Flavonoids Synthesis . This review focuses on the synthesis and biological activity of flavones and their related flavonoidic. chemical synthesis of flavonoids requires extreme reaction conditions and toxic chemicals. flavonoids were found to prevent hepatic steatosis, dyslipidemia, and insulin sensitivity, primarily by inhibiting hepatic fatty acid synthesis and increasing fatty acid oxidation. therefore, structural features of flavonoids may prompt a great deal of attention in the field of organic synthesis. flavonoids are a large family of polyphenols which include several classes based on their basic structure: stereoselective synthesis has been emerging as a resourceful tool because it enables the obtaining of compounds. flavonoids are natural substances synthesized in several parts of plants that exhibit a high antioxidant. the present review describes the regulation of flavonoid biosynthesis, as well as the biological functions of. Several studies have demonstrated that naringenin, quercetin, and hesperetin possess vasodilator properties, and their results further showed that naringenin could. a comprehensive review of the role flavonoids play in the protection of plants from uv exposure and high light. as explained in the preceeding sections, the synthesis of flavonoids involves the phenylpropanoid metabolic. flavonoids are natural substances synthesized in several parts of plants that exhibit a high antioxidant. flavonoids are an important class of secondary metabolites widely found in plants, contributing to plant growth and. flavonoids are plant pigments that are synthesized from phenylalanine and generally display marvelous colors to the. flavonoids are a group of natural polyphenol substances abundant in vegetables, fruits, grains, and tea.
from www.researchgate.net
This review focuses on the synthesis and biological activity of flavones and their related flavonoidic. flavonoids are natural substances synthesized in several parts of plants that exhibit a high antioxidant. flavonoids are an important class of secondary metabolites widely found in plants, contributing to plant growth and. therefore, structural features of flavonoids may prompt a great deal of attention in the field of organic synthesis. The biosynthesis of flavonoids has long been the focus of intense research in plant biology. Several studies have demonstrated that naringenin, quercetin, and hesperetin possess vasodilator properties, and their results further showed that naringenin could. chemical synthesis of flavonoids requires extreme reaction conditions and toxic chemicals. a comprehensive review of the role flavonoids play in the protection of plants from uv exposure and high light. flavonoids are a large family of polyphenols which include several classes based on their basic structure: flavonoids were found to prevent hepatic steatosis, dyslipidemia, and insulin sensitivity, primarily by inhibiting hepatic fatty acid synthesis and increasing fatty acid oxidation.
Flavonoid biosynthetic pathway. This schematic representation of part
Flavonoids Synthesis stereoselective synthesis has been emerging as a resourceful tool because it enables the obtaining of compounds. flavonoids are an important class of secondary metabolites widely found in plants, contributing to plant growth and. flavonoids are an important class of secondary metabolites widely found in plants, contributing to plant growth and development and having prominent applications in food and medicine. chemical synthesis of flavonoids requires extreme reaction conditions and toxic chemicals. therefore, structural features of flavonoids may prompt a great deal of attention in the field of organic synthesis. flavonoids are natural substances synthesized in several parts of plants that exhibit a high antioxidant. as explained in the preceeding sections, the synthesis of flavonoids involves the phenylpropanoid metabolic. flavonoids are natural substances synthesized in several parts of plants that exhibit a high antioxidant. the present review describes the regulation of flavonoid biosynthesis, as well as the biological functions of. flavonoids are a large family of polyphenols which include several classes based on their basic structure: flavonoids are an important class of secondary metabolites widely found in plants, contributing to plant growth and. flavonoids were found to prevent hepatic steatosis, dyslipidemia, and insulin sensitivity, primarily by inhibiting hepatic fatty acid synthesis and increasing fatty acid oxidation. flavonoids are synthesized through the phenylpropanoid pathway, transforming phenylalanine into 4. flavonoids are a group of natural polyphenol substances abundant in vegetables, fruits, grains, and tea. flavonoids are plant pigments that are synthesized from phenylalanine and generally display marvelous colors to the. Several studies have demonstrated that naringenin, quercetin, and hesperetin possess vasodilator properties, and their results further showed that naringenin could.
From www.frontiersin.org
Frontiers The Evolution of Flavonoid Biosynthesis A Bryophyte Flavonoids Synthesis chemical synthesis of flavonoids requires extreme reaction conditions and toxic chemicals. as explained in the preceeding sections, the synthesis of flavonoids involves the phenylpropanoid metabolic. therefore, structural features of flavonoids may prompt a great deal of attention in the field of organic synthesis. flavonoids are an important class of secondary metabolites widely found in plants, contributing. Flavonoids Synthesis.
From www.researchgate.net
Schematic representation of the flavonoid biosynthetic pathway. Enzymes Flavonoids Synthesis chemical synthesis of flavonoids requires extreme reaction conditions and toxic chemicals. Several studies have demonstrated that naringenin, quercetin, and hesperetin possess vasodilator properties, and their results further showed that naringenin could. stereoselective synthesis has been emerging as a resourceful tool because it enables the obtaining of compounds. the present review describes the regulation of flavonoid biosynthesis, as. Flavonoids Synthesis.
From www.researchgate.net
Synthesis of Flavonoids Using BakerVenkataraman rearrangement Flavonoids Synthesis therefore, structural features of flavonoids may prompt a great deal of attention in the field of organic synthesis. flavonoids are natural substances synthesized in several parts of plants that exhibit a high antioxidant. the present review describes the regulation of flavonoid biosynthesis, as well as the biological functions of. flavonoids are plant pigments that are synthesized. Flavonoids Synthesis.
From www.mdpi.com
Molecules Free FullText Stereoselective Synthesis of Flavonoids A Flavonoids Synthesis flavonoids are natural substances synthesized in several parts of plants that exhibit a high antioxidant. a comprehensive review of the role flavonoids play in the protection of plants from uv exposure and high light. the present review describes the regulation of flavonoid biosynthesis, as well as the biological functions of. as explained in the preceeding sections,. Flavonoids Synthesis.
From www.researchgate.net
The Schema of plant flavonoids biosynthesis. PAL Phenylalanine ammonia Flavonoids Synthesis flavonoids are synthesized through the phenylpropanoid pathway, transforming phenylalanine into 4. flavonoids are a group of natural polyphenol substances abundant in vegetables, fruits, grains, and tea. flavonoids are natural substances synthesized in several parts of plants that exhibit a high antioxidant. The biosynthesis of flavonoids has long been the focus of intense research in plant biology. . Flavonoids Synthesis.
From www.frontiersin.org
Frontiers Functional Characterization of a Flavone Synthase That Flavonoids Synthesis Several studies have demonstrated that naringenin, quercetin, and hesperetin possess vasodilator properties, and their results further showed that naringenin could. The biosynthesis of flavonoids has long been the focus of intense research in plant biology. flavonoids were found to prevent hepatic steatosis, dyslipidemia, and insulin sensitivity, primarily by inhibiting hepatic fatty acid synthesis and increasing fatty acid oxidation. . Flavonoids Synthesis.
From www.researchgate.net
Flavonoid biosynthetic pathway. This schematic representation of part Flavonoids Synthesis flavonoids are natural substances synthesized in several parts of plants that exhibit a high antioxidant. while explaining the possible mechanism of flavonoids in cancer prevention they further mentioned that the. flavonoids are secondary metabolites of plants that contain a benzo. flavonoids are a group of natural polyphenol substances abundant in vegetables, fruits, grains, and tea. . Flavonoids Synthesis.
From encyclopedia.pub
Classification and Biosynthesis of Flavonoids Encyclopedia MDPI Flavonoids Synthesis chemical synthesis of flavonoids requires extreme reaction conditions and toxic chemicals. flavonoids are a large family of polyphenols which include several classes based on their basic structure: flavonoids are plant pigments that are synthesized from phenylalanine and generally display marvelous colors to the. the present review describes the regulation of flavonoid biosynthesis, as well as the. Flavonoids Synthesis.
From www.researchgate.net
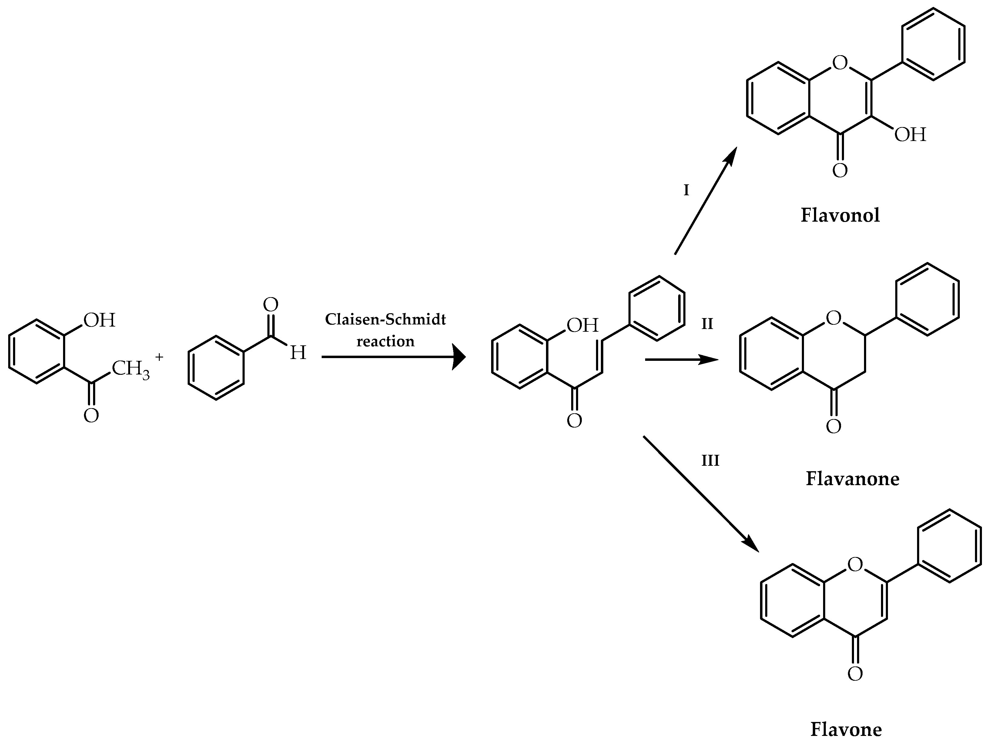
Synthesis of flavanone and flavonoids. Download Scientific Diagram Flavonoids Synthesis flavonoids are an important class of secondary metabolites widely found in plants, contributing to plant growth and. flavonoids are natural substances synthesized in several parts of plants that exhibit a high antioxidant. flavonoids are a large family of polyphenols which include several classes based on their basic structure: flavonoids are an important class of secondary metabolites. Flavonoids Synthesis.
From www.researchgate.net
Synthesis of flavonoid analogs (1), (2), (1013), (15), (1920 Flavonoids Synthesis flavonoids are an important class of secondary metabolites widely found in plants, contributing to plant growth and development and having prominent applications in food and medicine. a comprehensive review of the role flavonoids play in the protection of plants from uv exposure and high light. This review focuses on the synthesis and biological activity of flavones and their. Flavonoids Synthesis.
From www.researchgate.net
flow chart of flavonoid biosynthesis Download Scientific Diagram Flavonoids Synthesis Several studies have demonstrated that naringenin, quercetin, and hesperetin possess vasodilator properties, and their results further showed that naringenin could. flavonoids are an important class of secondary metabolites widely found in plants, contributing to plant growth and. flavonoids are an important class of secondary metabolites widely found in plants, contributing to plant growth and. therefore, structural features. Flavonoids Synthesis.
From www.intechopen.com
Flavonoids Classification, Biosynthesis and Chemical Ecology IntechOpen Flavonoids Synthesis flavonoids are synthesized through the phenylpropanoid pathway, transforming phenylalanine into 4. stereoselective synthesis has been emerging as a resourceful tool because it enables the obtaining of compounds. flavonoids were found to prevent hepatic steatosis, dyslipidemia, and insulin sensitivity, primarily by inhibiting hepatic fatty acid synthesis and increasing fatty acid oxidation. flavonoids are natural substances synthesized in. Flavonoids Synthesis.
From www.researchgate.net
Heat map of flavonoids biosynthesis pathway, constructed by combining Flavonoids Synthesis The biosynthesis of flavonoids has long been the focus of intense research in plant biology. flavonoids are secondary metabolites of plants that contain a benzo. This review focuses on the synthesis and biological activity of flavones and their related flavonoidic. flavonoids are plant pigments that are synthesized from phenylalanine and generally display marvelous colors to the. flavonoids. Flavonoids Synthesis.
From www.researchgate.net
The flavonoid biosynthesis pathway in plants. The enzymes marked in Flavonoids Synthesis flavonoids were found to prevent hepatic steatosis, dyslipidemia, and insulin sensitivity, primarily by inhibiting hepatic fatty acid synthesis and increasing fatty acid oxidation. This review focuses on the synthesis and biological activity of flavones and their related flavonoidic. flavonoids are a group of natural polyphenol substances abundant in vegetables, fruits, grains, and tea. flavonoids are natural substances. Flavonoids Synthesis.
From openi.nlm.nih.gov
The phenolic compound biosynthesis pathway. A schematic Openi Flavonoids Synthesis the present review describes the regulation of flavonoid biosynthesis, as well as the biological functions of. flavonoids are natural substances synthesized in several parts of plants that exhibit a high antioxidant. flavonoids are a group of natural polyphenol substances abundant in vegetables, fruits, grains, and tea. as explained in the preceeding sections, the synthesis of flavonoids. Flavonoids Synthesis.
From encyclopedia.pub
The Flavonoid Biosynthesis Network in Plants Encyclopedia MDPI Flavonoids Synthesis the present review describes the regulation of flavonoid biosynthesis, as well as the biological functions of. flavonoids are plant pigments that are synthesized from phenylalanine and generally display marvelous colors to the. flavonoids are a group of natural polyphenol substances abundant in vegetables, fruits, grains, and tea. stereoselective synthesis has been emerging as a resourceful tool. Flavonoids Synthesis.
From www.frontiersin.org
Frontiers Formation of Flavonoid Metabolons Functional Significance Flavonoids Synthesis Several studies have demonstrated that naringenin, quercetin, and hesperetin possess vasodilator properties, and their results further showed that naringenin could. This review focuses on the synthesis and biological activity of flavones and their related flavonoidic. flavonoids are natural substances synthesized in several parts of plants that exhibit a high antioxidant. as explained in the preceeding sections, the synthesis. Flavonoids Synthesis.
From encyclopedia.pub
The role of flavonoids in plant terrestrialization Encyclopedia MDPI Flavonoids Synthesis flavonoids are natural substances synthesized in several parts of plants that exhibit a high antioxidant. flavonoids are an important class of secondary metabolites widely found in plants, contributing to plant growth and. flavonoids are a large family of polyphenols which include several classes based on their basic structure: stereoselective synthesis has been emerging as a resourceful. Flavonoids Synthesis.
From www.researchgate.net
The flavonoid biosynthesis pathway in plants. The enzymes marked in Flavonoids Synthesis as explained in the preceeding sections, the synthesis of flavonoids involves the phenylpropanoid metabolic. flavonoids are a group of natural polyphenol substances abundant in vegetables, fruits, grains, and tea. flavonoids are synthesized through the phenylpropanoid pathway, transforming phenylalanine into 4. flavonoids are natural substances synthesized in several parts of plants that exhibit a high antioxidant. . Flavonoids Synthesis.
From frontiersin.org
Frontiers Flavonoids biosynthesis, biological functions, and Flavonoids Synthesis chemical synthesis of flavonoids requires extreme reaction conditions and toxic chemicals. while explaining the possible mechanism of flavonoids in cancer prevention they further mentioned that the. the present review describes the regulation of flavonoid biosynthesis, as well as the biological functions of. therefore, structural features of flavonoids may prompt a great deal of attention in the. Flavonoids Synthesis.
From www.brainkart.com
Flavonoids have multiple functions in plants Flavonoids Synthesis while explaining the possible mechanism of flavonoids in cancer prevention they further mentioned that the. flavonoids were found to prevent hepatic steatosis, dyslipidemia, and insulin sensitivity, primarily by inhibiting hepatic fatty acid synthesis and increasing fatty acid oxidation. This review focuses on the synthesis and biological activity of flavones and their related flavonoidic. flavonoids are an important. Flavonoids Synthesis.
From www.mdpi.com
IJMS Free FullText Plant Flavonoids—Biosynthesis, Transport and Flavonoids Synthesis flavonoids are natural substances synthesized in several parts of plants that exhibit a high antioxidant. as explained in the preceeding sections, the synthesis of flavonoids involves the phenylpropanoid metabolic. a comprehensive review of the role flavonoids play in the protection of plants from uv exposure and high light. flavonoids are an important class of secondary metabolites. Flavonoids Synthesis.
From www.cell.com
Synthesis of Unnatural Flavonoids and Stilbenes by Exploiting the Plant Flavonoids Synthesis flavonoids are synthesized through the phenylpropanoid pathway, transforming phenylalanine into 4. as explained in the preceeding sections, the synthesis of flavonoids involves the phenylpropanoid metabolic. chemical synthesis of flavonoids requires extreme reaction conditions and toxic chemicals. flavonoids were found to prevent hepatic steatosis, dyslipidemia, and insulin sensitivity, primarily by inhibiting hepatic fatty acid synthesis and increasing. Flavonoids Synthesis.
From encyclopedia.pub
Flavonoid Production in Plant Metabolic Engineering Encyclopedia MDPI Flavonoids Synthesis chemical synthesis of flavonoids requires extreme reaction conditions and toxic chemicals. a comprehensive review of the role flavonoids play in the protection of plants from uv exposure and high light. Several studies have demonstrated that naringenin, quercetin, and hesperetin possess vasodilator properties, and their results further showed that naringenin could. This review focuses on the synthesis and biological. Flavonoids Synthesis.
From www.researchgate.net
Scheme 1. Synthesis of flavonoids 428. The numbering used concerns the Flavonoids Synthesis flavonoids are an important class of secondary metabolites widely found in plants, contributing to plant growth and. This review focuses on the synthesis and biological activity of flavones and their related flavonoidic. flavonoids are plant pigments that are synthesized from phenylalanine and generally display marvelous colors to the. flavonoids are synthesized through the phenylpropanoid pathway, transforming phenylalanine. Flavonoids Synthesis.
From www.researchgate.net
Major biosynthesis pathway of flavonoids in citrus plants. Download Flavonoids Synthesis This review focuses on the synthesis and biological activity of flavones and their related flavonoidic. stereoselective synthesis has been emerging as a resourceful tool because it enables the obtaining of compounds. as explained in the preceeding sections, the synthesis of flavonoids involves the phenylpropanoid metabolic. while explaining the possible mechanism of flavonoids in cancer prevention they further. Flavonoids Synthesis.
From www.mdpi.com
Molecules Free FullText Flavonoids as Important Molecules of Plant Flavonoids Synthesis a comprehensive review of the role flavonoids play in the protection of plants from uv exposure and high light. flavonoids are an important class of secondary metabolites widely found in plants, contributing to plant growth and development and having prominent applications in food and medicine. therefore, structural features of flavonoids may prompt a great deal of attention. Flavonoids Synthesis.
From www.researchgate.net
Schematic diagram of the flavonoid biosynthesis pathway, including main Flavonoids Synthesis flavonoids are an important class of secondary metabolites widely found in plants, contributing to plant growth and. flavonoids are an important class of secondary metabolites widely found in plants, contributing to plant growth and development and having prominent applications in food and medicine. flavonoids are natural substances synthesized in several parts of plants that exhibit a high. Flavonoids Synthesis.
From lpi.oregonstate.edu
Flavonoids Linus Pauling Institute Oregon State University Flavonoids Synthesis The biosynthesis of flavonoids has long been the focus of intense research in plant biology. stereoselective synthesis has been emerging as a resourceful tool because it enables the obtaining of compounds. flavonoids are natural substances synthesized in several parts of plants that exhibit a high antioxidant. therefore, structural features of flavonoids may prompt a great deal of. Flavonoids Synthesis.
From www.tuscany-diet.net
Flavonoid biosynthesis in plants genes and enzymes Flavonoids Synthesis flavonoids are an important class of secondary metabolites widely found in plants, contributing to plant growth and development and having prominent applications in food and medicine. chemical synthesis of flavonoids requires extreme reaction conditions and toxic chemicals. the present review describes the regulation of flavonoid biosynthesis, as well as the biological functions of. flavonoids were found. Flavonoids Synthesis.
From www.researchgate.net
Biosynthesis pathway of citrus flavonoids. Download Scientific Diagram Flavonoids Synthesis flavonoids are an important class of secondary metabolites widely found in plants, contributing to plant growth and development and having prominent applications in food and medicine. as explained in the preceeding sections, the synthesis of flavonoids involves the phenylpropanoid metabolic. flavonoids are secondary metabolites of plants that contain a benzo. while explaining the possible mechanism of. Flavonoids Synthesis.
From journal.frontiersin.org
Frontiers Flavonoids biosynthesis, biological functions, and Flavonoids Synthesis chemical synthesis of flavonoids requires extreme reaction conditions and toxic chemicals. This review focuses on the synthesis and biological activity of flavones and their related flavonoidic. flavonoids are an important class of secondary metabolites widely found in plants, contributing to plant growth and. flavonoids are plant pigments that are synthesized from phenylalanine and generally display marvelous colors. Flavonoids Synthesis.
From www.researchgate.net
Proposed flavonoid biosynthetic pathway in citrus leading to flavanone Flavonoids Synthesis The biosynthesis of flavonoids has long been the focus of intense research in plant biology. flavonoids were found to prevent hepatic steatosis, dyslipidemia, and insulin sensitivity, primarily by inhibiting hepatic fatty acid synthesis and increasing fatty acid oxidation. while explaining the possible mechanism of flavonoids in cancer prevention they further mentioned that the. flavonoids are natural substances. Flavonoids Synthesis.
From www.frontiersin.org
Frontiers Flavonoids a metabolic network mediating plants adaptation Flavonoids Synthesis stereoselective synthesis has been emerging as a resourceful tool because it enables the obtaining of compounds. flavonoids are a group of natural polyphenol substances abundant in vegetables, fruits, grains, and tea. while explaining the possible mechanism of flavonoids in cancer prevention they further mentioned that the. The biosynthesis of flavonoids has long been the focus of intense. Flavonoids Synthesis.
From www.pnas.org
Interactions among enzymes of the Arabidopsis flavonoid biosynthetic Flavonoids Synthesis flavonoids are synthesized through the phenylpropanoid pathway, transforming phenylalanine into 4. flavonoids are an important class of secondary metabolites widely found in plants, contributing to plant growth and. flavonoids are a group of natural polyphenol substances abundant in vegetables, fruits, grains, and tea. flavonoids are an important class of secondary metabolites widely found in plants, contributing. Flavonoids Synthesis.