charged rod, and draw the δe⃗ contributed by a. To calculate ey, the electric field at the origin due to a uniformly distributed negative charge along a bent. Consider A Thin Plastic Rod Bent Into An Arc.